The crisis associated with the COVID-19 pandemic is unprecedented and has generated widespread economic impacts that affected labor markets all over the world. Employment losses have been documented for both sexes but unlike recent recessions where men lost employment more than women, the COVID-19 shock seems to have larger negative impacts on women (Alon et al., 2021; Shibata et al., 2021; Nieves et al., 2021). This asymmetry –the so-called “she-cession”– is due to the combination of women being over-represented in the services and retail sectors hardest hit by the pandemic and of women playing a larger role in caring for children.
This paper assesses if the COVID-19 pandemic has implied a she-cession also in Latin American and Caribbean (LAC) countries as it did in most high-income countries. It also attempts to identify the channels that may have led to a she-cession or, on the contrary, may have prevented it. Given the paucity of data, we focus on one aspect of the labor market that can be measured well on representative samples of workers in multiple LAC countries: the dynamic of workers between labor market states. In particular, we compare employment status of women and men during the pandemic with respect to a relevant pre-pandemic period, as done in recent contributions on high-income countries. In addition, we compare the individual dynamic through those states before and after the pandemic. No paper so far has conducted such analysis on multiple LAC countries using comparable data.
Studying the impacts in LAC is relevant for three reasons. First, the economic crisis caused by the pandemic in the LAC region has been one of the most devastating in recent decades and one of the worst in the world. Overall GDP fell by 7.4 percent in 2020, more than three times the fall during the Great Recession of 2009, and more than twice the fall during the Debt Crisis of 1983. This drop in GDP is significantly larger than the one experienced by other emerging economies or by most high-income economies (IMF, 2021). The recession has caused a large drop in employment: over a sample of 15 LAC countries with available data, total employment fell by almost 15 percent between February 2020 and July 2020. Despite representing 42 percent of the workforce, by March 2020 women had sustained 56 percent of all job losses, bringing back female labor force participation to 2010 levels (IADB, 2021).
Second, gender labor market gaps in the LAC region before the pandemic were larger than the ones in regions of comparable income and much larger than the ones in high-income countries (Bustelo et al., 2019; Gasparini and Marchionni, 2015b). A she-cession on top of this initial conditions could risk to further increase these gaps.
Third, there are no empirical contributions that have studied the issue on representative samples of workers in multiple LAC countries collected before and after the start of the pandemic. Although there are demographic and economic differences between LAC countries (i.e., country size, population, GDP per capita), there are also common structural and persistent factors that impact the observed gender gaps such as the cultural expectation of the role of women as the main caregiver, the high level of informality, and the high level of occupational segregation (Berniell et al., 2023; Bustelo et al., 2019; Gasparini and Marchionni, 2015b). The value of analyzing the impacts of the COVID-19 pandemic in multiple countries in a comparable way is making possible to assess whether there were common patterns between them. To achieve this, we use data from the only four LAC countries with longitudinal data covering the pandemic period and previous comparable periods that were available as of December 2021. The four countries (and data sets) are: Brazil (Pesquisa por Amostra de Domícilios Contínua (PNADC)); Chile, (Encuesta Nacional de Empleo (ENE)); the Dominican Republic, (Encuesta Nacional Continua de Fuerza de Trabajo (ENCFT)); and Mexico, (Encuesta Nacional de Empleo y Ocupaciones (ENOE) and the Nueva Encuesta Nacional de Empleo y Ocupaciones (ENOE-N)). For all countries we build a series of year-long balanced panel data spanning the period 2017–2020, we use similar definitions of variables in each country/year and apply consistent methods of processing the data, and we estimate the same econometric models.
The evidence for developing countries, and specifically for those from the LAC region, is still scarce and mainly country-specific. Descriptive evidence based on phone surveys has shown that the rate of work stoppage has been larger for women than for men in May–August 2020 in comparison to February 2020 (Cucagna and Romero, 2021; Kugler et al., 2023). Country-specific studies using longitudinal data and comparing the pre- and post-pandemic periods have found that women lost their jobs at a higher rate than men in Peru (Cueva et al., 2021; Higa et al., 2023) and that women faced lower chances of being employed and higher chances of having an informal job than men in Mexico (Monroy-Gomez-Franco, 2021; Hoehn-Velasco et al., 2022; Juarez and Villaseñor, 2022). When considering the presence of children at home, Juarez and Villaseñor (2022) find that Mexican women with children decreased their labor supply more than women without children in the first months of the pandemic but then recovered faster in the later months. Evidence using cross-sectional data from Colombia finds a negative impact on women’s employment rates, employment quality, and participation rates (Garcia-Rojas et al., 2020). Finally, Berniell et al. (2023) report results from a large study collecting phone surveys during the pandemic in 13 LAC countries. They compare the labor market status of women and men from May to August 2020 with their pre-pandemic status and find that the COVID-19 shock led to larger job losses for women than men, specially those living with children 5 to 18 years old.
The literature analyzing the labor market impacts of the COVID-19 pandemic by gender in high-income countries is larger and growing. These studies mainly use labor force surveys covering both a pre-pandemic and a post-pandemic period. Some also employ real-time survey data collected during the pandemic with retrospective information on employment status. Thanks to this type of data, they can compare labor market outcomes of men and women before and after the pandemic. The main findings from this literature show that women faced larger employment reductions than men in the U.S., Canada, and Spain (Alon et al., 2021; Fairlie et al., 2021), larger declines in labor force participation in the U.S. (Albanesi and Kim, 2021), larger reductions in hours of market work in the U.S., Canada and Germany (Alon et al., 2021), and larger rates of job loss in the U.S., the U.K. and Spain (Adams-Prassl et al., 2020; Farre et al., 2021). (1) There is only one study comparing labor market flows before and during the pandemic using longitudinal data, Albanesi and Kim (2021). They construct monthly labor transitions for women and men in the U.S. and find that movements from employment to unemployment grew more for women compared to men in the spring and summer for 2020. These studies also find relevant heterogeneous effects regarding the presence of children at home. In the U.S., Canada, Spain, and the U.K., the COVID19 pandemic led to larger gender gaps in employment among workers with school-age children with respect to workers with younger children or no children (Qian and Fuller, 2020; Alon et al., 2021; Albanesi and Kim, 2021; Fairlie et al., 2021). Hansen et al. (2022) find that in US locations where schools reopened more quickly, employment and hours of work of married women with school-aged children increased more quickly, too.
Our results in LAC countries broadly confirm those found in high-income countries: the pandemic negatively affected labor market participation and employment for both men and women, but the effects are significantly stronger for women. The main channel generating this greater impact was the increase in child care work carried out by women with children of school age. That is, women with children between the ages of 6 and 17 who live at home. Our findings highlight these common patterns in Brazil, Chile, and the Dominican Republic, where women with school-age children were 2.2, 5.8, and 3.8 percentage points less likely to participate in the labor market than men during pandemic, respectively. However, this result is not observed in Mexico. We speculate that the absence of data for the second quarter of 2020, the quarter of the pandemic with the greatest negative impacts on the Mexican labor market (Secretaría de Hacienda y Crédito Público, 2021), could be behind the lack of a greater average negative effect on labor participation and employment of women, as we found for the other countries. The results on flows are also novel for LAC and provide a more nuanced picture of the differential impact of the pandemic by gender in the four countries studied: greater labor mobility for women, since it increased both their probability of losing a job and their probability of finding one. However, while in Brazil, Chile and the Dominican Republic the relative increase in the probability of finding a job during the pandemic was not enough to close the gap with respect to men in overall employment rates, in Mexico it was.
The paper is organized as follows. Section 3 briefly describes the methodology and the data requirements. Section 2 defines and describes the data we use in the analysis. Section 4 presents the results and Section 5 concludes. An Appendix with the complete sets of results and additional material is also included in the paper.
Since we focus on workers’ labor market dynamics, we need to observe the labor market state of the same individual at different points in time. No LAC countries collect representative longitudinal sample covering a long period, such as the PSID (2) in the US. But a number of countries collect national household surveys using a sample refreshment with a rotating structure, such as the CPS (3) in the US. This structure allows for the construction of short panels (typically a year) where the same individual is observed for different months or different quarters over a year. We work with this type of data for the four LAC countries that have them available before and after the pandemic hit the region: Brazil, Chile, Dominican Republic, and Mexico.
We use data from national household surveys covering the 2017–2020 period. We focus on this period since the pandemic hit the region in the second quarter of 2020, which we will denote with 2020Q2. For Brazil, we use the Pesquisa por Amostra de Domícilios Contínua (PNADC); for Chile, the Encuesta Nacional de Empleo (ENE); for the Dominican Republic, the Encuesta Nacional Continua de Fuerza de Trabajo (ENCFT); and for Mexico, the Encuesta Nacional de Empleo y Ocupaciones (ENOE) and the Nueva Encuesta Nacional de Empleo y Ocupaciones (ENOE-N) that started being collected on the third quarter of 2020.
As mentioned before, these four surveys follow a rotating sampling structure. In the Dominican Republic and Mexico, 20% of the sample is refreshed every quarter. In Brazil and Chile, a household is interviewed in a given month, leaves the sample for the next two months, and it is interviewed again in the next month. This sequence is repeated five times in Brazil and six times in Chile. Then 20% of the sample is refreshed every quarter in Brazil and 16% is refreshed in Chile. The panel structure of the Dominican Republic, Mexico, and Brazil allows to follow the same household over five consecutive quarters, while in Chile the same household is followed over six consecutive quarters. (4)
Based on these data, we create 13 short panels for each country. In each short panel, the same individual is followed for either four or five consecutive quarters. Table 1 reports sample size and dates of coverage. For example, Panel 13 covers the last available period: from the first quarter in 2020 (2020Q1) to the last quarter in 2020 (2020Q4). For Brazil, 15,193 individuals are observed in all four quarters, generating a total of 60,772 quarter-individual observations. For Chile, the Dominican Republic and Mexico, the number of unique individuals observed is lower but still in the multiple thousands. At the time of this project, 2020Q4 is the last period of available data for all four countries. For this reason, at most 4 quarters are observed in Panel 13. To make the pre-pandemic data comparable, we build 4-quarters panel starting in the first quarter of 2019 (Panel number 9), in the first quarter of 2018 (Panel number 5), and in the first quarter of 2017 (Panel number 1). All the other panels cover 5 quarters because that is the longest interval we can cover with the data at our disposal.
