

Figure 1:

Figure 2:

Figure 3:

Figure 4:

Figure 5:

Figure 6:

Figure 7:

Figure 8:

Figure 9:

Figure 10:

Figure 11:

Figure 12:

Figure 13:

Figure 14:

Figure 15:

Figure 16:

Figure 17:

Figure 18:

Figure 19:

Figure 20:

Figure 21:

Figure 22:

Figure 23:

Figure 24:

Figure 25:

Figure 26:

Figure 27:

Figure 28:

Figure 29:

Figure 30:

T-test analysis based on the BraTS 2020 dataset
| Methods | T-test analysis | |||||||
|---|---|---|---|---|---|---|---|---|
| Accuracy | Precision | Recall | F1-score | |||||
| p-value | T-statistic | p-value | T-statistic | p-value | T-statistic | p-value | T-statistic | |
| EDN-SVM | 0.12 | 2.20 | 0.10 | 2.39 | 0.16 | 1.87 | 0.13 | 2.11 |
| Dense-CNN | 0.09 | 2.42 | 0.09 | 2.53 | 0.12 | 2.19 | 0.10 | 2.36 |
| CJHBA-DRN | 0.11 | 2.21 | 0.11 | 2.27 | 0.12 | 2.13 | 0.12 | 2.19 |
| PatchResNet | 0.11 | 2.24 | 0.12 | 2.14 | 0.10 | 2.40 | 0.11 | 2.28 |
| BA-MCBM | 0.13 | 2.11 | 0.11 | 2.25 | 0.18 | 1.76 | 0.13 | 2.04 |
| 2D-CNN-CAE | 0.13 | 2.07 | 0.11 | 2.22 | 0.19 | 1.70 | 0.14 | 2.00 |
| DE-MCBM | 0.14 | 2.02 | 0.13 | 2.11 | 0.16 | 1.86 | 0.14 | 1.98 |
| SSA-DTCBiNet | 0.12 | 2.20 | 0.11 | 2.22 | 0.12 | 2.16 | 0.12 | 2.19 |
| SPO-MCBM | 0.11 | 2.21 | 0.12 | 2.17 | 0.11 | 2.28 | 0.11 | 2.22 |
| SEnO-DTCBiNet | 0.08 | 2.58 | 0.11 | 2.24 | 0.06 | 3.00 | 0.07 | 2.71 |
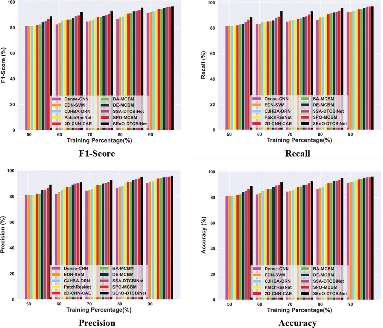
Results of the SEnO-DTCBiNet and baseline models based on training percentage
| Methods/metrics | DE-MCBM | Patch ResNet | EDN-SVM | Dense-CNN | 2D-CNN-CAE | CJHBA-DRN | BA-MCBM | SSA-DTCBiNet | SPO-MCBM | SEnO-DTCBiNet | |
|---|---|---|---|---|---|---|---|---|---|---|---|
| BraTS 2020 dataset | Precision (%) | 91.11 | 87.90 | 85.33 | 83.42 | 89.36 | 87.33 | 90.22 | 90.67 | 95.49 | 97.30 |
| Recall (%) | 96.24 | 93.73 | 92.92 | 91.90 | 95.48 | 93.37 | 96.07 | 96.15 | 97.77 | 97.88 | |
| Accuracy (%) | 93.67 | 89.89 | 87.40 | 86.19 | 90.72 | 88.81 | 91.24 | 92.46 | 96.53 | 97.17 | |
| F1-Score (%) | 93.61 | 90.72 | 88.96 | 87.45 | 92.32 | 90.25 | 93.05 | 93.33 | 96.62 | 97.25 | |
| BT dataset | Precision (%) | 94.39 | 89.04 | 86.73 | 85.09 | 90.12 | 86.74 | 90.57 | 95.55 | 96.71 | 96.86 |
| Recall (%) | 96.15 | 93.14 | 92.51 | 91.74 | 94.74 | 92.97 | 95.83 | 97.33 | 98.52 | 98.72 | |
| Accuracy (%) | 94.30 | 91.35 | 89.05 | 88.57 | 91.78 | 91.13 | 91.82 | 96.11 | 97.91 | 98.48 | |
| F1-Score (%) | 95.263 | 91.05 | 89.53 | 88.29 | 92.37 | 89.75 | 93.128 | 96.43 | 97.61 | 97.98 | |
