Immigrant entrepreneurs play an important social and economic role in economies around the world. In the United States (US), the focus of this study, immigrants lead natives not only in business creation rate but also in business ownership rate (Fairlie, 2012). Approximately 25% of all firms in the US are founded by immigrants and the share of immigrant entrepreneurs exceeds 40% in states like California and New York (Kerr and Kerr, 2020). Despite such a large proportion of immigrant workers engaging in entrepreneurial activities, the question of how immigrant entrepreneurs affect the entrepreneurial propensities of natives is not well understood. On one hand, immigrant entrepreneurs increase demand for intermediate goods and services, stimulate technological innovation (Duleep et al., 2012), aid in cross-border technology diffusion (Kerr, 2008), and facilitate international trade (Gould, 1994). These effects are likely to help in growth of native-owned businesses (Coad and Rao, 2008) and encourage more natives to take up entrepreneurship (the “crowding in” effect). On the other hand, immigrant entrepreneurs compete with the native-run businesses by cutting costs and accepting lower profits (Ackerman and Tellis, 2001; Joona, 2011), potentially displacing natives from entrepreneurial activities (the “crowding out” effect). The opposing forces make the net impact of immigrant entrepreneurs on native entrepreneurial propensities theoretically ambiguous. This paper provides the first quasi-experimental evidence for the net impact of immigrant entrepreneurs on entrepreneurial propensities of natives.
The impact of immigrant entrepreneurs on native entrepreneurial propensities has several policy implications. Entrepreneurship is a significant component of economic growth (Van Stel et al., 2005; Haltiwanger et al., 2013; Rupasingha and Goetz, 2013). In the US alone, 28 million small businesses account for 54% of nationwide sales and provide 55% of all jobs (Small Business Administration). Entrepreneurship is also a path out of poverty for many small business owners (Bruton et al., 2013). Due to these socio-economic benefits, governments at the federal, state, and local level provide tax breaks, subsidies, and other incentives to promote entrepreneurship (Rupasingha and Goetz, 2013). Moreover, many nonprofit foundations invest generously in entrepreneurial development (Goetz et al., 2010). If immigrant entrepreneurs have a net positive effect on the entrepreneurial propensities of natives, a potential policy response would be to encourage further entrepreneurship among immigrants, for example by improving their access to credit or by issuing more entrepreneurship visas. (1) On the contrary, if immigrant entrepreneurs crowd out native entrepreneurs, the appropriate policy response hinges on the quality of the businesses immigrants create. (2)
Previous literature on immigration and entrepreneurship is limited to describing immigrant entrepreneurship (Kerr & Kerr, 2016; Kahn et al., 2017; Kerr & Kerr, 2020; Azoulay et al., 2020) and evaluating the impact of overall immigration on aggregate levels of entrepreneurship (Fairlie and Meyer, 1997, 2003; Unel, 2018). (3) This paper extends the literature by estimating the direct causal impact of an exogenous change in the number of immigrant entrepreneurs on native entrepreneurial propensities. Specifically, I use data from the Annual Social and Economic Supplement (ASEC) of Current Population Survey (CPS) – a nationally representative survey of households in the US – to study how within-state variation in the supply of immigrant entrepreneurs affects the entrepreneurial propensities of natives. Econometrically, I model entrepreneurial propensity of natives as a function of the supply of immigrant entrepreneurs at the state level and other determinants of entrepreneurial tendency. An obvious concern with this approach is that the supply of immigrant entrepreneurs within a state is endogenous. Therefore, I use an instrumental variables strategy, which is described later in the manuscript, to circumvent the endogeneity concerns.
My findings, in contrast to those implied by previous studies, suggest that comprehensively the immigrant entrepreneurs have no impact on entrepreneurial propensities of natives. The mostly null effects observed in the full sample are robust to variations in modeling techniques and sampling period. In subsample analyses, I find evidence suggesting that immigrant entrepreneurs may have a small, but positive effect on entrepreneurial propensities of Blacks. Although not all subsample analyses are equally robust and there is no evidence, what-so-ever, of crowd-out in any subgroups of natives analyzed in this study.
Broadly, this paper is related to the vast literature, across disciplines, on socio-economic impacts of immigration. Most previous studies, both theoretical and empirical, on the topic examine the impact of immigrant workers on wages and employment prospects of native workers. Conclusions from theoretical models in this class of studies depend on the assumptions made on the relative skill structure of immigrant workers and native workers (which ultimately determine the elasticity of substitution between the two groups) and the elasticity of capital supply (Friedberg and Hunt, 1995; Dustmann et al., 2008; Manacorda et al., 2012). For example, if capital supply is perfectly elastic and immigrant workers are perfect substitutes for native workers, immigration does not affect the wages and employment prospects of natives. However, if immigrant workers have different skill composition than native workers, there will be winners and losers among natives even with perfectly elastic capital supply.
Empirical studies on the topic are abundant (for example Card (1990), Borjas et al. (1997), Winter-Ebmer and Zweimüller (1999), Hu (2000), Borjas et al. (2011), Ottaviano and Peri (2012), Dustmann et al. (2017), and Prantl and Spitz-Oener (2020) to state only a few) but report widely varying results. Nevertheless, a general consensus is that in the long run, immigrant workers, on average, neither lower wages of native workers (Peri, 2014) nor displace them from their jobs (Constant, 2014). Increased productivity, better skill mix, and high rate of entrepreneurship among immigrants are some of the benefits of immigration highlighted in these studies. (4)
More specifically, however, this paper aligns with a smaller group of studies within the migration literature that focuses on immigrant entrepreneurship. Studies within this space are scattered across disciplines including ethnic studies, sociology, urban studies, economics, entrepreneurship, economic geography, management studies, political science, and policy studies (Rath and Kloosterman, 2000). A majority of these studies describe immigrant entrepreneurship as a form of ethnic entrepreneurship and are often concerned with identifying distinct characteristics that make certain groups of immigrants more successful entrepreneurs than others (Evans, 1989; Yoon, 1995; Mesch and Czamanski, 1997; Min and Bozorgmehr, 2000; Kahn et al., 2017). Researchers have mainly examined entrepreneurship experiences of Hispanics, Chinese, Koreans, Indians, Iranians, and Filipinos in the North America and the experiences of Polish and Turkish immigrants in Europe (Aliaga-Isla and Rialp, 2013). Altogether, these studies highlight the various forms of human capital, social capital, and cultural attributes associated with immigrant entrepreneurs. Admittedly, the scope of this line of research is steadily expanding and scholars have explored areas as varied as the institutional environment in the context of immigrant entrepreneurship (Kloosterman, 2000), role of immigrant entrepreneurship in the high-tech sector (Hart and Acs, 2011), returns to immigrant entrepreneurship (Lofstrom, 2011), motivations and obstacles to immigrant entrepreneurship (Fatoki and Patswawairi, 2012), survival and growth of immigrant-founded businesses (Kerr & Kerr, 2016, 2020), and the role of global forces in immigrant entrepreneurship (You and Zhou, 2019). The other area of growing interest among researchers is the role of immigrants in transnational entrepreneurship (Kwak and Hiebert, 2010; Brzozowski et al., 2017). Dabić et al. (2020) provide an excellent up to date review of studies and evolving research agenda in this area. Despite large differences in terms of focus, more often than not, studies in this group discuss immigrant entrepreneurship as an important benefit of immigration, – for example, see Rath and Kloosterman (2000), Lofstrom (2002), and Peroni et al. (2016) – but credible research on how immigrant entrepreneurs affect native entrepreneurship is inadequate.