Sample Size by Panels Periods and Countries
| Panel ID | Panel Period | Observations | ||||
|---|---|---|---|---|---|---|
| Brazil | Chile | Dom. Rep. | Mexico | |||
| 1 | 2017Q1–2017Q4 | Observations | 85,728 | 24,012 | 2,784 | 49,496 |
| Individuals | 21,432 | 6,003 | 696 | 12,374 | ||
| Quarters | 4 | 4 | 4 | 4 | ||
| 2 | 2017Q2–2018Q2 | Observations | 104,560 | 30,010 | 3,465 | − |
| Individuals | 20,912 | 6,002 | 693 | |||
| Quarters | 5 | 5 | 5 | |||
| 3 | 2017Q3–2018Q3 | Observations | 104,165 | 30,175 | 3,645 | 61,160 |
| Individuals | 20,833 | 6,035 | 729 | 12,232 | ||
| Quarters | 5 | 5 | 5 | 5 | ||
| 4 | 2017Q4–2018Q4 | Observations | 104,345 | 30,415 | 2,730 | 63,725 |
| Individuals | 20,869 | 6,083 | 546 | 12,745 | ||
| Quarters | 5 | 5 | 5 | 5 | ||
| 5 | 2018Q1–2018Q4 | Observations | 85,084 | 24,960 | 3,028 | 50,820 |
| Individuals | 21,271 | 6,240 | 757 | 12,705 | ||
| Quarters | 4 | 4 | 4 | 4 | ||
| 6 | 2018Q2–2019Q2 | Observations | 102,350 | 25,925 | 3,635 | − |
| Individuals | 20,470 | 5,185 | 727 | |||
| Quarters | 5 | 5 | 5 | |||
| 7 | 2018Q3–2019Q3 | Observations | 102,695 | 10,210 | 3,695 | 64,010 |
| Individuals | 20,539 | 2,042 | 739 | 12,802 | ||
| Quarters | 5 | 5 | 5 | 5 | ||
| 8 | 2018Q4–2019Q4 | Observations | 98,025 | 4,985 | 2,965 | 62,210 |
| Individuals | 19,605 | 997 | 593 | 12,442 | ||
| Quarters | 5 | 5 | 5 | 5 | ||
| 9 | 2019Q1–2019Q4 | Observations | 77,252 | 916 | 3,256 | 54,880 |
| Individuals | 19,313 | 229 | 814 | 13,720 | ||
| Quarters | 4 | 4 | 4 | 4 | ||
| 10 | 2019Q2–2020Q2 | Observations | 87,235 | 3,365 | 6,325 | − |
| Individuals | 17,447 | 673 | 1,265 | |||
| Quarters | 5 | 5 | 5 | |||
| 11 | 2019Q3–2020Q3 | Observations | 88,260 | 9,365 | 8,765 | 32,340 |
| Individuals | 17,652 | 1,873 | 1,753 | 8,085 | ||
| Quarters | 5 | 5 | 5 | 4 | ||
| 12 | 2019Q4–2020Q4 | Observations | 83,800 | 8,020 | 10,875 | 26,888 |
| Individuals | 16,760 | 1,604 | 2,175 | 6,722 | ||
| Quarters | 5 | 5 | 5 | 4 | ||
| 13 | 2020Q1–2020Q4 | Observations | 60,772 | 19,184 | 8,320 | 22,290 |
| Individuals | 15,193 | 4,796 | 2,080 | 7,430 | ||
| Quarters | 4 | 4 | 4 | 3 | ||
Notes: Sample includes 25–55 years old women and men living in urban areas.
Data Sources: For Brazil: PNADC, for Chile: ENE, for Dominican Republic: ENCFT, and for Mexico: ENOE and ENOE-N.
To create the panels, we follow the recommendations of the National Statistical Offices that are responsible for collecting the data in each country. Specifically, we use appropriate variables that allow for the unique identification of households and persons over time. For Chile and Brazil, where a household is interviewed in a given month and gets temporarily removed from the sample for the next two months before being interviewed again, we pool the information of the three months corresponding to the same quarter to create quarterly data. For Mexico, we do not use data collected in 2020Q2. In doing this, we follow the recommendation of the National Statistical Office responsible for collecting the data (INEGI (5)). INEGI advices against using 2020Q2 when constructing panels because the data were collected by phone and were not representative of the national population. (6) Brazil and the Dominican Republic also started to collect data by phone in March 2020 but the change in the data collection strategy did not bias the labor market statistics (BCRD, 2020; IBGE, 2020). Chile conducted interviews by phone or web starting in the initial months of the pandemic but also added an update of the sampling methodology that was already scheduled to start in January 2020. (7) Touron et al. (2020) show that neither change had a significant impact on how representative the labor market statistics were over the period December 2019–February 2020. Section A.1 in the Appendix provides more details on the data collection methodology followed by each country during the pandemic.
We impose the following restrictions to extract the estimation samples. To reduce selection problems due to education and retirement decisions, we only consider women and men aged 25 to 55. To build a more appropriate sample for the labor market dynamic we study, we only focus on urban areas and on individuals that –when employed– are either wage employees or self-employed. We describe labor market dynamic by studying transitions between labor market states such employment, unemployment and non-participation. In rural areas, these labor market states are less clearly defined than in urban areas. For example, agents may mix working on their own field with working as employee for larger landowners and many family members may work in a common family enterprise making non-participation very difficult to define. In addition, the structure of rural labor markets is systematically different from the one of urban labor markets, so focusing on one of them may lend clarity to the analysis.
Throughout the analysis, we use similar variables definitions in each country and year and we apply consistent methods of processing the data. To define the labor market states, we assign each individual in a given quarter to one of the following five categories: formal wage employment, informal wage employment, self-employment, unemployment, non-participation. Wage employment and self-employment is defined based on self-reported information about the type of employment. A wage employee is classified as informal when she does not have social security contributions linked to her job and as formal when she does. Unemployed individuals are those who are not working but actively looked for a job in the past week. Non-participation captures individuals who are not working and are not looking for a job. The additional variables we use in the analysis, either as controls or as observables to estimate heterogeneous effects, are defined as follows. Age measured in years and extracted from the surveys demographic information. Three education level dummies defined according to the years of education reported in each survey: low (0 to 8 years of education), medium (9 to 13 years of education) and high (14 or more). Three presence of children dummies extracted from the household information linked to individual workers reporting their labor market state. We define them based on children’s presence in the household and their age as follows: pre-schoolers (if only children aged 0 to 5 years old); school-age (if at least one 6 to 17 years old); no children (no children 0 to 17). Three economic sectors defining primary, secondary and tertiary sector. We use only these three broad categories to assure comparability across countries. Finally, we define within-country regional dummies. This is the only variable varying in number depending on the country since different countries contain different states or macro regions. (8)
In Table 2 we present descriptive statistics for the pre-pandemic period (panels not including any pandemic quarter, i.e. panels 1 to 9 in Table 1) and for the post-pandemic period (panels including at least one pandemic quarter, i.e. panels 10 to 13 in Table 1) by gender. Overall sample sizes range from about 63,000 observations in Dominican Republic to more than 1.2 million observations in Brazil. These figures correspond to about 13,500 unique individuals for Dominican Republic and to more than 250,000 for Brazil. In addition to standard demographic characteristics, the Table presents statistics on labor market status. After the pandemic, all countries register an increase in the shares of women and men out of the labor force and a decrease in employment rate.
Descriptive Statistics by Gender and Pandemic Period
| Brazil | Chile | Dom. Rep. | Mexico | |||||
|---|---|---|---|---|---|---|---|---|
| Women | Men | Women | Men | Women | Men | Women | Men | |
| Pre-pandemic period | ||||||||
| Demographics | ||||||||
| Age | 40.18 | 39.69 | 40.99 | 40.12 | 39.54 | 38.82 | 39.97 | 39.36 |
| 0–8 years of educ | 0.32 | 0.38 | 0.12 | 0.11 | 0.33 | 0.43 | 0.17 | 0.16 |
| 9–13 years of educ | 0.44 | 0.44 | 0.47 | 0.47 | 0.41 | 0.42 | 0.56 | 0.55 |
| 14+ years of educ | 0.25 | 0.18 | 0.41 | 0.42 | 0.26 | 0.15 | 0.28 | 0.29 |
| At least one children 0–5 | 0.25 | 0.24 | 0.30 | 0.26 | 0.36 | 0.31 | 0.30 | 0.29 |
| At least one children 6–12 | 0.33 | 0.30 | 0.38 | 0.30 | 0.48 | 0.36 | 0.42 | 0.38 |
| At least one children 13–17 | 0.27 | 0.23 | 0.30 | 0.24 | 0.38 | 0.29 | 0.34 | 0.29 |
| Employment | ||||||||
| Employee formal | 0.41 | 0.50 | 0.47 | 0.66 | 0.34 | 0.40 | 0.35 | 0.58 |
| Employee informal | 0.09 | 0.09 | 0.07 | 0.07 | 0.15 | 0.09 | 0.15 | 0.20 |
| Self employed | 0.12 | 0.23 | 0.11 | 0.13 | 0.16 | 0.43 | 0.10 | 0.13 |
| Unemployed | 0.08 | 0.07 | 0.05 | 0.06 | 0.04 | 0.02 | 0.02 | 0.03 |
| OLF | 0.30 | 0.11 | 0.29 | 0.09 | 0.30 | 0.06 | 0.38 | 0.06 |
| Observations | 476,332 | 387,872 | 103,131 | 78,477 | 15,455 | 13,748 | 227,556 | 178,745 |
| Individuals | 102,085 | 83,159 | 22,041 | 16,775 | 3,333 | 2,961 | 49,851 | 39,169 |
| Quarters | 4.67 | 4.66 | 4.68 | 4.68 | 4.64 | 4.64 | 4.56 | 4.56 |
| Post-pandemic period | ||||||||
| Demographics | ||||||||
| Age | 40.14 | 39.76 | 41.14 | 40.56 | 39.89 | 39.12 | 40.03 | 39.38 |
| 0–8 years of educ | 0.27 | 0.34 | 0.10 | 0.10 | 0.31 | 0.43 | 0.15 | 0.15 |
| 9–13 years of educ | 0.45 | 0.45 | 0.45 | 0.43 | 0.42 | 0.42 | 0.56 | 0.55 |
| 14+ years of educ | 0.28 | 0.21 | 0.45 | 0.46 | 0.27 | 0.15 | 0.29 | 0.30 |
| At least one children 0–5 | 0.24 | 0.24 | 0.25 | 0.22 | 0.36 | 0.32 | 0.28 | 0.27 |
| At least one children 6–12 | 0.33 | 0.29 | 0.39 | 0.33 | 0.46 | 0.36 | 0.40 | 0.36 |
| At least one children 13–17 | 0.26 | 0.21 | 0.30 | 0.24 | 0.37 | 0.29 | 0.33 | 0.28 |
| Employment | ||||||||
| Employee formal | 0.40 | 0.50 | 0.45 | 0.67 | 0.34 | 0.40 | 0.35 | 0.56 |
| Employee informal | 0.09 | 0.08 | 0.04 | 0.04 | 0.14 | 0.08 | 0.13 | 0.19 |
| Self employed | 0.12 | 0.23 | 0.09 | 0.09 | 0.15 | 0.42 | 0.10 | 0.13 |
| Unemployed | 0.08 | 0.07 | 0.06 | 0.07 | 0.04 | 0.02 | 0.02 | 0.04 |
| OLF | 0.31 | 0.12 | 0.36 | 0.12 | 0.33 | 0.08 | 0.39 | 0.08 |
| Observations | 175,873 | 144,194 | 23,840 | 16,094 | 18,286 | 15,999 | 45,155 | 36,363 |
| Individuals | 36,829 | 30,223 | 5,343 | 3,603 | 3,877 | 3,396 | 12,302 | 9,935 |
| Quarters | 4.78 | 4.77 | 4.46 | 4.47 | 4.72 | 4.71 | 3.67 | 3.66 |
Notes: Sample includes 25–55 years old women and men living in urban areas. Post-pandemic period includes panels covering at least one pandemic quarter: panels number 10 to 13 in Table 1. Pre-pandemic period includes panels not affected by the pandemic: panels number 1 to 9 in Table 1.