| BraTS 2018 dataset | Precision (%) | 93.14 | 91.65 | 89.95 | 89.33 | 92.76 | 90.09 | 93.08 | 93.49 | 93.89 | 94.16 |
| Recall (%) | 94.75 | 92.82 | 90.60 | 90.15 | 93.01 | 92.72 | 94.06 | 95.45 | 97.03 | 97.42 | |
| Accuracy (%) | 95.59 | 94.05 | 89.91 | 88.16 | 94.13 | 91.21 | 94.30 | 95.69 | 96.80 | 97.76 | |
| F1-Score (%) | 93.94 | 92.23 | 90.27 | 89.74 | 92.88 | 91.39 | 93.56 | 94.46 | 95.43 | 95.76 | |
| Real-time dataset | Precision (%) | 94.80 | 93.27 | 91.62 | 90.45 | 93.96 | 91.73 | 94.24 | 95.29 | 95.31 | 95.99 |
| Recall (%) | 95.88 | 94.57 | 92.93 | 92.56 | 94.88 | 93.85 | 95.13 | 96.89 | 97.03 | 97.10 | |
| Accuracy (%) | 95.16 | 93.70 | 92.06 | 91.15 | 94.27 | 92.44 | 94.54 | 95.82 | 95.88 | 96.36 | |
| F1-Score (%) | 95.34 | 93.92 | 92.27 | 91.49 | 94.42 | 92.78 | 94.68 | 96.08 | 96.16 | 96.54 | |
Real-time dataset-based statistical analysis
| Methods/metrics | Dense-CNN | EDN-SVM | CJHBA-DRN | Patch ResNet | 2D-CNN-CAE | BA-MCBM | DE-MCBM | SSA-DTCBiNet | SPO-MCBM | SEnO-DTCBiNet | |
|---|---|---|---|---|---|---|---|---|---|---|---|
| Accuracy | Best | 88.00 | 90.46 | 91.23 | 92.92 | 93.66 | 94.52 | 95.38 | 95.52 | 95.58 | 96.48 |
| Mean | 84.17 | 85.45 | 86.68 | 87.59 | 88.59 | 89.34 | 90.31 | 90.90 | 91.68 | 93.11 | |
| Variance | 6.30 | 11.08 | 11.89 | 14.74 | 16.74 | 15.91 | 13.40 | 12.30 | 9.84 | 6.77 | |
| Standard deviation | 2.51 | 3.33 | 3.45 | 3.84 | 4.09 | 3.99 | 3.66 | 3.51 | 3.14 | 2.60 | |
| Precision | Best | 89.65 | 90.03 | 90.83 | 92.41 | 93.50 | 93.54 | 94.39 | 94.55 | 94.61 | 95.78 |
| Mean | 84.94 | 85.55 | 86.29 | 87.12 | 88.20 | 88.70 | 89.83 | 90.54 | 90.71 | 92.31 | |
| Variance | 9.44 | 9.69 | 10.04 | 13.57 | 17.21 | 13.70 | 10.50 | 10.22 | 9.99 | 6.81 | |
| Standard deviation | 3.07 | 3.11 | 3.17 | 3.68 | 4.15 | 3.70 | 3.24 | 3.20 | 3.16 | 2.61 | |
| Recall | Best | 84.71 | 91.33 | 92.04 | 93.96 | 93.96 | 96.47 | 97.34 | 97.45 | 97.51 | 97.87 |
| Mean | 82.62 | 85.25 | 87.47 | 88.54 | 89.36 | 90.61 | 91.25 | 91.62 | 93.62 | 94.71 | |
| Variance | 1.98 | 14.53 | 16.85 | 17.50 | 15.99 | 20.95 | 20.62 | 17.64 | 9.58 | 6.74 | |
| Standard deviation | 1.41 | 3.81 | 4.10 | 4.18 | 4.00 | 4.58 | 4.54 | 4.20 | 3.09 | 2.60 | |
| F1-score | Best | 87.73 | 90.61 | 91.35 | 92.75 | 93.31 | 94.24 | 95.48 | 96.31 | 96.53 | 96.63 |
| Mean | 84.76 | 85.81 | 86.73 | 87.59 | 88.29 | 88.96 | 89.73 | 90.61 | 91.09 | 93.16 | |
| Variance | 4.37 | 10.01 | 12.19 | 15.03 | 12.07 | 13.60 | 14.83 | 15.50 | 13.60 | 9.17 | |