A handful of studies examine the closely related issue of how immigration affects entrepreneurship among natives. Light and Sanchez (1987), probably the earliest among them, utilize data collected from the 1980 public-use samples of U.S. Census to find that a higher percentage of foreign-born in labor force results in a higher aggregate self-employment rate. Similarly, Fairlie and Meyer (1997) use census data from 1980 and 1990 to estimate the impact of immigration on African American self-employment and find no significant effect. However, in a subsequent related study, the authors look at the impact of immigration on the self-employment propensities of the non-African American population in the US and find a small negative impact (Fairlie and Meyer, 2003). Hunt and Gauthier-Loiselle (2010) examine the impact of skilled immigration on innovation, measured by patenting behavior, in the US and find that a one percentage point increase in the share of immigrant college graduates in the population increases patents per capita by 6%. Similarly, Kerr and Lincoln (2010) examine the impact of high-skilled immigrants, entering on H-1B visas, on US technology formation. The authors conclude that total innovation, which is measured by patenting and employment in science and engineering, increases with higher H-1B admission levels. Olney (2013) examines the related issue of how firms respond to immigration and find that greater influx of immigrants translates into more firms. More recently, Unel (2018) examines the effect of immigration on entry and exit of US born entrepreneurs and finds negative impact on entry and exit of female entrepreneurs but no impact on male entrepreneurs. Specifically, the author finds that a 10% increase in the share of immigrants in the population lowers the entry and exit rates of female entrepreneurs by 10 and 5% respectively. Taking a theoretical approach, Unel (2019) sets up a two country model to study the effect of immigration policies and concludes that policies that accelerate the integration of immigrants to host economy reduce offshoring of labor and increase the local supply of entrepreneurs.
Although important in their own right, existing studies closely related to this study investigate the impact of immigration on post-immigration aggregate levels of entrepreneurship or the entrepreneurship rate of natives. They fall short of disentangling the impact of immigrant entrepreneurs from that of immigrants in general. Since a wave of immigration adds both self-employed and employed to the economy, the impact of immigration is a result of the economic activities of the immigrant entrepreneurs and the non-entrepreneurs. Isolating the impact of immigrant entrepreneurs from immigration not only informs the policies related to immigration and entrepreneurship development, but also improves our understanding of the determinants of entrepreneurship among natives.
To empirically estimate the net impact of immigrant entrepreneurs on native entrepreneurship, I build up on a conceptual framework of self-employment outlined by Borjas (1986). In this econometric setup, an individual i chooses self-employment based on the difference between market wage wi, and the expected net income from self-employment, yi. If we define an index function I such that
If vi is distributed symmetrically, then
It is hard to specify, with certainty, the exact variables that go into the vector C (Borjas, 1986). However the literature, discussed in the foregoing subsection, suggests that in addition to normally considered micro and macro level determinants of labor market outcomes, the supply of immigrant entrepreneurs is likely to play an important role in a native individual's choice of self-employment. Therefore, for the purpose of estimating the net impact of immigrant entrepreneurs on native entrepreneurship, I utilize a reduced form model that specifies the self-employment propensity of natives as a function of supply of immigrant entrepreneurs and other relevant controls. I discuss this model in detail in Section 4.
The main source of data for this study is the ASEC, popularly known as the March supplement, of the CPS. I use the uniform extracts of the CPS prepared by the Center for Economic Policy Research (CEPR). (5) The CPS is administered jointly by the US Census Bureau and the US Bureau of Labor Statistics (BLS) and is the primary source of labor force statistics for the US population. While the basic CPS is a monthly survey of a nationally representative sample of approximately 60,000 households, the ASEC supplement provides data from an additional questionnaire administered every March. Apart from the usual demographic and labor force data, the ASEC supplement provides a rich set of information on work experience, income, non-cash benefits, and migration. The CPS data are well suited for this study due to the availability of sizable immigrant population in them. Although the CPS does not track same individuals over the whole duration considered in this study, the repeated cross-sectional nature of the data provides opportunity to capture aggregate trends in entrepreneurship. (6)
The starting sample used in the current analysis includes data from 1994 to 2016. (7) To ensure that inference is based on states with meaningful immigrant population size, only states where immigrants make at least 5% of the total population in the pooled sample are considered for main analysis. (8) Following the literature, the sample is limited to labor force participants in non-farm households who are between the ages of 23 and 64. In total, after implementing a list-wise deletion, the pooled sample has annual observations on 1,361,196 individuals. Among them, 1,111,850 are natives and 249,346 are immigrants. (9) I make additional modifications for various sub-sample analyses as described later in the manuscript.
The outcome variable of interest in this analysis is the entrepreneurial propensity of natives. It is a binary variable indicating whether a native individual is an entrepreneur. Although, past empirical studies have considered all forms of self-employment as entrepreneurship (Blanchflower and Oswald, 1998), more recent studies have highlighted the difference between the incorporated and the unincorporated self-employment in the US context (Hipple, 2010; Olds, 2016; Levine and Rubinstein, 2017). (10) Therefore, I construct separate indicators for any self-employment, incorporated self-employment, and unincorporated self-employment as observed in the ASEC.
The key explanatory variable is the state-level supply of immigrant entrepreneurs, which is the number of immigrant entrepreneurs operating a business in a state in a particular year. For each state, this variable is constructed by counting the number of immigrants reporting self-employment as the longest-held job in a given year. (11) For distinct analysis of any self-employment, incorporated self-employment, and unincorporated self-employment, I construct separate measures for the overall supply of immigrant entrepreneurs, incorporated immigrant entrepreneurs, and unincorporated immigrant entrepreneurs. While constructing these state level aggregate measures, I use the same definition of self-employment in creating indicators for outcome variable. For the convenience of presenting regression coefficients, all supply of immigrant entrepreneurs measures are expressed in 100,000s in regression models.
In addition to the key predictor, the regression models control for individual and state characteristics potentially correlated with the outcome variables. The individual level controls include age, educational attainment, gender, marital status, race, number of children, and city residence status. (12) These variables are shown to be theoretically and empirically important determinants of self-employment (Robinson and Sexton, 1994; Zissimopoulos and Karoly, 2007; Simoes et al., 2015; Ghimire and Maclean, 2015; Bailey, 2017). The state level controls in main regression include state population (in millions), state-fixed effects, and year fixed effects. The state and year fixed effects respectively account for unobserved state and year level factors that may be correlated with the key explanatory variable. (13)
Theoretical foundation for this analysis is the conceptual framework of self-employment outlined in Borjas (1986).
(14) For each type of self-employment – that is, any self-employment, incorporated self-employment, and unincorporated self-employment – the baseline econometric model takes the form:
Under the assumptions that regressors in Eq. (4) are exogenous, parameter β1 estimates the impact of the supply of specific type of immigrant entrepreneurs on the specific type of entrepreneurial propensity of natives. For instance, when SelfEmployedist is the indicator for whether a native individual is self-employed in an incorporated business, a positive β1 implies that incorporated immigrant entrepreneurs crowd in natives into incorporated businesses. Similarly when SelfEmployedist represents self-employment in unincorporated business, a positive β1 implies that unincorporated immigrant entrepreneurs, on average, crowd in natives into unincorporated businesses.