Data Sources: For Brazil: PNADC, for Chile: ENE, for Dominican Republic: ENCFT, and for Mexico: ENOE and ENOE-N.
In Figure 1, we report the employment rate of women and men by years and quarters. In all countries, there is a clear change in employment between the eve of the pandemic (2020Q1) and the beginning of the pandemic (2020Q2.) In Brazil and Dominican Republic, the reduction was evident for both men and women. The gender gap (calculated as male minus female employment rates) shows that the decline in employment was larger for women than for men in the first two quarters of the pandemic and that the gap stopped increasing in the last quarter of 2020. In Mexico, there is a decline in female and male employment when comparing 2020Q1 and 2020Q3 (9) with no apparent effect on the gender employment gap, and a recovery in employment and decline in the gender gap in the last quarter of 2020. Finally, in Chile the reduction in employment was slightly larger for men than for women, leading to a small reduction in the gender gap.

Female and Male employment rates and Gender Gap over Time.
Source: PNADC for Brazil, ENE for Chile, ENCFT for the Dominican Republic, and ENOE and ENOE-N for Mexico.
Note: Employment rates in percentage. The gender gap is calculated as the male minus the female employment rates and is expressed in percentage points.
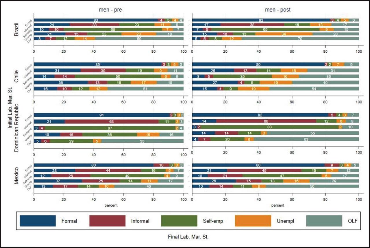
Taking advantage of the panel structure of our data, we present conditional labor market transitions in Figure 2 for women and in Figure 3 for men. We condition on the labor market state in the first quarter of each year and we report the percentage of the same individuals in each labor market state in the last quarter of that year. For example, for women in Brazil in the post-pandemic period, we observe that 80% of those formally employed in 2020Q1 are still formally employed in 2020Q4. For the pre-pandemic transition matrices, we pool together panels containing the first quarter of each year for 2017, 2018, and 2019.

Labor market transitions: Pre- and Post-Pandemic – Women.
Note: Table reports the percentage of individuals in a given labor market state, given their labor market state one year earlier. The Post-pandemic period starting labor market state is 2020Q1. Pre-pandemic period starting labor market state are 2017Q1, 2018Q1, 2019Q1. We pool together different panels to compute the Pre-pandemic statistics.
Source: For Brazil: PNADC, for Chile: ENE, for Dominican Republic: ENCFT, and for Mexico: ENOE and ENOE-N.

Labor market transition matrices Pre- and Post-Pandemic – Men.
Note: Table reports the percentage of individuals in a given labor market state, given their labor market state one year earlier. The Post-pandemic period starting labor market state is 2020Q1. Pre-pandemic period starting labor market state are 2017Q1, 2018Q1, 2019Q1. We pool together different panels to compute the Pre-pandemic statistics.
Source: For Brazil: PNADC, for Chile: ENE, for Dominican Republic: ENCFT, and for Mexico: ENOE and ENOE-N.
First, we observe that, independently from the pandemic, women have a higher probability to move out of the labor force than men (gray areas are always higher for women) and that women have a lower probability to move to formal employment than men (dark blue areas are always smaller for women). In Dominican Republic and in Brazil, women have a higher probability to move to informal employment than men (red areas are always higher for women).
Second, in the pandemic period, both women and men leave the labor force at higher rates that in the pre-pandemic periods. This is true for all countries but the effect is much larger in Chile and it occurs for only some labor market states in Mexico. In Chile before the pandemic, about 18% and 25% of women transit to non-participation from, respectively, informal employment and self-employment. After the pandemic, 49% and 54% do. The same large increase is observed for men, moving from about 10% before the pandemic to more than 30% after the pandemic. In Mexico, the higher proportion of transitions to non-participation is present but the differential with respect to the pre-pandemic period is generally smaller.
In conclusion, as expected the pandemic has negatively affected the labor market state of all workers in all countries: they moved to informal jobs and to out of the labor force at higher rates than in a regular year. For women, these movements are more intense than for men, but this is true also in a regular pre-pandemic year. From these preliminary descriptive statistics is therefore not yet clear if the pandemic has been a “she-cession” in LAC countries or not.
We identify the impact of the COVID-19 pandemic by comparing proportions in labor market states and transitions between labor market states before and after the start of the pandemic. This comparison identifies the impact of the pandemic as long as no other relevant labor market event is shocking the market over the same period. Given the large, exceptional, and unanticipated nature of the pandemic, we think this condition is likely to be met. In addition, the descriptive statistics reported in Figure 1 shows a relative stability in labor markets states for men and women in the years immediately before the pandemic, i.e. the years we will use as control group. (10)
Another identification concern is that the impact of the shock may have not yet displayed its entire effect. Given the scale of the shock, this is very likely to be true. Our estimates will then capture relative short-term effects of the pandemic since, as shown in Section 2, our observation period ends at the end of 2020.
What we label as stock regression is the standard specification run by previous contributions on high-income countries (11) but still missing on representative samples of LAC countries. The regression is a linear probability model where an indicator function for a given labor market state –labor force participation or employment– is regressed on dummies for the pandemic period. The difference between men and women is captured by an interaction term between the pandemic dummies and a dummy for being a woman. The identification is straightforward: the difference in, say, employment between men and women during the pandemic is compared with the difference in employment between men and women before the pandemic. The difference between these two differences is the differential impact of the pandemic on female employment with respect to male employment.
Formally, we estimate the following specification:
In addition to the baseline specification reported in equation (1), we also estimate two richer specifications. The first aims at recovering impacts at different quarters within the pandemic period. To this end, we add to equation (1) interaction terms between Pt × Fi and each pandemic quarter: 2020Q2, 2020Q3 and 2020Q4. The formal specification is defined in Appendix B, equation (B.1).
The second richer specification estimates heterogeneous effects in the impact of the pandemic. We are particularly concerned with how the pandemic affected women with school-age children and women with low education levels. Both characteristics are major determinants of women’s labor supply and have been found to correlate with the extent of the pandemic’s impact. For example, Alon et al. (2021) find that the gender-specific impact of the pandemic is largest among parents with school-age children. With respect to education, results change by country: in the US and Canada, they find the largest gender gaps among those with low levels of education; in Spain and the UK, among those with high levels of education. Fairlie et al. (2021), using CPS data for the US, also find that the pandemic had a disproportionate impact on women with school-age children. With regard to education, they perform a decomposition showing that the average higher education level of women with respect to men has contributed to reduce this disproportionate impact. To study this type of heterogeneous effects, we add to equation (1) interaction terms for different education levels and for the presence of children belonging to different age groups, using the variables defined in Section 2.1. The formal specification is defined in Appendix B, equation (B.2).
What we label as flow regression is a specification that identifies the differential impacts of the pandemic on labor market dynamics. Unlike equation (1), no contribution has ever run this regression on a LAC country and Albanesi and Kim (2021) is one of the very few published papers doing so on a high income country. The dependent variable of interest is the change in labor market state that a given individual may experience during the pandemic. Specifically, we define the dependent variable job loss to be equal 1 if the individual was employed right before the pandemic (2020Q1) but was not employed anymore at some point after the pandemic hit (2020Q2–2020Q4). Analogously, we define the dependent variable job gain to be equal 1 if the individual was unemployed or out of the labor force right before the pandemic but became employed at some point after the pandemic hit. If no change in labor market state occurred, both variables record a 0. Notice that to construct this variable is necessary to observe the same individual over four quarters. This stringent data requirement is not necessary to estimate the stock regressions described in Section 3.1 and has prevented previous contributions to implement the flow regressions on LAC countries.
The data requirement is made more stringent by the necessity to create a control group with a similar construction. Take our last panel reported in Table 1: panel number 13, covering 2020Q1–2020Q4. Individuals belonging to this panel are affected by the pandemic and we build the dependent variable job loss to be equal 1 if the individual was employed in 2020Q1 but was not employed anymore at some point in the following three quarters 2020Q2–2020Q4. We want to build a control group allowing for the same event but over a period not affected by the pandemic. Panels numbers 9, 5, and 1 constitute such control group. For all of them, we can observe if the individual was employed in the first quarter of the year and if she was not employed anymore at some point in the following three quarters. The same procedure and comparison applies to the job gain variable.
To gain sample size and empirical identification, we extend this treatment-control comparison to the other panels affected by the pandemic: panels 10, 11 and 12 in Table 1. The difference is that the period of exposure to the pandemic for these three panels varies and the controls must take this into account. Take for example Panel number 10: we build the dependent variable job loss to be equal 1 if the individual was employed in 2020Q1 (as before) but was not employed anymore in 2020Q2. We stop at 2020Q2 because we do not observe individuals belonging to this panel after 2020Q2. In building a control, we have therefore to take into account that the event is different: it is not the probability of not being employed anymore at some point in the following three quarters but only in the following quarter. We use panel 6 (comparing 2019Q1 with 2019Q2) and panel 2 (comparing 2018Q1 with 2018Q2) to obtain the same event but over a period not affected by the pandemic. The same procedure applies by comparing Panel 11 (treated) with Panels 7 and 3 (controls) and Panel 12 (treated) with Panels 8 and 4 (controls).