| Standard deviation | 2.09 | 3.16 | 3.49 | 3.88 | 3.47 | 3.69 | 3.85 | 3.94 | 3.69 | 3.03 | |
BT dataset-based statistical analysis
| Methods/metrics | SSA-DTCBiNet | Dense-CNN | BA-MCBMM | EDN-SVM | 2D CNN-CAE | CJHBA-DRN | Patch ResNet | DE-MCBM | SPO-MCBM | SEnO-DTCBiNet | |
|---|---|---|---|---|---|---|---|---|---|---|---|
| Accuracy | Best | 95.24 | 89.32 | 94.84 | 91.49 | 94.71 | 92.19 | 92.91 | 94.97 | 95.63 | 96.24 |
| Mean | 90.89 | 85.44 | 89.21 | 86.21 | 88.51 | 87.35 | 87.94 | 90.36 | 91.80 | 93.10 | |
| Variance | 16.56 | 9.66 | 19.58 | 14.07 | 19.31 | 14.63 | 14.81 | 17.29 | 14.61 | 8.64 | |
| Standard deviation | 4.07 | 3.11 | 4.43 | 3.75 | 4.39 | 3.82 | 3.85 | 4.16 | 3.82 | 2.94 | |
| Precision | Best | 94.05 | 89.73 | 93.59 | 90.62 | 93.53 | 91.05 | 91.37 | 93.73 | 94.60 | 95.49 |
| Mean | 90.41 | 85.64 | 88.61 | 86.06 | 88.26 | 87.03 | 87.59 | 90.11 | 91.44 | 93.02 | |
| Variance | 12.50 | 10.48 | 14.22 | 11.83 | 14.31 | 10.83 | 9.82 | 12.12 | 11.31 | 4.85 | |
| Standard deviation | 3.54 | 3.24 | 3.77 | 3.44 | 3.78 | 3.29 | 3.13 | 3.48 | 3.36 | 2.20 | |
| Recall | Best | 97.63 | 88.49 | 97.34 | 93.23 | 97.07 | 94.49 | 96.00 | 97.47 | 97.69 | 97.72 |
| Mean | 91.86 | 85.05 | 90.41 | 86.49 | 89.00 | 88.00 | 88.64 | 90.86 | 92.53 | 93.27 | |
| Variance | 26.47 | 8.24 | 33.81 | 19.70 | 31.94 | 24.11 | 28.37 | 30.91 | 22.62 | 20.79 | |
| Standard deviation | 5.14 | 2.87 | 5.82 | 4.44 | 5.65 | 4.91 | 5.33 | 5.56 | 4.76 | 4.56 | |
| F1-score | Best | 95.81 | 89.11 | 95.43 | 91.91 | 95.27 | 92.74 | 93.63 | 95.56 | 96.12 | 96.59 |
| Mean | 91.12 | 85.34 | 89.49 | 86.27 | 88.62 | 87.50 | 88.09 | 90.47 | 91.98 | 93.12 | |
| Variance | 18.71 | 9.27 | 22.52 | 15.29 | 22.03 | 16.68 | 17.59 | 20.20 | 16.37 | 11.21 | |
| Standard deviation | 4.33 | 3.04 | 4.75 | 3.91 | 4.69 | 4.08 | 4.19 | 4.49 | 4.05 | 3.35 | |
Hyperparameters of the SEnO-DTCBiNet model
| Hyperparameters | Values |
|---|---|
| Kernel size | (3 × 3) |
| Pooling | (2,2) |
| Convolution 2D layers | 2 |
| Activation function | ReLU |
| Learning rate | 0.02 |
| Dropout rate | 0.5 |
| No. of BiLSTM layers | 2 |
| LSTM Units | 64 |
| Loss function | Categorical-cross entropy |
| Optimizer | Adam |
| Number of epochs | 100 |
| Pooling | MaxPooling2D |
| Metrics | Accuracy |
| Padding | Same |
| Stride size | 2 |
BraTS 2018 dataset-based statistical analysis
| Methods/metrics | Dense-CNN | EDN-SVM | CJHBA-DRN | PatchRes Net | 2D-CNN-CAE | BA-MCBM | DE-MCBM | SSA-DTCBiNet | SPO-MCBM | SEnO-DTCBiNet | |
|---|---|---|---|---|---|---|---|---|---|---|---|