The estimates of β1 obtained from Eq. (4) are unbiased and consistent only if the supply of immigrant entrepreneurs is uncorrelated with the error term conditional on the full set of controls. However, this assumption can be invalid for several reasons. First, if native individuals avoid or select states with large supply of immigrant entrepreneurs (endogenous sorting), the estimates from Eq. (4) can be biased and inconsistent. Second, it is unlikely that all micro and macro level determinants of native self-employment are accounted for in the model, so a potential omitted variable bias cannot be ruled out. Finally, endogeneity can result from reverse causality that runs from the outcome variable to the regressor of interest. To address these empirical concerns, I estimate Two Stage Least Squares (TSLS) models utilizing an instrumental variable described below.
In TSLS models, a suitable instrumental variable enables causal identification by acting as an exogenous source of variation in the endogenous regressor. Assuming monotonicity in its effect, an instrument must satisfy two conditions to ensure consistency of the estimates of β1. First, the instrument must have sufficient correlation with the supply of immigrant entrepreneurs after partialling out the effect of other covariates (the relevance requirement) and second, it should not be correlated with the error term ɛ in Eq. (4) after conditioning on other covariates (the exclusion restriction). Intuitively, we require an exogenous source of variation in the supply of immigrant entrepreneurs which does not affect native self-employment except through the channel of supply of immigrant entrepreneurs. Fortunately, the quasi experiment provided by the implementation of the State Children's Health Insurance Program (SCHIP) across states in the late 90s provides such variation.
To understand how SCHIP induces a plausibly exogenous variation in the supply of immigrant entrepreneurs, one needs to go back to the 1996 welfare reform. As the welfare program known as Aid to Families with Dependent Children (AFDC) received increasing criticism in the 80s and 90s for “disincentivizing work” and “promoting welfare dependence” among the beneficiaries, the US passed the Personal Responsibility and Work Opportunity Reconciliation Act (PRWORA) in 1996. Two most important goals of the Act were to encourage work among welfare recipients and achieve a significant decline in welfare caseloads (Clinton, 1996). To that end, PRWORA replaced AFDC program with the Temporary Assistance for Needy Families (TANF) and imposed stricter work requirements for welfare eligibility. Additionally, the Act banned immigrants who have been in the US for less than 5 years, henceforth newly arrived immigrants, from receiving federally funded means tested benefits such as TANF and Medicaid. In 1997, the Congress passed SCHIP to cover uninsured children living in low-income families that make too much to qualify for Medicaid but too little to afford private coverage. The program was rapidly implemented across states. By 2000, every state including the District of Columbia (DC) had some form of the SCHIP. The SCHIP promised a partnership between the federal and the state governments and gave states flexibility in designing their own eligibility requirements. Taking advantage of this autonomy, 15 states including the DC, henceforth “generous states,” chose to include newly arrived immigrants in their SCHIP. (16) But, newly arrived immigrants in other “less generous states” remained ineligible for all types/means of tested public health insurance. Due to the provision of the extra safety net, referred to as “generous SCHIP” hereafter, the supply of self-employed immigrants increased by up to 28% in those 15 states (Olds, 2016). The generous SCHIP increased the supply of immigrant entrepreneurs by acting through several mechanisms such as loosening liquidly constraint and reducing the risk associated with starting a business, a point I return to later in the manuscript. Because it seems unlikely that SCHIP coverage for immigrant children would directly impact the entrepreneurial propensities of the natives, the availability of generous SCHIP for immigrants makes a potentially good instrument for the supply of immigrant entrepreneurs. Specifically, the instrument takes the form of a binary variable that indicates the availability of generous SCHIP in a given state and a given year (GenSCHIPst). The information required to construct the instrument, that is, the information on dates of SCHIP implementation and the information on states choosing to cover the children of newly arrived immigrants, comes from Rosenbach et al. (2001) and Olds (2016) (see Table A1 in Appendix). Because the states implemented SCHIP at different times between 1997 and 2000, the policy provides within-state variation generated in different years.
There are several reasons for why the provision of SCHIP to newly arrived immigrants can increase the supply of immigrant entrepreneurs. First, in the US, adults are often compelled to work for large employers to ensure continued access to affordable insurance for themselves and their kids (Fairlie et al., 2011). Some of these adults may switch into self-employment when there is a guaranteed access to publicly funded children's health insurance. Second, public health insurance helps families to save on premiums that would otherwise be paid for private coverage. Savings accumulated over time because of public coverage may ease liquidity constraint, a commonly cited obstacle to business creation (Evans and Jovanovic, 1989; Fairlie and Krashinsky, 2012). Third, the supply of immigrant entrepreneurs may increase when adults in families without any insurance coverage, who had previously chosen to remain out of labor force for child care, decide to enter the labor force due to reduced risk of leaving a child at day care or with a family member. Nevertheless, the suitability of generous SCHIP (GenSCHIP) as an instrument depends on whether GenSCHIP meets both the relevance and the excludability criteria (Angrist and Pischke, 2008). I conduct several tests to address potential concerns related to these criteria in the following section.
I begin with a close examination of the summary statistics presented in Table 1. In the pooled sample that includes both the natives and the immigrants sampled during 1994–2016 period, the overall self-employment rate, defined as the proportion of self-employed individuals in non-agricultural labor force, is approximately 9.61%. Of the 9.61%, 6.06% are self-employed in unincorporated businesses and only 3.42% are self-employed in incorporated businesses. That a significantly smaller number of entrepreneurs chose to incorporate their businesses, in spite of a number of legal benefits including the advantage of limited liability, indicates that incorporated self-employed individuals may indeed be different from unincorporated self-employed in certain aspects. The third and fourth columns in Table 1 show that the ratio of incorporated to unincorporated self-employed individuals is similar across native and immigrant groups. In terms of demographic characteristics, the natives in the sample are slightly older, slightly more educated, significantly more white, and have fewer children in the family.
Summary statistics
| Sample | All | Natives | Immigrants |
|---|---|---|---|
| Outcome variables | |||
| Self-employed | 0.0961 | 0.0950 | 0.101 |
| Incorporated self-employed | 0.0342 | 0.0345 | 0.0330 |
| Unincorporated self-employed | 0.0619 | 0.0606 | 0.0684 |
| Control variables | |||
| Age | 41.28 | 41.41 | 40.66 |
| Female | 0.471 | 0.481 | 0.422 |
| Less than high school | 0.0815 | 0.0494 | 0.239 |
| High school | 0.295 | 0.300 | 0.271 |
| Some college | 0.285 | 0.306 | 0.179 |
| College degree | 0.224 | 0.231 | 0.192 |
| Advanced degree | 0.114 | 0.113 | 0.119 |
| White | 0.677 | 0.776 | 0.197 |
| Black | 0.108 | 0.113 | 0.0838 |
| Other race | 0.214 | 0.111 | 0.719 |
| Hispanic | 0.147 | 0.0817 | 0.468 |
| Number of family members under 18 | 0.807 | 0.765 | 1.011 |
| Lives in a metropolitan | 0.852 | 0.832 | 0.947 |
| State population (millions) | 7.661 | 7.124 | 1.029 |
| Observations | 1,361,196 | 1,111,850 | 249,346 |
Note: Data span 1994–2016 from the ASEC of the CPS. All foreign-born individuals are categorized as immigrants. CPS sample weights applied.