As in Section 3.1, these dependent variables are regressed on a set of controls, a pandemic period dummy and an interaction between the pandemic period and the female dummy. The pandemic period dummy identifies if the probability of finding or losing a job has increased or decreased during the pandemic. The interaction identifies if this impact was larger or smaller for women with respect to men.
Formally, we can describe the procedure as follows. For the treated panels, we condition on individuals in a given labor market state in 2020Q1. We then create a dependent variable equal to 1 if the individual changes labor market state in the following δ pandemic-affected quarters, where δ Є {1, 2, 3}. To build the control group, we repeat the procedure over a similar time span but for a period never affected by the pandemic. We denote the dependent variable created with this procedure with diτ where τ = 2 denotes the panels affected by the pandemic while τ = 1 denotes the panels not affected by the pandemic. Depending on the labor market transition considered, diτ = 1 may denote job loss or job gain.
For both dependent variable, we estimate the following regressions:
As we explained in Section 3.1, we extend the baseline model to allow for separate impacts in each pandemic quarter and to allow for heterogeneous effects. The specifications needed to estimate such effects are straightforward extensions of equation (2), just as equations (B.1) and (B.2) are straightforward generalization of equation (1).
As mentioned in the previous sections, the dependent variables of interest in both equation (1) and equation (2) are binary. The empirical models can therefore be estimated either as a Linear Probability Model by OLS or by a nonlinear model such as a Probit or a Logit model. While the non-linear models have advantages (prediction in the unit interval and parametric correction for heteroskedasticity), we prefer to follow the approach advocated in Angrist and Pischke (2009) and Deaton (1997): estimate a Linear Probability Model and correct for heteroskedasticity by computing robust standard errors. The advantage of this approach is a more direct interpretation of the coefficients and a lower reliance on distributional assumptions.
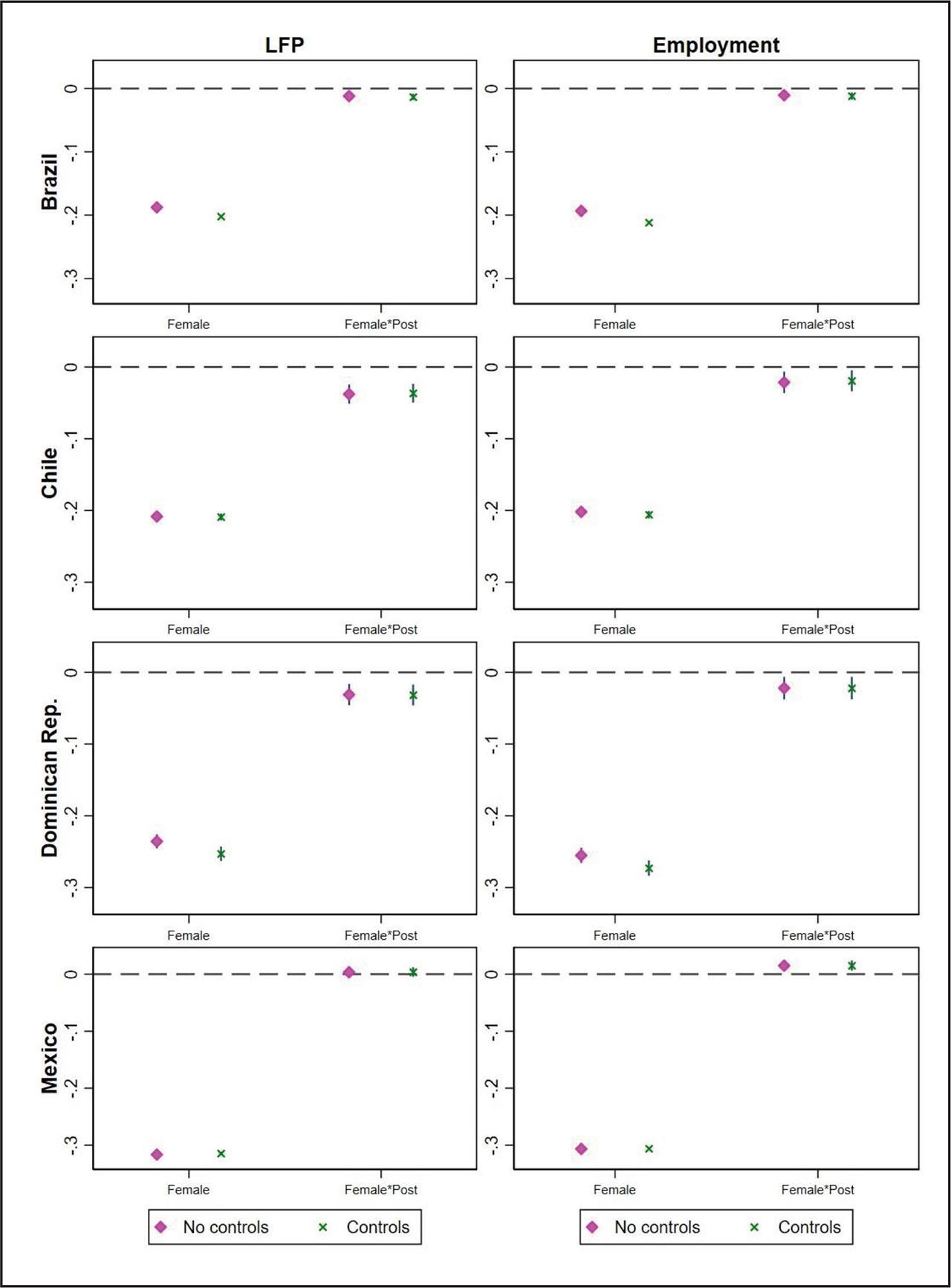
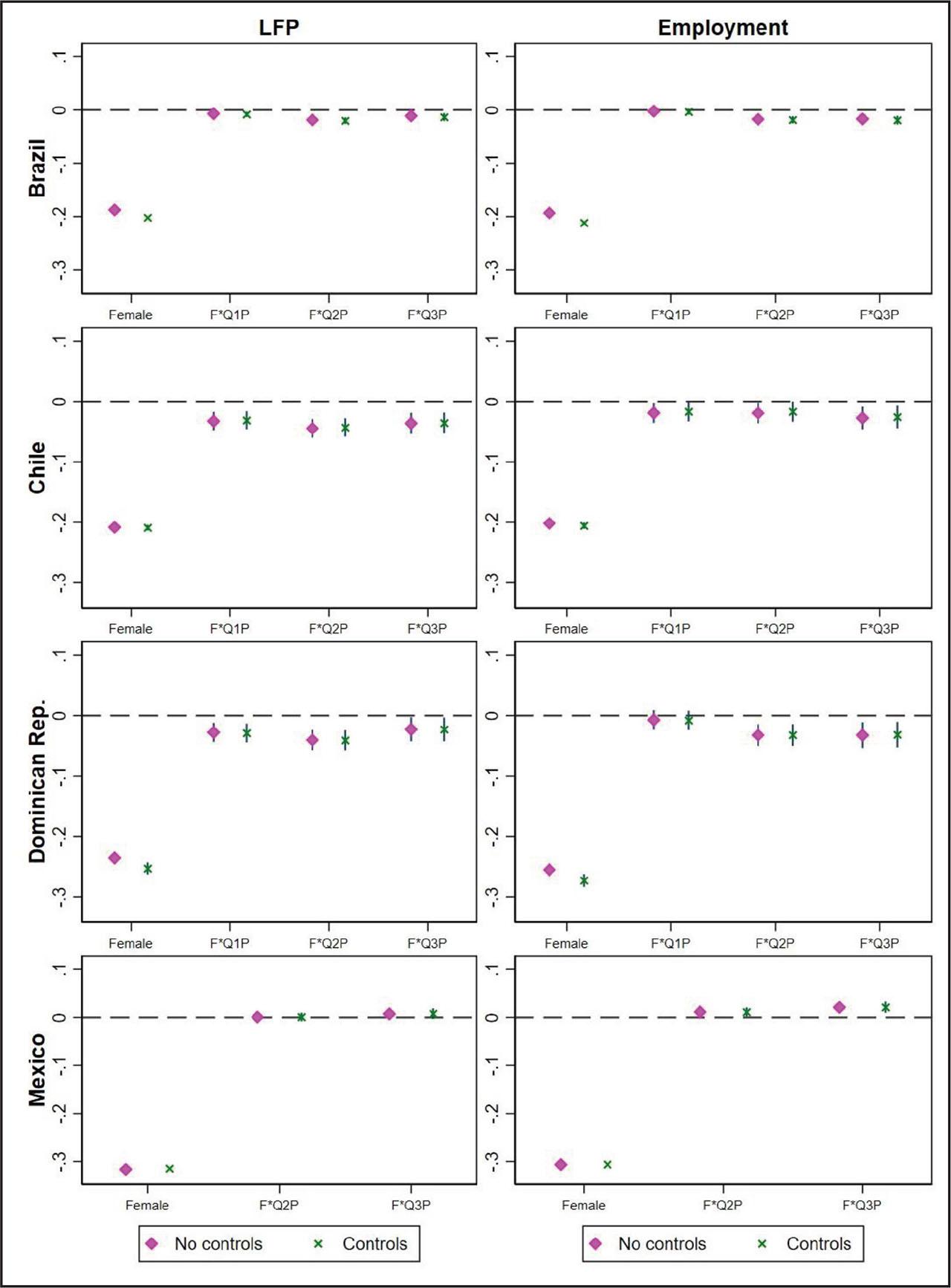
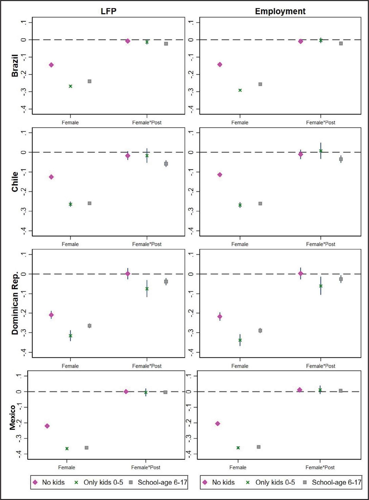
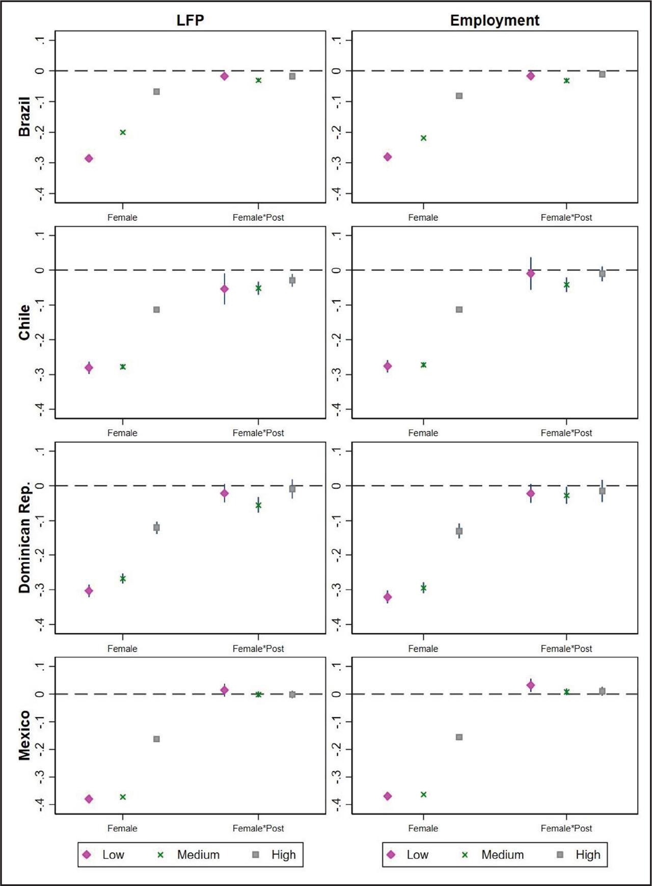
Figure 4 reports the main coefficients of interest for what we defined as stock regressions in Section 3.1.