| Accuracy | Best | 89.11 | 89.81 | 91.60 | 92.62 | 93.17 | 93.75 | 94.22 | 94.59 | 94.78 | 95.51 |
| Mean | 84.85 | 85.64 | 87.00 | 87.87 | 88.95 | 89.39 | 89.94 | 90.23 | 90.96 | 92.12 | |
| Variance | 7.40 | 7.53 | 11.51 | 12.33 | 12.91 | 13.83 | 15.52 | 15.21 | 14.40 | 11.72 | |
| Standard deviation | 2.72 | 2.74 | 3.39 | 3.51 | 3.59 | 3.72 | 3.94 | 3.90 | 3.79 | 3.42 | |
| Precision | Best | 90.35 | 91.25 | 91.85 | 93.03 | 93.66 | 94.04 | 94.56 | 94.83 | 94.95 | 95.37 |
| Mean | 85.40 | 86.28 | 87.42 | 87.93 | 89.14 | 89.58 | 90.22 | 90.48 | 91.17 | 91.98 | |
| Variance | 10.32 | 10.30 | 11.23 | 12.63 | 13.35 | 13.60 | 15.39 | 14.57 | 15.85 | 14.38 | |
| Standard deviation | 3.21 | 3.21 | 3.35 | 3.55 | 3.65 | 3.69 | 3.92 | 3.82 | 3.98 | 3.79 | |
| Recall | Best | 86.64 | 86.95 | 91.10 | 91.81 | 92.18 | 93.16 | 93.54 | 94.13 | 94.43 | 95.80 |
| Mean | 83.76 | 84.37 | 86.17 | 87.73 | 88.57 | 89.02 | 89.36 | 89.73 | 90.55 | 92.40 | |
| Variance | 3.09 | 3.44 | 12.44 | 12.27 | 12.36 | 14.46 | 16.18 | 16.68 | 11.99 | 7.68 | |
| Standard deviation | 1.76 | 1.85 | 3.53 | 3.50 | 3.52 | 3.80 | 4.02 | 4.08 | 3.46 | 2.77 | |
| F1-score | Best | 88.46 | 89.05 | 91.48 | 92.42 | 92.92 | 93.60 | 94.05 | 94.48 | 94.69 | 95.58 |
| Mean | 84.57 | 85.31 | 86.79 | 87.83 | 88.85 | 89.30 | 89.79 | 90.10 | 90.86 | 92.19 | |
| Variance | 6.06 | 6.23 | 11.71 | 12.23 | 12.73 | 13.96 | 15.64 | 15.57 | 13.74 | 10.58 | |
| Standard deviation | 2.46 | 2.50 | 3.42 | 3.50 | 3.57 | 3.74 | 3.95 | 3.95 | 3.71 | 3.25 | |
BraTS 2018 dataset-based T-test analysis
| Methods/metrics | T-test analysis | |||||||
|---|---|---|---|---|---|---|---|---|
| Precision | Accuracy | F1-score | Recall | |||||
| p-value | T-statistic | p-value | T-statistic | p-value | T-statistic | p-value | T-statistic | |
| SSA-DTCBiNet | 0.07 | 2.73 | 0.07 | 2.72 | 0.07 | 2.72 | 0.07 | 2.69 |
| EDN-SVM | 0.13 | 2.08 | 0.13 | 2.09 | 0.13 | 2.10 | 0.13 | 2.10 |
| CJHBA-DRN | 0.10 | 2.37 | 0.11 | 2.23 | 0.12 | 2.15 | 0.15 | 1.94 |
| PatchResNet | 0.11 | 2.23 | 0.11 | 2.29 | 0.10 | 2.31 | 0.10 | 2.37 |
| Dense-CNN | 0.17 | 1.80 | 0.17 | 1.78 | 0.18 | 1.77 | 0.19 | 1.68 |
| BA-MCBM | 0.08 | 2.66 | 0.08 | 2.67 | 0.08 | 2.67 | 0.08 | 2.67 |
| DE-MCBM | 0.07 | 2.78 | 0.07 | 2.75 | 0.07 | 2.73 | 0.08 | 2.66 |
| 2D-CNN-CAE | 0.08 | 2.64 | 0.08 | 2.68 | 0.07 | 2.69 | 0.07 | 2.72 |
| SPO-MCBM | 0.07 | 2.78 | 0.07 | 2.72 | 0.08 | 2.68 | 0.08 | 2.54 |
| SEnO-DTCBiNet | 0.07 | 2.72 | 0.07 | 2.73 | 0.07 | 2.72 | 0.08 | 2.66 |