ASEC, Annual Social and Economic Supplement; CPS, Current Population Survey.
Table 2 presents summary characteristics of the self-employed natives and self-employed immigrants separated by self-employment types. The statistics demonstrate that incorporated entrepreneurs differ from the unincorporated in various ways. For example, the incorporated self-employed individuals are, on average, older – therefore, with potentially longer labor market experience – and more educated than the unincorporated self-employed. Similarly, incorporated self-employed are more likely to be married, have more children, and are more likely to live in metropolitan areas than their unincorporated counterparts. Women and minorities (Blacks and Hispanics) have a better representation in unincorporated than incorporated businesses. These differences are reflected within both native and immigrant groups and further support the unique treatment of the two types of self-employment.
Summary statistics: incorporated vs. unincorporated
| Sample | Natives | Immigrants | ||
|---|---|---|---|---|
| Incorp. | Unincorp. | Incorp. | Unincorp. | |
| Age | 46.33 | 44.91 | 45.39 | 43.73 |
| Female | 0.278 | 0.402 | 0.285 | 0.358 |
| Less than high school | 0.0265 | 0.0633 | 0.0787 | 0.243 |
| High school | 0.229 | 0.301 | 0.247 | 0.303 |
| Some college | 0.274 | 0.301 | 0.179 | 0.175 |
| College degree | 0.290 | 0.210 | 0.285 | 0.182 |
| Advanced degree | 0.181 | 0.125 | 0.210 | 0.0978 |
| White | 0.902 | 0.854 | 0.374 | 0.253 |
| Black | 0.0402 | 0.0614 | 0.0560 | 0.0591 |
| Hispanic | 0.0358 | 0.0567 | 0.238 | 0.450 |
| Number of family members under 18 | 0.851 | 0.803 | 1.021 | 1.028 |
| Lives in a metropolitan city | 0.853 | 0.772 | 0.962 | 0.943 |
| Observations | 39,007 | 67,829 | 7,846 | 16,518 |
Note: Data span 1994–2016 from the ASEC of the CPS. All foreign-born individuals are categorized as immigrants. CPS sample weights applied.
ASEC, Annual Social and Economic Supplement; CPS, Current Population Survey.
Selected results generated in the baseline model are presented in Table 3. These estimates are obtained from estimating Eq. (4) by Ordinary Least Squares. Only coefficients on immigrant entrepreneurs (ImmiEnt) are shown for brevity (see Table A2 in Appendix for coefficients on full set of controls). All models control for individual characteristics, state level characteristics, state fixed effects, and year fixed effects. All coefficients in Table 3 are positive and statistically significant at conventional levels. Specifically, estimates in second column suggest that an increase of 100,000 self-employed immigrants (of any type) increases the entrepreneurial propensity of natives, on average, by 0.0035 percentage points. Given that only approximately 9.5% of natives are self-employed, it amounts to a 3.6% increase in the supply of native entrepreneurs. Similarly the third column shows that an increase of 100,000 incorporated immigrants increases the native propensity of incorporated self-employment by 0.0064 percentage points. Finally, the fourth column in Table 3 shows that an increase of 100,000 unincorporated immigrants increases the native propensity of unincorporated self-employment by 0.0025 percentage points. Overall, Table 3 indicates positive effect of immigrant entrepreneurship on native entrepreneurial propensities. However, as discussed earlier in the manuscript, the LPM estimates are likely to be biased due to endogeneity. Therefore, I report results from the preferred instrumental variable model in the following subsection.
Impact of immigrant entrepreneurs on entrepreneurial propensities of natives: LPM
| Outcome | Any self-employment | Incorporated self-employment | Unincorporated self-employment |
|---|---|---|---|
| Entrepreneurial propensity of natives: | 0.0950 | 0.0345 | 0.0606 |
| Immigrant entrepreneurs | 0.0035** (0.0014) | 0.0064*** (0.0017) | 0.0025* (0.0014) |
| Observations | 1,111,863 | 1,111,863 | 1,111,863 |
Note: Data span 1994–2016 from the ASEC of the CPS. Dependent variable is binary indicator for being an entrepreneur. The supply of immigrant entrepreneurs is expressed in 100,000s. All models control for demographic characteristics (age, marital status, education, race, number of children, and city residence status), state population (millions), state fixed effects, and year fixed effects. Robust standard errors are reported in parentheses.
ASEC, Annual Social and Economic Supplement; CPS, Current Population Survey; LPM, linear probability model.
p < 0.10.
p < 0.05.
p < 0.01.
First, I conduct tests to check if the instrument is sufficiently correlated with the endogenous regressor. To this end, I plot supply of immigrant entrepreneurs in generous and less generous states for several years before and after the policy implementation (see Figure 1). While the data for incorporated self-employment are quite noisy, the post SCHIP bump in immigrant entrepreneurs is clear in the case of all types and more so in the case of unincorporated type. In addition to comparing the overall trends in generous and less generous states, I also contrast raw trends for various demographic groups that are likely to receive a differential impact from SCHIP. For example, since SCHIP benefits are related to childbearing and childcare, one may expect to see a bigger impact on immigrants with no children than on those with children. Similarly, a bigger impact may be expected, ex ante, for younger immigrants (compared to older who are past the reproductive age). (17) A differential impact is also likely in terms of immigrants’ length of stay in the US as SCHIP benefits in generous and less generous states technically differed only for those who have been in the country for less than 5 years. These trends are presented side by side in Figure 2. It is reassuring to see the expected differential impacts, although a bit less pronounced in the young versus old category than along other two dimensions.

Pre and Post Policy Trends in the Supply of Immigrant Entrepreneurs.
Notes: Data span 1994–2016 from the ASEC of the CPS. Trends are for the supply of immigrant entrepreneurs immediately prior to and after the implementation of SCHIP. Only 4 years prior to and after the policy implementation are shown in figure. See text for further details. ASEC, Annual Social and Economic Supplement; CPS, Current Population Survey; SCHIP, State Children's Health Insurance Program.

Pre- and Post-Policy Trends in the Supply of Immigrant Entrepreneurs with Various Attributes.
Notes: Data span 1994–2016 from the ASEC of the CPS. Trends are for the supply of immigrant entrepreneurs immediately prior to and after the implementation of SCHIP. Only 4 years prior to and after the policy implementation are shown in figure. See text for further details. ASEC, Annual Social and Economic Supplement; CPS, Current Population Survey; SCHIP, State Children's Health Insurance Program.