(12) We report results on only two labor market states: participation in the labor market (LFP) and being in one of the employment states (Employment). In this baseline specification we do not separate the three employment states (informal employee, formal employee, self-employed) but we build one aggregate labor market state for all of them to generate a more compact and parsimonious discussion. We discuss results for each separate employment state in Section 4.3 when presenting heterogeneous effects. The coefficients we report in the Figure refer to the impact of being female (Female) and to the differential impact of the pandemic for women with respect to men (Female*Post) on the labor force participation (LFP) and employment rates. We present two specifications: one without any additional controls (No Controls) and one with all the controls listed in Section 2.1 (Controls). More formally, and using the notation of equation (1), the LFP figure defines the dependent variable yit = 1 if individual i in quarter t participates in the labor market, while the Employment figure defines yit = 1 if individual i in quarter t is employed. All the figures report only the coefficient β2 (Female) and β3 (Female*Post). The No Controls specification only includes a constant and the variables {Pt, Fi, Pt × Fi}, the Controls specification adds

Labor Market Stocks.
Note: LFP and Employment denote dependent variable =1 if, respectively, labor market participant and employed. Female denotes coefficients for the impact of being female (β2 in equation (1)); Female*Post denotes the differential impact of the pandemic for women with respect to men (β3 in equation (1)). Vertical lines denote 95% confidence intervals. A more complete set of results is available in Table C.3.
The main results are as follows. First, and confirming previous literature, women are less likely to participate in the labor market and to be employed than men. The gender gaps are large, ranging from about 20 percentage points in Brazil to about 30 in Mexico. Second, the negative impact of the pandemic on LFP and employment, present for both men and women, is significantly stronger for women in all countries except Mexico. The magnitudes are not negligible since they took place over a short time period. For LFP, our estimates indicate that the pandemic increased the gender gap in 3.6 percentage points in Chile, 3.2 in the Dominican Republic and 1.3 in Brazil. For employment, the increase in the gender gap during the pandemic was of 2.2 percentage points in the Dominican Republic, 1.9 points in Chile and 1.2 in Brazil. The difference observed on Mexico could be, at least in part, due to the absence of data for 2020Q2, the quarter when the pandemic impact was arguably greatest (Secretaría de Hacienda y Crédito Público, 2021). Not observing agents when the pandemic impact was at its peak means that we loose some empirical identification because we compare the pre-pandemic period with a period of the pandemic when its impact could be already waning.
Figure 5 reports results by quarters, as estimated using equation (B.1). We only focus on point estimates from regressions containing the full set of controls and we report results on the differential impact for women with respect to men in the first, second and third quarters of the pandemic (F*Q1P, F*Q2P and F*Q3P, respectively). The stronger negative impact of the pandemic on women’s LFP in comparison to men’s participation appears in all quarters in Brazil, Chile and the Dominican Republic, and the size of the effect is larger in the second pandemic quarter (2020Q3). Regarding employment, the effect –i.e. larger negative impact for women than men– increases with the passing of time in these three countries. As with the average impacts presented in Figure 4, Mexico is the exception when separating the pandemic impact by quarters. We find that the pandemic did not deferentially affect women’s LFP in comparison to men’s participation and had a positive impact on female employment compared to male employment. The analysis of the flows presented below provides some insights on the dynamics behind these results.

Labor Market Stocks by Quarter.
Note:: LFP and Employment denote dependent variable =1 if, respectively, labor market participant and employed. Female denotes coefficients for the impact of being female (β2 in equation (B.1)); F*QKP denotes the differential impact of the pandemic for women with respect to men in pandemic quarter K (δk in equation (B.1)). Vertical lines denote 95% confidence intervals. A more complete set of results is available in Table C.4.
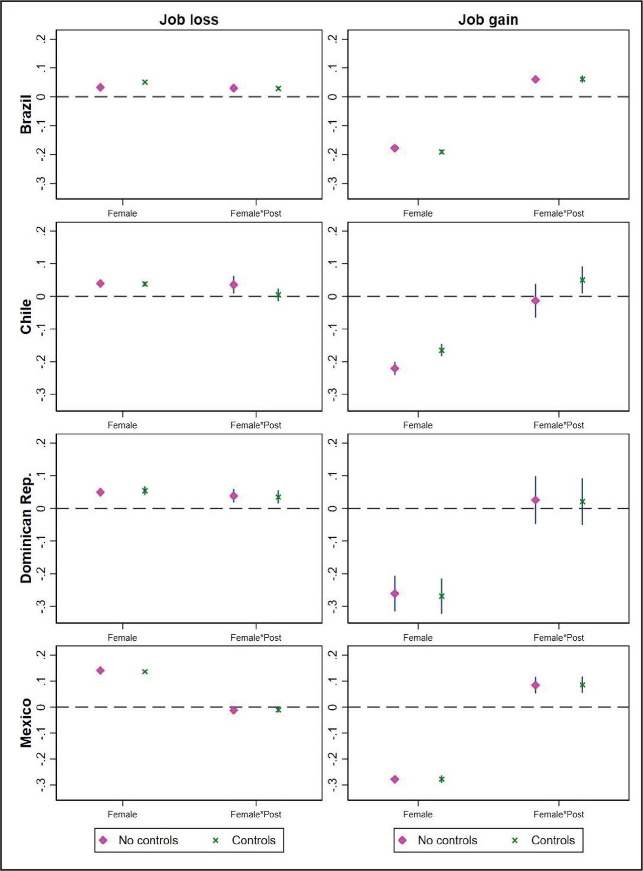
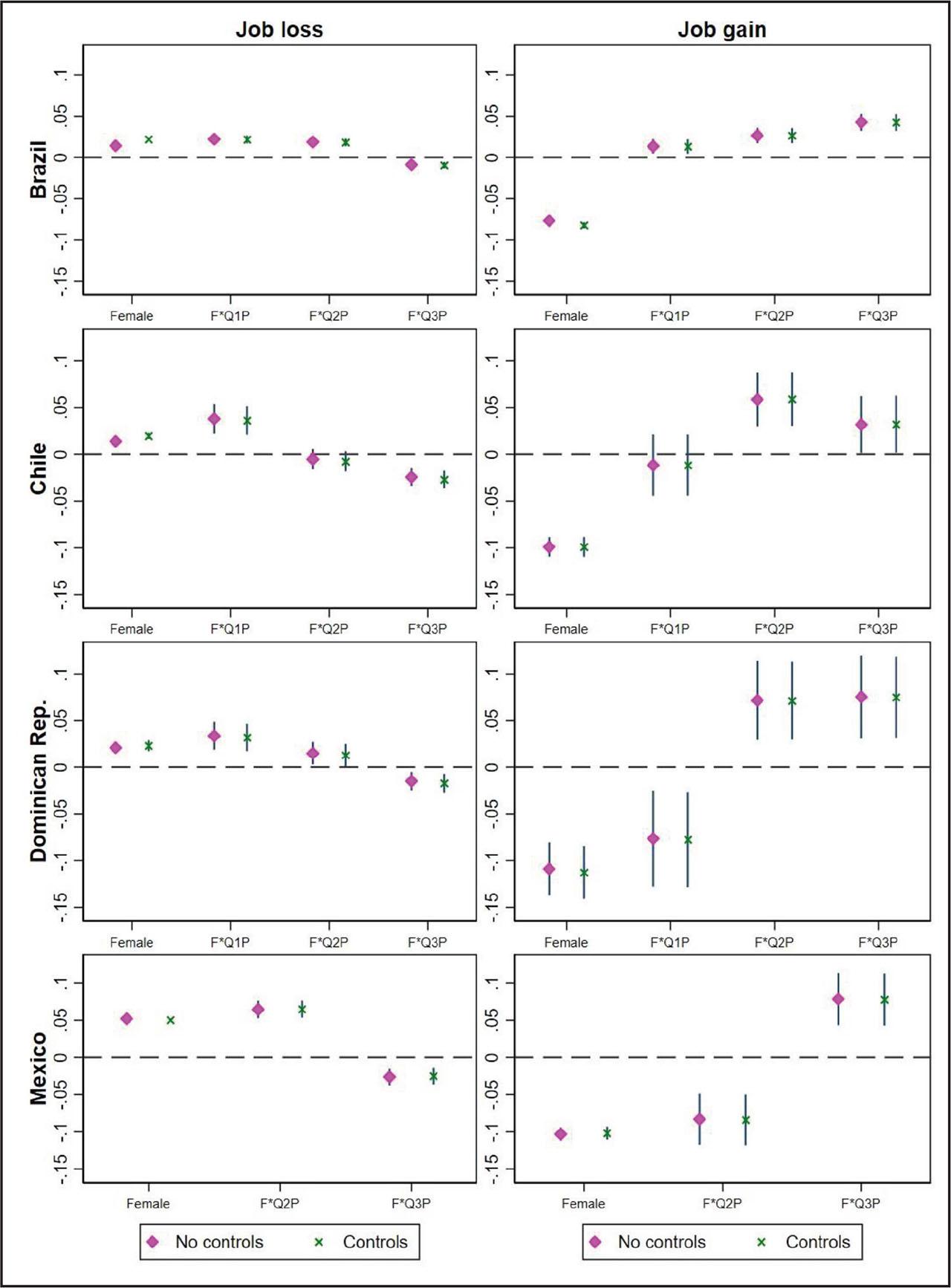
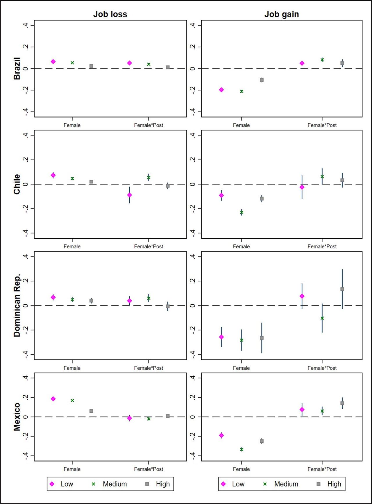
Figure 6 reports the main coefficients of interest for what we defined as flow regressions in Section 3.2. We report results on both the job loss and job gain dependent variables. As in Figure 4, we report only coefficients for the impact of being female (Female) and of being female during the pandemic (Female*Post) and we present two specifications, with and without controls. More formally, and using the notation of equation (2), the Job loss column reports results where the dependent variable diτ = 1 if individual i was employed at the beginning of the period but lost the job afterward; the Job gain column reports results where the dependent variable diτ = 1 if individual i was not employed at the beginning of the period but became employed afterward. We only report coefficients α1 (Female) and α3 (Female*Post).