Real-time dataset-based T-test analysis
| Methods/metrics | T-test analysis | |||||||
|---|---|---|---|---|---|---|---|---|
| Precision | F1-score | Accuracy | Recall | |||||
| p-value | T-statistic | p-value | T-statistic | p-value | T-statistic | p-value | T-statistic | |
| PatchResNet | 0.10 | 2.30 | 0.10 | 2.35 | 0.10 | 2.34 | 0.10 | 2.39 |
| EDN-SVM | 0.11 | 2.25 | 0.14 | 2.03 | 0.13 | 2.10 | 0.17 | 1.83 |
| CJHBA-DRN | 0.11 | 2.29 | 0.09 | 2.51 | 0.09 | 2.45 | 0.08 | 2.63 |
| SPO-MCBM | 0.09 | 2.44 | 0.10 | 2.39 | 0.10 | 2.41 | 0.10 | 2.34 |
| 2D-CNN-CAE | 0.10 | 2.35 | 0.10 | 2.34 | 0.10 | 2.34 | 0.10 | 2.32 |
| BA-MCBM | 0.10 | 2.32 | 0.11 | 2.25 | 0.11 | 2.27 | 0.12 | 2.19 |
| DE-MCBM | 0.11 | 2.29 | 0.12 | 2.20 | 0.11 | 2.23 | 0.12 | 2.12 |
| SSA-DTCBiNet | 0.09 | 2.44 | 0.12 | 2.18 | 0.11 | 2.26 | 0.14 | 1.96 |
| Dense-CNN | 0.13 | 2.04 | 0.14 | 1.97 | 0.14 | 2.00 | 0.17 | 1.79 |
| SEnO-DTCBiNet | 0.12 | 2.13 | 0.12 | 2.17 | 0.12 | 2.16 | 0.11 | 2.22 |
Features based on statistical deep flow
| Features | Description | Mathematical notation | Output size |
|---|---|---|---|
| Mean | It is the ratio between the total intensity of all pixels and the total number of pixels within the deep flow feature image. |
| [N,120,120,1] |
| where φi is the feature and r the total images. | |||
| Kurtosis | Kurtosis is defined as the shape of the selected images taken for the statistical measurement. |
| [N,120,120,1] |
| T2 is the kurtosis | |||
| Standard deviation | The standard deviation is defined as the square root of the variance and represents the average deviation of each pixel intensity from the mean. |
| [N,120,120,1] |
| standard deviation is denoted as T3 | |||
| Skew | Skewness is defined as a measure of symmetry of the image. |
| [N,120,120,1] |
| T4 Is the skew | |||
| Variance | Variance is defined as the square of the standard deviation. |
| [N,120,120,1] |
| T5 Is the variance |
T-test Analysis based on the BT dataset
| Methods/metrics | T-test analysis | |||||||
|---|---|---|---|---|---|---|---|---|
| Precision | F1-score | Accuracy | Recall | |||||
| p-value | T-statistic | p-value | T-statistic | p-value | T-statistic | p-value | T-statistic | |
| DE-MCBM | 0.09 | 2.54 | 0.10 | 2.36 | 0.09 | 2.41 | 0.11 | 2.24 |
| EDN-SVM | 0.14 | 1.98 | 0.14 | 1.96 | 0.14 | 1.97 | 0.15 | 1.92 |
| CJHBA-DRN | 0.10 | 2.37 | 0.11 | 2.25 | 0.11 | 2.29 | 0.12 | 2.17 |
| PatchResNet | 0.09 | 2.42 | 0.11 | 2.22 | 0.11 | 2.28 | 0.13 | 2.08 |