Next, I estimate first stage regressions for each entrepreneurship type. As the instrument varies only from 1997 through 2008, the analysis sample for IV estimates spans the period from 1997 to 2008. Estimates from the first stage regressions of the TSLS models, presented in Table 4, show that the instrument (generous SCHIP) is strongly correlated with the supply of all three measures of the supply of immigrant entrepreneurs. (18) After controlling for other independent variables, the provision of SCHIP coverage for the children of newly arrived immigrants is associated with an increase of any type immigrant entrepreneurs by 11,600 (recall that the immigrant entrepreneurs are recorded in 100,000s), incorporated immigrant entrepreneurs by 4,930, and unincorporated immigrant entrepreneurs by 6,680. These effects are all significant at 1% level. The F-statistics for joint significance of excluded instruments (only one this this case) in the first stage for all first stage regressions are much larger than the generally accepted critical values of 10. Thus I conclude that the instrument is sufficiently strong (Stock et al., 2005).
First-stage regressions: impact of generous SCHIP on supply of immigrant entrepreneurs
| Outcome | Any self-employment | Incorporated self-employment | Unincorporated self-employment |
|---|---|---|---|
| Average supply of immigrant entrepreneurs: | 144,200 | 41,800 | 102,400 |
| Generous SCHIP | 0.1160*** (0.0025) | 0.0493*** (0.0009) | 0.0668*** (0.0018) |
| First stage F-stat | 2,101.30 | 2,697.76 | 1,374.92 |
| Observations | 609,365 | 609,365 | 609,365 |
Note: Data span 1997–2008 from the ASEC of the CPS. Dependent variable is supply of immigrant entrepreneur (in 100,000s). All models control for demographic characteristics (age, marital status, education, race, number of children, and city residence status), state population (millions), state fixed effects, and year fixed effects. Robust standard errors are reported in parentheses.
ASEC, Annual Social and Economic Supplement; CPS, Current Population Survey; SCHIP, State Children's Health Insurance Program.
p < 0.10.
p < 0.05.
p < 0.01.
The first stage estimates imply an increase of 8.04%, 11.79%, and 6.52% in the supply of any type, incorporated, and unincorporated immigrant entrepreneurs respectively. (19) The effect sizes obtained here are somewhat smaller but broadly consistent with results presented by Olds (2016). Other estimates of the relationship between health insurance coverage and self-employment include DeCicca (2010) who finds that the Individual Health Coverage Program of the state of New Jersey increased self-employment rate by 14 to 20% and Fairlie et al. (2011) who find that, for male workers, health insurance related entrepreneurship lock is just over 25%. In light of the large effects found in previous studies, it is not surprising that generous SCHIP led to a nontrivial 8% increase in immigrant entrepreneurs in generous states. Note that, even though the variation in generous SCHIP was technically applicable only for newly arrived immigrants, in practice many immigrants who had been in the country for more than 5 years may have been affected by the policy. See Fix (1999) for details on how 1996 welfare reform affected unintended groups of immigrants due to so called “chilling effects.” (20)
Because the error itself is unobserved, there are no straight forward econometric tests to establish that the chosen instrument is uncorrelated with the error term. Nevertheless, we can check if the instrument affects the outcome variable via channels other than the endogenous regressor (Angrist and Pischke, 2008). One potential problem results from the fact that native individuals might engage in endogenous sorting behavior in which they move to or away from generous states. This happens if states’ generosity toward immigrants translates into more or less generosity toward natives. For example, generous states covering newly arrived immigrants may have generous income eligibility requirements making these states more attractive for natives at the margin. On the contrary, some states providing coverage for newly arrived immigrants may be offsetting the funds by providing coverage to fewer natives by having more stringent income eligibility guidelines. To examine if the generous states differ significantly from less generous states in terms of generosity toward natives, I look at the SCHIP eligibility guidelines across states. States provide SCHIP coverage for children if the family income is below a certain percent of Federal Poverty Line (FPL). During the period under consideration, the guidelines ranged from 140% of FPL to 350% of FPL (Ross et al., 2007). To see the correlation between coverage for immigrants and overall generosity of SCHIP, I first categorize each state into a quintile in terms of eligibility guidelines, and generate an indicator variable to denote if a state falls in a particular quintile ranging from 1 to 5. The correlation (Pearson's r) between this generosity indicator and provision of coverage for newly arrived immigrants is weakly positive at 0.28. This indicates that while overall state generosity is somewhat related with immigrant coverage, it does not rise to the level of a major concern.
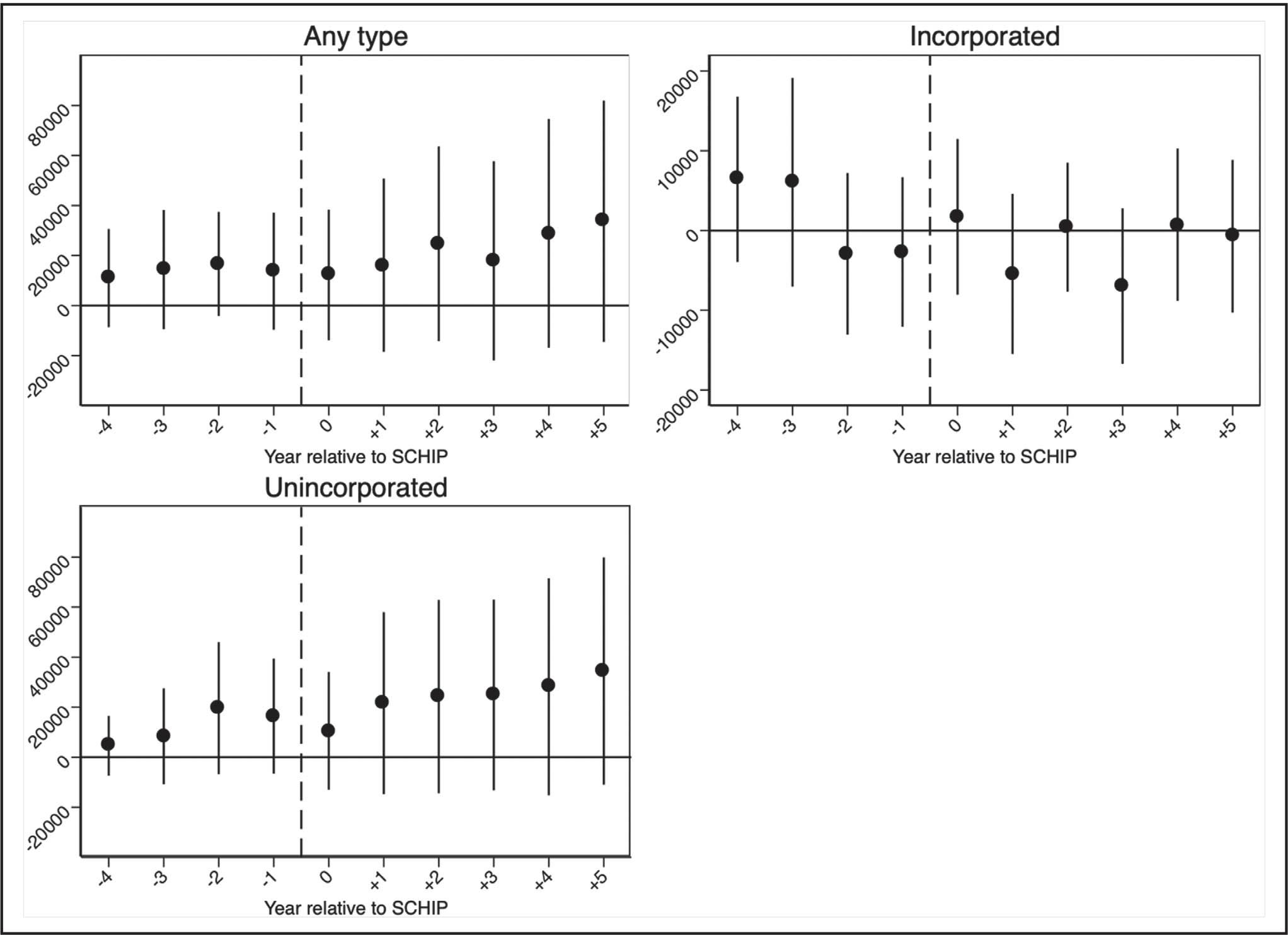
A common approach to test for policy endogeneity involves conducting an event study to check the impact of policy a few leads before and a few lags after the implementation period (Angrist and Pischke, 2008). A statistically significant impact of the policy several periods before the implementation is usually considered a sign of policy endogeneity. I report the results from three event study models estimated to obtain the effect of SCHIP on the supply of immigrant entrepreneurs in Figure 3. (21) Since there are no statistically significant leads for any self-employment type, it indicates that the policy in question is conditionally exogenous.