Labor Market Flows.
Notes: Job loss and Job gain denote dependent variable = 1 if, respectively, workers lost their job or non-workers found a job, taking as initial condition the first quarter of each year. Female denotes coefficients for the impact of being female (β2 in equation (2)); Rτ ×Fi denotes the differential impact of the pandemic for women with respect to men (β3 in equation (2)). Vertical lines denote 95% confidence intervals. A more complete set of results is available in Table C.3.
The main results are as follows. In most countries, the pandemic generated more job mobility for women since it increased both their probability of losing a job and their probability of finding one compared to men. However, the relative increase in the probability of finding a job during the pandemic was not enough to close the gap with respect to men on overall employment rates except in Mexico, as we have seen in the stock regressions. In Brazil, where all the coefficients are very precisely estimated, women are more likely to lose a job by about 5 percentage points in a regular year and by about 8 percentage points during the pandemic. At the same time, women are less likely to find a job than men by about 19 percentage points in a regular year, a level that decreases to about 13 percentage points during the pandemic. Similar but less precisely estimated patterns are observed for Chile and the Dominican Republic. Mexico is an exception again: it does not report a significant gender gap of the pandemic’s impact on job loss but reports a significant gender gap in favor of women on job gain which helps us understand the positive impact on female employment discussed before. As was mentioned above, the differential pattern of results in Mexico compared to the other countries could be related with the absence of data for 2020Q2. In addition, the analysis of flows point out that the positive impact of the pandemic on women’s employment in comparison to men’s employment in this country is explained by a higher job gain rate for women and no differential impact on the job loss rate during the pandemic defined as 2020Q3 and 2020Q4.
Figure 7 reports results by quarters, as estimated using the extension of equation (2) that corresponds to equation (B.1). As in the stock regressions by quarters, we only focus on point estimates from regressions containing the full set of controls. The patterns on job loss show a strong significant negative impact on the first pandemic quarter for all countries, i.e. women are much more likely to lose a job than men when the pandemic starts. This impact monotonically decreases and changes its sign in the last pandemic quarter we observe, i.e. women are less likely to lose a job than men when the (first wave of the) pandemic ends. A similar pattern appears in Mexico where women were more likely than men to lose a job in 2020Q3 but less likely in 2020Q4. On job gain, we find that at the beginning of the pandemic the impact is positive for women in Brazil and negative for the other countries (although not significant in Chile); but toward the end of the period, it is positive across the board, i.e. women are significantly more likely to find a job than men. The changes in magnitudes over the period are important: for Chile, women are 3.6 percentage points more likely than men to lose a job at the beginning of the pandemic period and 2.7 points less likely to do so at the end; for the Dominican Republic, women are 7.8 percentage points less likely than men to find a job at the beginning of the pandemic period and 7.5 points more likely to do so at the end.

Labor Market Flows by Quarter.
Notes: Job loss and Job gain denote dependent variable =1 if, respectively, workers lost their job or non-workers found a job, taking as initial condition the first quarter of each year. Female denotes coefficients for the impact of being female; F*QKP denotes the differential impact of the pandemic for women with respect to men in pandemic quarter K. Vertical lines denote 95% confidence intervals. A more complete set of results is available in Table C.4.
Overall results of Figure 6 show that on average, the stronger job loss of women with respect to men in Brazil and the Dominican Republic is mostly driven by the early pandemic period, while in Chile and Mexico, the change in the direction of the effect with the passing of time leads to a non significant average impact. For the job gain rate, the higher effect for women than men in Brazil, Chile and Mexico is mostly driven by the late pandemic period. In the Dominican Republic the lack of an average effect is explained by an early negative impact for women compared to men that turned positive in the late pandemic period.
In conclusion, results on stocks for three of the four LAC countries analyzed (Brazil, Chile and the Dominican Republic) confirm what was found by previous literature: the pandemic had a significant negative impact on participation and employment for both men and women but the impact was disproportionately stronger for women, in particular at the beginning of the pandemic. The magnitude of the impacts differs depending on the country considered, possibly due to differences in how the pandemic shock affected each specific labor market –e.g. by economic sectors and occupations– and how policymakers responded to the crisis. Results on flows are novel for LAC and relatively rare for other world regions too. They paint a more nuanced picture of the the differential impact of the pandemic by gender: if women are more likely to lose or leave their jobs during the pandemic, they are also more likely to find and accept one. Therefore, more churning and more job mobility seems the most striking difference between men and women in terms of labor market dynamic over the period. Results by quarters show that the higher rate of job loss for women is mostly driven by the early pandemic period while the higher job gain rate is mostly driven by the late pandemic period. Mexico appears as an exception to the general pattern of results on stocks. The lack of a negative impact on female LFP compare to male participation and a positive differential effect on female employment on average could be related to the lack of data on 2020Q2. The analysis of flows, however, shows in Mexico a pattern of results similar to the other countries; but while in the other countries the higher job gain rate for women was not enough to close the pandemic employment gap with men, it was in Mexico.
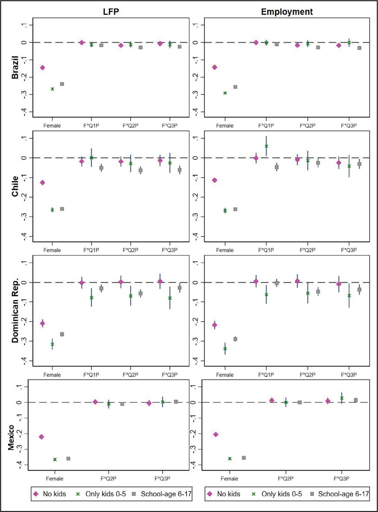
The first heterogeneity dimension we focus on is the presence of children in the household. Due to childcare duties and the closing of schools and child care services, previous literature (13) has already shown that the labor supply of mothers with children is potentially the most affected by the pandemic. We study the issue by estimating the same stocks and flows regressions presented in the previous section but now allowing for heterogeneous effects based on the presence of children of different ages. In the specification, we allow different effects of the pandemic for three different groups: those without children younger than 17 living at home; those with only children younger than 6 living at home; those with at least one children of age 6 to 17 living at home. This last group is the one we expect to be the most affected by school closures due to the pandemic. Formally, we are estimating specifications of the form described by equation (B.2) where we report coefficients β9 (overall impact of being female in that specific group) and β10 (impact of the pandemic on women compared to men for that specific group). Equation (B.2) is an example with only one heterogeneous category. In most specifications we actually estimate, we will have more than one. For example, not only the presence of children but the presence of children of different age groups. We will then estimate a generalized version of equation (B.2) where the source of heterogeneity is categorical and described by a set of dummies. Finally, we will specialize the equation to run flows regression of the form corresponding to equation (2).
Figure 8 reports heterogeneous effects by presence of children in different age ranges estimated from the stock regressions. In line with previous evidence, women with young children are less likely to participate in the labor market and less likely to be employed than men and than women without young children. The pandemic significantly magnified these effects for women with schoolage children in all countries with the exception of Mexico. In this country, the lack of a differential effect of the pandemic on female LFP compared to male participation found in the aggregate appears in all the categories defined by presence and age of children. For women with pre-schoolage children the impact is more mixed, possibly as a result of child-care centers being more flexible in being open for service or thanks to the presence of alternative forms of care (nannies, family members). The magnitudes are relevant: in Chile, women with school-age children are 5.8 percentage points less likely to participate in the labor market during the pandemic than men, 3.8 in the Dominican Republic, and 2.2 in Chile. Women with younger children in Brazil experience, instead, impacts in the order of magnitude of one percentage point, although not significant statistically. The differential impact of the pandemic on women with children with respect to men confirms the well-known asymmetry in household production and care provision: women provide more household production than men and devote more hours to the care of family members, even if they supply labor in the market. (14) We also run regression to decompose the impact by pandemic quarter. Results reported in Figure 9 show a small trend for Brazil and the Dominican Republic: the impact for women with school-age children becomes worse as the pandemic progresses. The other heterogeneous impacts are too imprecisely estimated to draw meaningful inference.

Labor Market Stocks by Children Presence and Age.
Notes: LFP and Employment denote dependent variable = 1 if, respectively, labor market participant and employed. Female denotes coefficients for the impact of being female with the corresponding age and presence of children with respect to men; Female*Post denotes the differential impact of the pandemic for women with the corresponding age and presence of children with respect to men. No Kids includes both women without children at home and women with children at home older than 17. Vertical lines denote 95% confidence intervals. A more complete set of results is available in Table C.5.

Labor Market Stocks by Children Presence and Age and Quarter.