| Dense-CNN | 0.13 | 2.05 | 0.12 | 2.20 | 0.12 | 2.15 | 0.10 | 2.35 |
| BA-MCBM | 0.10 | 2.38 | 0.11 | 2.25 | 0.11 | 2.29 | 0.12 | 2.15 |
| 2D-CNN-CAE | 0.10 | 2.31 | 0.12 | 2.16 | 0.12 | 2.20 | 0.13 | 2.04 |
| SSA-DTCBiNet | 0.08 | 2.62 | 0.08 | 2.56 | 0.08 | 2.58 | 0.09 | 2.51 |
| SPO-MCBM | 0.07 | 2.77 | 0.07 | 2.71 | 0.07 | 2.73 | 0.08 | 2.66 |
| SEnO-DTCBiNet | 0.10 | 2.31 | 0.07 | 2.70 | 0.08 | 2.62 | 0.07 | 2.83 |
Features based on GLCM
| Features | Overview | Formula | Dimensions of outputs |
|---|---|---|---|
| Homogeneity | Homogeneity calculates the similarity of the texture in the distributed gray-level object pairs. |
| [N,120,120,1] |
| homogeneity feature is represented as E3. | |||
| Energy | Energy is used to calculate the uniformity of an image. |
| [N,120,120,1] |
| E1 It is the energy feature, and GLCM of the image Q is denoted as Mkl. | |||
| Entropy | Entropy reproduces the complexity of an image present in the GLCM features. |
| [N,120,120,1] |
| E4 Represents the entropy. | |||
| Contrast | Contrast calculates the local variation amounts present in the image. |
| [N,120,120,1] |
| E5 Depicts the contrast. | |||
| Dissimilarity | It measures the gaps between the mean variances and ROI in the gray-scale image |
| [N,120,120,1] |
| E2 Denotes the dissimilarity feature of GLCM. |
Results of the SEnO-DTCBiNet model and comparative methods based on K-fold
| Methods/metrics | 2D-CNN-CAE | DE-MCBM | Dense-CNN | CJHBA-DRN | Patch ResNet | EDN-SVM | BA-MCBM | SSA-DTCBiNet | SPO-MCBM | SEnO-DTCBiNet | |
|---|---|---|---|---|---|---|---|---|---|---|---|
| BraTS 2020 dataset | Precision (%) | 92.50 | 93.65 | 87.57 | 89.81 | 92.24 | 89.33 | 93.22 | 95.11 | 95.39 | 95.53 |
| Recall (%) | 94.14 | 97.38 | 87.89 | 92.94 | 93.26 | 91.92 | 95.28 | 97.55 | 97.69 | 97.75 | |
| Accuracy (%) | 93.05 | 94.89 | 87.68 | 90.85 | 92.58 | 90.19 | 93.91 | 95.92 | 96.16 | 96.27 | |
| F1-Score (%) | 93.31 | 95.48 | 87.73 | 91.35 | 92.75 | 90.61 | 94.24 | 96.31 | 96.53 | 96.63 | |
| BT dataset | Precision (%) | 93.53 | 93.73 | 89.73 | 91.05 | 91.37 | 90.62 | 93.59 | 94.05 | 94.60 | 95.49 |
| Recall (%) | 97.07 | 97.47 | 88.49 | 94.49 | 96.00 | 93.23 | 97.34 | 97.63 | 97.69 | 97.72 | |
| Accuracy (%) | 94.71 | 94.97 | 89.32 | 92.19 | 92.91 | 91.49 | 94.84 | 95.24 | 95.63 | 96.24 | |
| F1-Score (%) | 95.27 | 95.56 | 89.11 | 92.74 | 93.63 | 91.91 | 95.43 | 95.81 | 96.12 | 96.59 | |
| BraTS 2018 dataset | Precision (%) | 93.66 | 94.56 | 90.35 | 91.85 | 93.03 | 91.25 | 94.04 | 94.83 | 94.95 | 95.37 |