Event Study to Test Policy Endogeneity.
Notes: Data span 1994–2016 from the ASEC of the CPS. Observations before 5 years of SCHIP are added to “−5” bin and those beyond 5 years post SCHIP are included in the “+5” bin. Then “−5” is dropped as the omitted category. All additional controls included in the baseline regression are retained. Estimates with 95% confidential interval are for the effect of generous SCHIP on the supply of immigrant entrepreneurs. See text for further detail. ASEC, Annual Social and Economic Supplement; CPS, Current Population Survey; SCHIP, State Children's Health Insurance Program.
In Table 5, I report the second stage IV estimates of the impact of supply of immigrant entrepreneurs on the entrepreneurial propensities of natives. (22) The TSLS estimates indicate that the impact of immigrant entrepreneurs on native entrepreneurial propensities is indistinguishable from zero. The estimated coefficients are positive for any type and unincorporated type, but negative for incorporated type. As is usually the case with TSLS, the effect sizes implied by the IV estimates are larger than OLS estimates. (23) However, none of the coefficients are statistically significant at conventional levels and the implied effect sizes are still very modest. For example, the coefficient estimate for any self-employment type implies that an additional 100,000 immigrants – which is equivalent to an increase of approximately 70% from the average supply of 144,200 – would increase self-employment propensity of natives by 1.09 percentage points, or 11.47%. Taken together, the estimates in Table 5 suggest that immigrant entrepreneurs, on the balance, neither crowd out nor crowd in natives.
Impact of immigrant entrepreneurs on entrepreneurial propensities of natives: TSLS Model
| Outcome | Any self-employment | Incorporated self-employment | Unincorporated self-employment |
|---|---|---|---|
| Entrepreneurial propensity of natives | 0.0950 | 0.0345 | 0.0606 |
| Immigrant entrepreneurs | 0.0109 (0.0470) | −0.0491 (0.0426) | 0.1268 (0.1161) |
| Observations | 609,365 | 609,365 | 609,365 |
Note: Data span 1997–2008 from the ASEC of the CPS. Dependent variable is binary indicator for being an entrepreneur. The supply of immigrant entrepreneurs is expressed in 100,000s. All models control for demographic characteristics (age, marital status, education, race, number of children, and city residence status), state population (millions), state fixed effects, and year fixed effects. Robust standard errors are reported in parentheses.
ASEC, Annual Social and Economic Supplement; CPS, Current Population Survey; TSLS, two stage least squares.
p < 0.10.
p < 0.05.
p < 0.01.
I test sensitivity of the results to five different modeling choices. First, I include in the regression model the state specific linear trends apart from the main set of controls described in Section 3. Second, I estimate Eq. (4) using Weighted TSLS by applying CPS sample weights. Third, I check whether adjusting standard errors for clustering within states would change the results of hypothesis testing. Fourth, I estimate Eq. (4) using natural log of the key explanatory variable. Fifth, I estimate Eq. (4) using an extended sample that includes data from all 51 states including DC. None of these variations, presented in Table 6, yield results qualitatively different from those reported in Table 5.
Sensitivity to modeling and sampling choices: TSLS estimates
| Outcome | Any self-employment | Incorporated self-employment | Unincorporated self-employment |
|---|---|---|---|
| Entrepreneurial propensity of natives: | 0.0950 | 0.0345 | 0.0606 |
| State specific linear trends | |||
| Immigrant entrepreneurs | 0.0080 (0.0161) | 0.0875 (0.0993) | −0.0005 (0.0150) |
| Observations | 609,352 | 609,352 | 609,352 |
| Weighted least squares | |||
| Immigrant entrepreneurs | 0.0130 (0.0667) | −0.0320 (0.0407) | 1.2307 (1.9806) |
| Observations | 609,365 | 609,365 | 609,365 |
| Clustered standard errors | |||
| Immigrant entrepreneurs | 0.0109 (0.0611) | –0.0491 (0.1231) | 0.1268 (0.3590) |
| Observations | 609,365 | 609,365 | 609,365 |
| Logged explanatory variable | |||
| Immigrant entrepreneurs | −0.0057 (0.1044) | 0.0128 (0.0098) | −0.0588 (0.0634) |
| Observations | 605,156 | 605,156 | 605,156 |
| Extended sample | |||
| Immigrant entrepreneurs | −0.0014 (0.0984) | −0.0537 (0.0479) | −0.2859 (0.3718) |
| Observations | 806,462 | 806,462 | 806,462 |
Note: Data span 1997–2008 from the ASEC of the CPS. Dependent variable is binary indicator for being an entrepreneur. The supply of immigrant entrepreneurs is expressed in 100,000s. All models control for demographic characteristics (age, marital status, education, race, number of children, and city residence status), state population (millions), state fixed effects, and year fixed effects. Except explicitly stated, robust standard errors are reported in parentheses.
ASEC, Annual Social and Economic Supplement; CPS, Current Population Survey; TSLS, two stage least squares.
p < 0.10.
p < 0.05.
p < 0.01.
Previous literature suggests heterogeneity in the impact of immigrant entrepreneurship across different groups of natives. For example, while Fairlie and Meyer (1997) suggest that immigrants have no effect on self-employment propensity of Blacks, Fairlie and Meyer (2003) suggest immigrants may crowd out non-Black natives from self-employment. To see if this is the case, I separately estimate the impact of immigrant entrepreneurs on entrepreneurial propensities of Blacks and Whites. Results are presented in Table 7. (24) The second column in the upper panel of the Table 7 shows that an increase of 100,000 in any type immigrant entrepreneurs increases the entrepreneurial propensity of Blacks by 9.24 percentage points. (25) Similarly, estimate in the fourth column shows that an increase of unincorporated immigrant entrepreneurs by 100,000 increases Blacks’ unincorporated self-employment propensity by 12.60 percentage points. As both of these estimates are only statistically significant at 10% level, I do not wish to overemphasize the importance of these results. Further research is needed to check robustness of these findings. There is no evidence to reject the null of no effect in the case of incorporated entrepreneurship for Blacks. As no coefficients in the lower panel rise to the level of statistical significance, the null of no effect on entrepreneurship of Whites cannot be rejected.