Notes: LFP and Employment denote dependent variable = 1 if, respectively, labor market participant and employed. Female denotes coefficients for the impact of being female with the corresponding age and presence of children with respect to men; F*QKP denotes the differential impact of the pandemic for women with the corresponding age and presence of children with respect to men in pandemic quarter K. No Kids includes both women without children at home and women with children at home older than 17. Vertical lines denote 95% confidence intervals. A more complete set of results is available in Table C.6
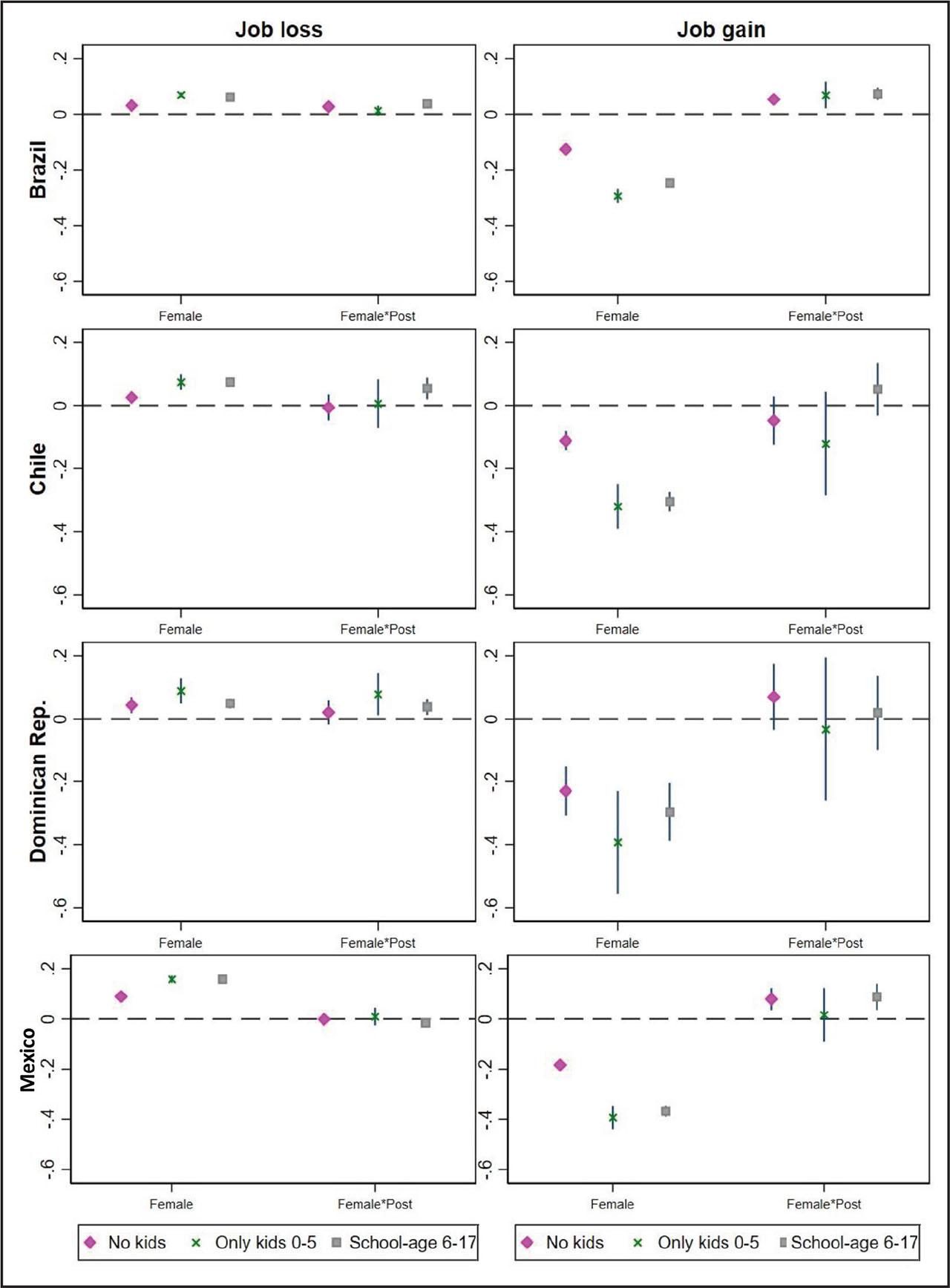
Figure 10 reports heterogeneous effects by presence of children in different age groups estimated from the flows regressions. Results show that the higher churning and mobility of women during the pandemic was mainly driven by women with children. In Brazil, women with school-age children are 3.7 percentage points more likely to lose or leave a job than men and 7.3 percentage points more likely to find one. In Chile, women with school-age children are the only ones that are significantly more likely than men to leave or lose a job during the pandemic. In Mexico, results are more mixed; in the Dominican Republic, are very imprecisely estimated. Figure 11 reports impacts by pandemic quarter. They show a small trend for Brazil and a stronger one for Mexico, with impacts becoming more marked as the pandemic progresses. A similar but noisier trend is present in Chile and in the Dominican Republic. We confirm that the aggregate results we found in Section 4.1 are mainly driven by women with children: in the first quarter of the pandemic, women with school-age children in Brazil are 3 percentage points more likely to lose or leave a job than men, while they are 1.4 point less likely to do so in the third quarter of the pandemic; in Chile, the values are, respectively, 6.5 and 3.7. With respect to the probability to find a job, it is 6.1 percentage points higher for women with school-age children than men in Brazil in the third pandemic quarter while it was one (not significant statistically) in the first pandemic quarter. In Chile, the values are, respectively, 9.5 and −2.2 (not significant statistically).

Labor Market Flows by Children Presence and Age.
Notes: Job loss and Job gain denote dependent variable =1 if, respectively, workers lost their job or non-workers found a job, taking as initial condition the first quarter of each year. Female denotes coefficients for the impact of being female with the corresponding age and presence of children with respect to men; Female*Post denotes the differential impact of the pandemic for women with the corresponding age and presence of children with respect to men. No Kids includes both women without children at home and women with children at home older than 17. Vertical lines denote 95% confidence intervals. A more complete set of results is available in Table C.5.

Labor Market Flows by Children Presence and Age and Quarter.
Notes:Job loss and Job gain denote dependent variable =1 if, respectively, workers lost their job or non-workers found a job, taking as initial condition the first quarter of each year. Female denotes coefficients for the impact of being female with the corresponding age and presence of children with respect to men; F*QKP denotes the differential impact of the pandemic for women with the corresponding age and presence of children with respect to men in pandemic quarter K. No Kids includes both women without children at home and women with children at home older than 17. Vertical lines denote 95% confidence intervals. A more complete set of results is available in Table C.6.
The conclusion of estimating heterogeneous effects by presence of children in different age ranges is that having children is the main source of the differential impact of the pandemic on women with respect to men reported in the aggregate for Brazil, Chile and the Dominican Republic. Among women with children, those with school-age children are the ones experiencing the stronger impacts. For Mexico, the lack of an average effect on the gender gap in LFP is confirmed in all the groups defined by presence and age of children.
The second heterogeneity dimension we focus on is the level of education. As the presence of children, the education level is a major determinant of women’s labor supply and has been found to correlate with the extent of the pandemic’s impact (Alon et al., 2021; Fairlie et al., 2021). We consider the three education levels defined in Section 2.1 and we replicate the analysis on stocks and flows regressions presented so far. We estimate the effects in the same way we described at the beginning of the previous section: by introducing additional interactions terms for each heterogeneity component. See equation (B.2) for the formal definition.
Figure 12 reports the stock regressions results. An interesting result emerge: while in a regular year the gender gap is much larger for women with less than High School completed (Low and Medium categories), the pandemic has deferentially affected women with respect to men in the three education levels in a similar way. For example, in Chile the gender gap in employment is about 11 percentage points in a regular year for women with at least High School completed, while it is more than 27 percentage points for women with a level of education lower than that. The differential impact of the pandemic, instead, is not statistically different at usual significance level between the three education levels. Only in Brazil there is a statistically significant difference between High and Middle education but the magnitude is very small. Figure 13 reports the flow regression results which differ by country and educational level. In Brazil and in all educational groups, women were more likely than men to lose a job but the size of the effect gets smaller the higher the education category considered. In Chile, women with low (medium) level of education were less (more) likely to lose a job than men, while there is not differential impact of the pandemic in the high education group. In the Dominican Republic, women with low and medium levels of education faced higher job loss rates than men with similar education level, while there is not differential impact by gender for those with high level of education. Finally, in Mexico, women with medium level of education were less likely to lose a job than men. Regarding job gain, results also differ depending the education level and country considered. It is worth mentioning that the higher job gain rate for women with respect to men during the pandemic in Mexico found in the aggregate appears in all educational categories.

Labor Market Stocks by Education.
Note: LFP and Employment denote dependent variable =1 if, respectively, labor market participant and employed. Female denotes coefficients for the impact of being female with the corresponding education level with respect to men; Female*Post denotes the differential impact of the pandemic for women with the corresponding education level with respect to men. Low denotes 0 to 8 years of education completed; Medium 9 to 13 years; and High 14 or more. Vertical lines denote 95% confidence intervals. A more complete set of results is available in Table C.7.

Labor Market Flows by Education.
Note: Job loss and Job gain denote dependent variable =1 if, respectively, workers lost their job or non-workers found a job, taking as initial condition the first quarter of each year. Female denotes coefficients for the impact of being female with the corresponding education level with respect to men; Female*Post denotes the differential impact of the pandemic for women with the corresponding education level with respect to men. Low denotes 0 to 8 years of education completed; Medium 9 to 13 years; and High 14 or more. Vertical lines denote 95% confidence intervals. A more complete set of results is available in Table C.7.