| Recall (%) | 92.18 | 93.54 | 86.64 | 91.10 | 91.81 | 86.95 | 93.16 | 94.13 | 94.43 | 95.80 | |
| Accuracy (%) | 93.17 | 94.22 | 89.11 | 91.60 | 92.62 | 89.81 | 93.75 | 94.59 | 94.78 | 95.51 | |
| F1-Score (%) | 92.92 | 94.05 | 88.46 | 91.48 | 92.42 | 89.05 | 93.60 | 94.48 | 94.69 | 95.58 | |
| Real-time dataset | Precision (%) | 93.50 | 94.39 | 89.65 | 90.83 | 92.41 | 90.03 | 93.54 | 94.55 | 94.61 | 95.78 |
| Recall (%) | 93.96 | 97.34 | 84.71 | 92.04 | 93.96 | 91.33 | 96.47 | 97.45 | 97.51 | 97.87 | |
| Accuracy (%) | 93.66 | 95.38 | 88.00 | 91.23 | 92.92 | 90.46 | 94.52 | 95.52 | 95.58 | 96.48 | |
| F1-Score (%) | 93.73 | 95.84 | 87.11 | 91.43 | 93.17 | 90.67 | 94.99 | 95.98 | 96.04 | 96.82 | |
BraTS 2020 dataset-based statistical analysis
| Methods/metrics | PatchRes Net | BA-MCBM | Dense-CNN | CJHBA-DRN | EDN-DRN | 2D-CNN-CAE | SPO-MCBM | SSA-DTCBiNet | DE-MCBM | SEnO-DTCBiNet | |
|---|---|---|---|---|---|---|---|---|---|---|---|
| Accuracy | Best | 92.58 | 93.91 | 87.68 | 90.85 | 90.19 | 93.05 | 94.89 | 95.92 | 96.16 | 96.27 |
| Mean | 87.40 | 88.59 | 84.81 | 86.49 | 85.78 | 87.96 | 89.33 | 90.24 | 90.70 | 92.34 | |
| Variance | 14.65 | 13.72 | 4.27 | 10.55 | 9.03 | 12.63 | 14.05 | 15.28 | 13.50 | 10.02 | |
| Standard deviation | 3.83 | 3.70 | 2.07 | 3.25 | 3.01 | 3.55 | 3.75 | 3.91 | 3.67 | 3.16 | |
| Precision | Best | 92.24 | 93.22 | 87.57 | 89.81 | 89.33 | 92.50 | 93.65 | 95.11 | 95.39 | 95.53 |
| Mean | 87.02 | 87.80 | 84.92 | 85.98 | 85.69 | 87.28 | 88.50 | 89.46 | 89.89 | 90.51 | |
| Variance | 13.94 | 14.22 | 4.09 | 7.56 | 7.31 | 14.04 | 12.45 | 14.85 | 13.31 | 12.81 | |
| Standard deviation | 3.73 | 3.77 | 2.02 | 2.75 | 2.70 | 3.75 | 3.53 | 3.85 | 3.65 | 3.58 | |
| Recall | Best | 93.26 | 95.28 | 87.89 | 92.94 | 91.92 | 94.14 | 97.38 | 97.55 | 97.69 | 97.75 |
| Mean | 88.17 | 90.17 | 84.59 | 87.50 | 85.94 | 89.34 | 91.00 | 91.78 | 92.31 | 95.99 | |
| Variance | 16.34 | 13.51 | 4.76 | 18.41 | 13.76 | 10.43 | 17.68 | 16.26 | 13.95 | 7.93 | |
| Standard deviation | 4.04 | 3.68 | 2.18 | 4.29 | 3.71 | 3.23 | 4.20 | 4.03 | 3.74 | 2.82 | |
| F1-score | Best | 92.75 | 94.24 | 87.73 | 91.35 | 90.61 | 93.31 | 95.48 | 96.31 | 96.53 | 96.63 |
| Mean | 87.59 | 88.96 | 84.76 | 86.73 | 85.81 | 88.29 | 89.73 | 90.61 | 91.09 | 93.16 | |
| Variance | 15.03 | 13.60 | 4.37 | 12.19 | 10.01 | 12.07 | 14.83 | 15.50 | 13.60 | 9.17 | |
| Standard deviation | 3.88 | 3.69 | 2.09 | 3.49 | 3.16 | 3.47 | 3.85 | 3.94 | 3.69 | 3.03 | |