Heterogeneity in the impact of immigrant entrepreneurs across races of natives: TSLS estimates
| Outcome | Any self-employment | Incorporated self-employment | Unincorporated self-employment |
|---|---|---|---|
| Blacks | |||
| Entrepreneurial propensity of natives: | 0.0469 | 0.0126 | 0.0343 |
| Immigrant entrepreneurs | 0.0924* (0.0519) | 0.0217 (0.0843) | 0.1260* (0.0662) |
| First stage F stat | 442.68 | 157.00 | 369.79 |
| Observations | 64,163 | 64,163 | 64,163 |
| Whites | |||
| Entrepreneurial propensity of natives: | 0.1121 | 0.0414 | 0.0706 |
| Immigrant entrepreneurs | 0.0434 (0.1014) | −0.0432 (0.0729) | 0.5106 (0.5606) |
| First stage F stat | 280.89 | 731.16 | 12.25 |
| Observations | 461,397 | 461,397 | 461,397 |
Note: Data span 1997–2008 from the ASEC of the CPS. Dependent variable is binary indicator for being an entrepreneur. The supply of immigrant entrepreneurs is expressed in 100,000s. All models control for demographic characteristics (age, marital status, education, race, number of children, and city residence status), state population (millions), state fixed effects, and year fixed effects. Robust standard errors are reported in parentheses.
ASEC, Annual Social and Economic Supplement; CPS, Current Population Survey; TSLS, two stage least squares.
p < 0.10.
p < 0.05.
p < 0.01.
In addition, I investigate heterogeneity of immigrant entrepreneurship across skill levels of natives. For this exercise, I define all natives with at least a college degree as high skilled individuals and those without a college degree as low skilled individuals. As presented in Tables A9–A12 in Appendix, there is no evidence to reject the null of no effect in any of the two groups of natives.
Another dimension along which a differential impact may be expected is the country of origin of the parents of natives. Since natives with at least one foreign born parent (often referred to as the second generation immigrants in the migration literature) are likely to have a distinct social capital, international networks, and exposure to ethnic enclaves compared to natives without any foreign born parents, there is a potential for a differential impact of immigrant entrepreneurs on these two groups. I check for heterogeneity across these groups and present results in Table A13 in Appendix. Interestingly, all coefficient estimates for natives with at least one parent of foreign origin are negative although none statistically significant. For natives with no foreign born parents, only one of the three estimates is negative while none is statistically significant. While we cannot rule out the null hypothesis of no differential impact form these estimates, the signs of coefficients are consistent with the idea that immigrant entrepreneurs may have more substitutability with respect to natives who are second generation immigrants than with natives who have a longer ancestry in the US. (26)
Immigrant entrepreneurs in the US vary by national origin in terms of resource utilization, firm size, firm type, and markets served (Min & Bozorgmehr, 2000; Saxenian, 2002; Hart & Acs, 2011). An obvious question that emerges from this observation is whether there exists heterogeneity in the impact of immigrant entrepreneurs with different national origin. Thus, I explore the distinct impact of the four largest ethnic immigrant groups in the US – Mexicans (16.8%), Indians (4.17%), Chinese (3.25%), and Filipinos (2.68%) – on native entrepreneurial propensities. (27) Based on the second stage estimates from IV models, the null hypothesis that there is no effect of any of the four ethnic groups on native self-employment cannot be rejected. Unfortunately, the instrument – generous SCHIP–does not pass the strength test in some of these regressions. Hence these results are not credible enough to conclude either way and are not reported here. I encounter the same issue of weak instruments when the sample is divided across industries. In unreported regressions, I estimate the effect of immigrant entrepreneurs in top four industries by immigrant entrepreneur participation: trade (18.8%), construction (15.9%), manufacturing (8.6%), and transport (5.7%). There is no evidence for crowd in or crowd out in any of the four industries but one cannot be confident regarding these findings due to weak instrument issue. (28)
Migration literature across disciplines discusses immigrant entrepreneurship as one of many benefits of immigration. However, little work has been done to establish a causal link, if any, between immigrant entrepreneurship and native entrepreneurship. Exact nature and magnitude of this effect has important implications for not only the discourse related to the impact of immigration on welfare of natives but also on the national and local policies for entrepreneurship development. This study has exploited a plausibly exogenous policy variation to examine the causal impact of a change in supply of immigrant entrepreneurs on native entrepreneurial propensity. Specifically, the analysis takes advantage of a feature of SCHIP that increased the number of immigrant entrepreneurs in select states and not in others. In contrast to what is suggested by previous research including Fairlie and Meyer (2003), analysis in this study does not yield any evidence to suggest that immigrant entrepreneurs, on the balance, displace native entrepreneurs. On the contrary, I find some indication that immigrant entrepreneurs may help increase business ownership rates among Blacks, mainly driven by “crowding-in” effects in unincorporated self-employment. The latter finding needs further investigating, but is consistent with the well-established idea that immigrants often capitalize on business opportunities within own ethnic markets and non-ethnic minority markets before starting to compete with more mainstream businesses (Yoon, 1995). Additional subsample analyses exploring the potential impact of immigrant entrepreneurs on low-skilled versus high-skilled natives and natives with at least one foreign born parent versus those without also yield null results.
Several questions emerge from the analysis in this paper. For example, what effect, if any, do immigrant entrepreneurs have on (i) earnings of self-employed natives, (ii) employment levels of natives, and (iii) wage earnings of employed natives. Another equally important question is whether self-employed immigrants are overall economically better off than employed immigrants. Implications for overall impact of immigration on welfare of natives, and by extension the specific guidance with respect to immigration policies, depend on answers to these questions. An in-depth investigation of these questions is left for future research. Overall the findings of this paper are more aligned with theories: (i) that portray immigrants as complements to natives in the self-employment market and (ii) those that view entrepreneurship as a creative process which leads to formation of innovative business opportunities.
Policywise, results of this paper, when viewed in conjunction with prior findings, point toward the benefit of attracting immigrant entrepreneurs, especially as they seem to promote entrepreneurship among minorities. Although many low skilled immigrants enter entrepreneurship as a result of weaker labor market prospects and therefore may not necessarily be the most sought out examples from the entrepreneurship development perspective, many in the high tech sector create businesses that are at par with native-owned businesses (Kerr & Kerr, 2020). If immigrant-owned businesses are indeed generating employment, increasing productivity, and enhancing international engagement without displacing natives from similar opportunities, promoting entrepreneurship among current immigrants and attracting potential entrepreneurs from abroad becomes a no-brainer. In fact, several immigrant receiving countries have already implemented immigration policies that provide preferential treatment to potential business owners. For example, Canada, Australia, and the United Kingdom provide special visas by the name of “start up visa,” “entrepreneur visa,” and “business talent visa,” respectively, and the US provides “green card through investment” under the employment-based category EB-5. The US also has provision to allow permanent residence to potential entrepreneurs under categories like “national interest waiver” and “exceptional ability in business” under the employment-based category EB-1. However, strict quantity limits, long backlogs, and frequent administrative changes severely hamper the potential benefits of these policies (Bier, 2020). Based on the potential benefits of immigrant entrepreneurship cited in prior literature and the absence of any displacement effect on natives, policy makers should work to expand entrepreneurship visas and eliminate administrative hurdles to foster a business friendly environment.