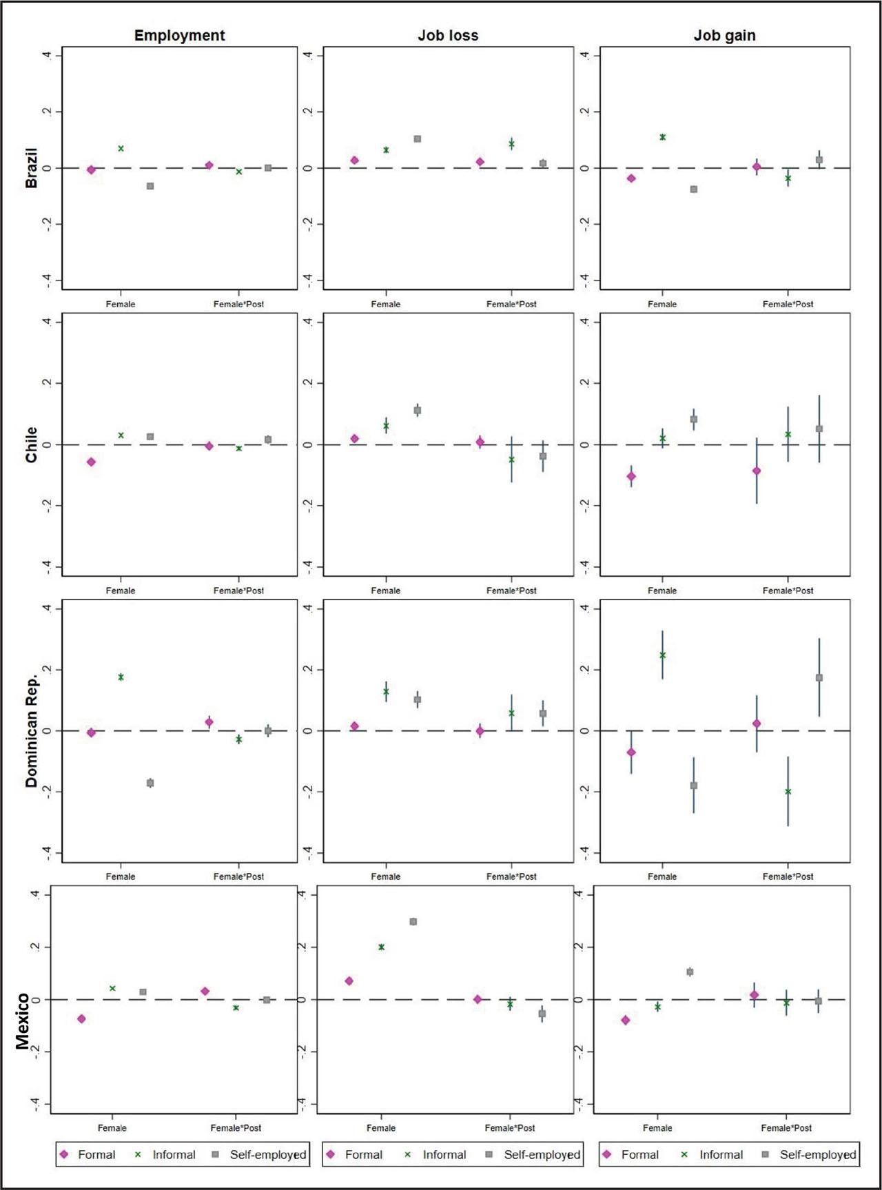
The third heterogeneity dimension we focus on is the formality level of the job. In the data we can observe if individuals are formally or informally employed or if they are self-employed, a very relevant third employment state very close to formality for low skilled workers and closer to formality for high skilled workers. (15) Given the widespread informality levels in LAC countries and given the lower firing costs associated with informal employment, it becomes very relevant to see if the pandemic has disproportionately affected this more flexible and frequently more vulnerable workers. Women belong to a vulnerable labor market group also because they are relatively more likely to work informally. We repeat on these three job-type categories the same analysis run on the three education levels but with one difference: we have to condition on the individual being employed to assign the job type. Therefore, we cannot run the stock LFP regressions.
Figure 14 collects the main results both from stock and flow regressions. The dynamic in a typical year is for women to be significantly more likely to work as informal employees in all countries. The probability of being self-employment, instead, differs between countries. The pandemic impacted negatively on female informal wage employment relative to men in all countries and positively on formal wage employment in all countries except Chile. Self-employment only changed significantly during the pandemic for women in comparison to men in Chile where it increased. We conjecture that the change in the employment distribution for women with respect to men –i.e a decline in informal wage employment and an increase in formal wage employment– could be due to a selection effect. Women who remained employed during the pandemic have more labor market attachment (because they do not have children or have more help with childcare) and are employed in “better” jobs –i.e formal jobs. Conversely, those who lost heir job were employed in more flexible and vulnerable positions –i.e informal jobs. For the flow regressions we find that the pandemic had some differential impacts in Brazil and, partially, in the Dominican Republic and Mexico. In Brazil, among workers informally, women were 8.7 percentage points more likely to leave or loose a job than man during the pandemic; the differential is only 2.3 points for women working in formal jobs. In the Dominican Republic, self-employed women were 5.7 percentage points more likely to lose their job compared with self-employed men during the pandemic. On the contrary, in Mexico self-employed women were 5.4 percentage points less likely to lose their job compared to self-employed men. In terms of the probability to find a job during the pandemic if not-employed before, self-employment seems the favorite outcome for women with respect to men in Brazil, Chile and the Dominican Republic but the differences are rarely statistically significant.

Labor Market Stocks and Flows by Job Type
Note: Employment denotes dependent variable =1 if employed. Job loss and Job gain denote dependent variable = 1 if, respectively, workers lost their job or non-workers found a job, taking as initial condition the first quarter of each year. Female denotes coefficients for the impact of being female with a given job type with respect to men; Female*Post denotes the differential impact of the pandemic for women with a given job type with respect to men. Formal, Informal, Self-Employed denotes that the state of employment of reference is, respectively, in a formal job, an informal job or as self-employed. Vertical lines denote 95% confidence intervals. A more complete set of results is available in Table C.8.
In conclusion, unlike the analysis by presence of children at home, we do not find common patterns across countries when distinguishing by level of education or employment type. The exception is the larger negative impact on employment for women compared to men in the informal wage employment category in all countries and the positive impact on the formal wage employment category in all countries except Chile. In the analysis of flows, results differ depending on the country and employment type considered, similarly when distinguishing by level of education.
We compare a series of balanced panel data samples for Brazil, Chile, the Dominican Republic and Mexico to study how the COVID-19 pandemic has affected labor market states and transitions of men and women. We focus on these four countries because they are the only ones that, so far, have collected and reported comparable and representative panel data before and after the pandemic. We define the start of the pandemic with the second quarter of 2020 and follow individuals until the last quarter of 2020. We use data from 2017, 2018 and 2019 as comparison. We focus, as most of the previous literature, on comparing the labor market state of workers before and after the pandemic, including the participation decision. We add, as few previous contributions have done, labor market dynamic outcomes: the probability to lose a job during the pandemic if employed before and the probability to find one if non-employed before. Methodologically, we run regressions exploiting both the difference before and after the pandemic and the difference between men and women. We also allow for some heterogeneous effects based on observable characteristics. No paper so far has conducted such analysis on multiple LAC countries using comparable data.
The analysis shows that the pandemic has magnified the significant gender gaps already present in these markets in Brazil, Chile and the Dominican Republic. For these three countries the results show several common patterns: (i) the pandemic had a larger negative impact on female LFP and employment than on male outcomes, in particular at the beginning of the pandemic; (ii) women were more likely than men to lose a job and also to find one during the pandemic compared to the pre-pandemic period; (iii) differences between men and women were mainly driven by women with children and in particular by women with school-age children living at home; (iv) among women and men who kept their jobs, the pandemic led to a change in the employment distribution by type as women became less likely to work as informal wage employees and more likely to do so as formal wage employees (in Brazil and the Dominican Republic) or self-employed (in Chile) than men.
Results for Mexico are different along a number of dimensions. The pandemic did not have a different impact by gender on LFP and led to a rise in female employment in comparison to male employment. In addition, the higher job gain rate of women during 2020Q3 and 2020Q4 helped them to recover any pandemic employment gap with respect to men, while in the other countries the higher job gain of women compared to men was not enough to close the gap. The peculiarity of results for Mexico could be due, at least in part, to the absence of data for 2020Q2, the quarter when the pandemic impact was arguably greatest. Not observing agents when the pandemic impact was at its peak means that we loose some empirical identification for Mexico because we compare the pre-pandemic period with a period of the pandemic when its impact could be already waning.
Our results for three of the four LAC countries analyzed (Brazil, Chile and the Dominican Republic) broadly confirm those found on high-income countries: the pandemic as a she-cession of women with school-age children. (16) Therefore, any policy able to support the care of children or to reduce the asymmetric contribution within the household to the care of children should generate more resilience and a better distribution of the costs of the pandemic.
Important exceptions to these findings are the lack of differential job loss between women and men in the U.K. reported by Hupkau and Petrongolo (2020) using data from a web-based survey, and the lack of gender gaps in the pandemic impacts on employment and hours of work in the Netherlands, Germany, and the U.K. reported by Alon et al. (2021)
The Panel Study of Income Dynamics (PSID) began in 1968 with a nationally representative sample of individuals. Information on these individuals and their descendants has been collected continuously since, generating many years of data for the same individual.
The Current Population Survey (CPS) is the primary source of labor force statistics for the population of the United States. Households are in the survey for 4 consecutive months, out for 8, and then return for another 4 months before leaving the sample permanently, generating multiple months of data for the same individual over a year.
As with any panel dataset, attrition may be a concern. In Brazil and Mexico, where we can calculate attrition rates, we find they were around 10% and 5% between consecutive quarters and that they increased during the pandemic. Section A.2 in the Appendix provides a detailed analysis of attrition rates and discusses the balance of characteristics for different groups of observations.
INEGI is the Instituto Nacional de Estadística y Geografía and it is responsible for collecting the ENOE and ENOE-N datasets.
Because of this data restriction, panel 10 in Table 1 is not used in Mexico. In panel 10, 2020Q2 is the only quarter that is part of the pandemic period. The lack of data on this quarter prevents us from considering this panel as one affected by the pandemic. To make the pre-pandemic data comparable, we do not use panels 2 and 6 for this country.
For our purposes, the main effect of the update in the sampling methodology is a change in the identifiers used to build the panels. INE provided us with both the original and new identifiers to properly build panels on individuals observed before and after January 2020.
We do not use marital status for any country as a control variable because this information is not available in Brazil and we want to use the same information across all countries.
Recall that we did not use 2020Q2 for Mexico because of data issues.
This stability reflects a trend which started in the mid- and early-2000s (Gasparini and Marchionni, 2015a).
As mentioned in Section 1, they include for example Alon et al. (2021) and Fairlie et al. (2021). Their equations, respectively, (1) and (V.1) correspond to our equation (1).
Table C.3 in Appendix C contains point estimates, standard errors and additional statistics. We use the same structure for all the results: we comment on the Figures and we report in Appendix C a selection of the estimated coefficients.
See in particular Alon et al. (2021) and Fairlie et al. (2021) for high-income countries and Berniell et al. (2023) for LAC countries.
For data on LAC countries, see OECD (2020); for an empirical model taking into account these asymmetries in a LAC country, see Salazar-Saenz (2021).
For the relevance of these definitions in a country as Mexico, see Bobba et al. (2022); for Brazil, see Meghir et al. (2015); for a broader reference, see Bosch and Maloney (2010). For Chile the issue is less relevant but still non-negligible.
See for example, Alon et al. (2021); Shibata et al. (2021); Nieves et al. (2021).