Many immigrant receiving countries have implemented immigration policies that provide preferential treatment to potential business owners. While Canada, Australia, and the United Kingdom explicitly provide special visas by the name of “start up visa,” “entrepreneur visa,” and “business talent visa,” respectively, the US provides “green card through investment” and also has provision to allow permanent residence to potential entrepreneurs under categories like “national interest waiver” and “exceptional ability in business.”
For example, if immigrants create high quality businesses that make a net positive contribution to the economy even after accounting for potential losses due to crowding out, it may still be beneficial to promote entrepreneurship among the immigrants. However if immigrant-owned businesses are not necessarily better than those they displace, then steps to promote entrepreneurship among the immigrants or to attract immigrant entrepreneurs from abroad would be unwarranted.
See Aliaga-Isla and Rialp (2013) for a systematic review of literature in immigrant entrepreneurship.
See Kerr and Kerr (2011) for a survey of recent empirical studies on the economic impacts of immigration.
The extracts are publicly available at: http://ceprdata.org/cps-uniform-data-extracts/march-cps-supplement/march-cps-data/
The CPS data have their own share of limitations, such as having a considerable amount of noise in identifying occupational and industry switches and providing a poor measure of annual occupational mobility (Kambourov and Manovskii, 2013). However, they have been extensively used in the analysis of the US labor market, including topics such as the impact of immigration on wages of natives, the impact of immigration on self-employment of natives, and the state of entrepreneurship in the United States (Fairlie and Meyer, 2003; Orrenius and Zavodny, 2007; Lee and Tomohara, 2008; Chassamboulli and Palivos, 2014; Levine and Rubinstein, 2017).
No CPS data before 1994 can be used as the question identifying immigrant status was asked starting this year.
Only 35 US states exceed this threshold. However in robustness check, I consider an extended sample that includes all states. Including only states where immigrants made at least five percent of population in the year 1994 does not change results.
All foreign-born individuals are categorized as immigrants.
Incorporating a business protects owners from the business liabilities at the cost of higher registration fees, extra paper work, and usually more complex legal compliance requirements. The higher cost associated with starting and maintaining an incorporated business works as a sorting mechanism that is likely to attract individuals more suited to succeed as entrepreneurs. As a result, the incorporated self-employed individuals not only differ from the unincorporated self-employed in a wide range of personal characteristics such as ability, risk aversion, parental characteristics, teenage experience, etc. but also earn significantly different payoffs in the labor market (Levine and Rubinstein, 2017).
One concern with the use of raw numbers is that the effect of an additional immigrant entrepreneur in a populous state such as California could be very different from that of one more immigrant entrepreneur in a sparsely populated state like Wyoming. To address this issue, I control for state population in all regressions and check robustness of the results by using logarithm of the raw numbers (see Table 6) and to using entrepreneurship rates (see Table A15 in Appendix).
Education is coded categorically to reflect less than high school, high school, some college, college degree, and advanced degree – “less than high school” being the omitted category in all regressions. Race is coded as non-hispanic white, non-hispanic Black, hispanic, and other – “other” as the omitted category in all regressions.
I do not control for state unemployment rates and/or GDP measures as they are likely “bad controls” in current setting since these variables are potential outcomes of the key independent variable (Angrist and Pischke, 2008).
See Section 2.2 for details.
Note that a variation in the supply of immigrant entrepreneurs at the level of Metropolitan Statistical Areas (MSAs) identified in the CPS would be preferable to state level variation. However, some MSAs expand to multiple states thereby making it difficult to exploit the policy instrument described later in the manuscript.
Information on dates of SCHIP implementation and on whether states covered newly arrived immigrants is presented in Table A1 in Appendix. The generous states also provided Medicaid coverage to a select group of newly arrived adult immigrants who met eligibility criteria based on disability, age, etc. (Fortuny and Chaudry, 2011). In 2009, an amendment to the Children's Health Insurance Program Reauthorization Act (CHIPRA) allowed all states to provide medical coverage to lawfully present pregnant women and children without a waiting period.
Immigrants more than 40 years old are categorized as old.
The first stage estimates show a strong impact of generous SCHIP on the “stock” of immigrant entrepreneurs. As the ASEC includes information on self-employment status during the time of survey and one year prior to that, I construct two separate “flow” measures of immigrant entrepreneurship-the number and the proportion of immigrants entering entrepreneurship every year – using the method outlined in Abramowitz, Dillender, et al. (2017). Then, I check the impact of SCHIP on these measures using the exact controls used in the first stage regression. The results presented in Table A16 in Appendix show that SCHIP had a significant positive impact on immigrant's entry into entrepreneurship.
Besides entry into entrepreneurship, immigrant entrepreneurs moving across states chasing better benefits may potentially add to the overall increase in supply of immigrant entrepreneurs in generous states. I check this possibility using information on respondents’ migration history contained in the ASEC. Results from an event study for the impact of generous SCHIP on annual inflows of immigrants are presented in Figure A1. While there is some sign of increased arrivals in fourth and fifth period post policy, no coefficient estimate is statistically significant. This indicates that inter-state migration of immigrants, while not entirely implausible, is not an important determinant of supply of immigrants in the current setting. These results are consistent with the results in Frey et al. (1996) who find that “state welfare benefits exert only minimal effects on the interstate migration” and De Jong et al. (2005) who conclude that “unemployment rate determines migration more than less stringent welfare policies.” An additional check for potential effect of inter-state migration involves directly controlling for immigrant population in regression models. Accordingly, I estimate main regressions with separate controls for immigrant and native population (as opposed to the total population used in baseline regressions) and present results in Table A17 in Appendix. The results do not change qualitatively.
Observations before 5 years of SCHIP are added to “−5” bin and those beyond 5 years post SCHIP are included in the “+5” bin. Then, “−5” is dropped as the omitted category. All additional controls included in the baseline regression are retained.
IV estimates tend to be larger and less precise than OLS as the former produces the so called Local Average Treatment Effect applicable to only “compliers” (Angrist and Pischke, 2008). Intuitively, the TSLS estimates are for the effect of marginal immigrants who were induced into entrepreneurship as a result of generous SCHIP. Therefore, one should be cautious in generalizing these effects.
Recall that this is the effect of increasing the supply of immigrant entrepreneurs by almost 70%.
Yet another dimension along which there may be heterogeneous impact of immigrant entrepreneurs is natives’ wealth. Since liquidity constraint plays an important role in business creation, it would be interesting to see if immigrant entrepreneurship would have distinct impact on natives with varying levels of net worth (Fairlie and Krashinsky, 2012). Unfortunately, despite being an excellent source of data on respondents’ income, ASEC lacks data on individual's net worth.
Based on author's calculation using a pooled sample of 23–64 year old individuals surveyed by CPS from 1994–2016.
That the instrument is not strong enough when looking at only the top four groups by national origin or by industry indicates that an important chunk of the variation in the supply of immigrant entrepreneurs is coming from other groups.