Figure 1:

Figure 2:


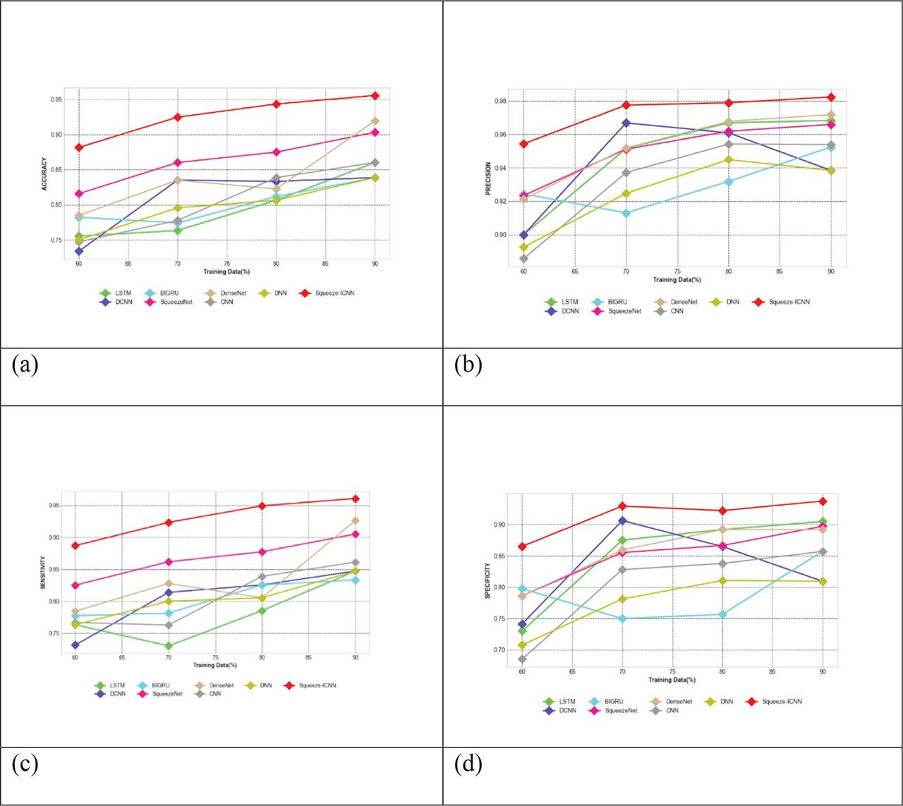
Figure 3:

Figure 4:

Figure 5:

Figure 6:

Figure 7:

Figure 8:

Figure 9:

Figure 10:

Figure 11:

Features and challenges on existing works
| Author & year | Preprocessing method | Feature extraction type | Model type | Accuracy/precision/F1 | Limitations |
|---|---|---|---|---|---|
| Khan et al. [1] | Not specified | Raw ECG images | DNN (SSD MobileNet) | Accuracy: 98% | Low scalability to noisy datasets |
| Fatema et al. [2] | Basic denoising | Deep features (InceptionV3 + ResNet50) | Hybrid DL | Not specified | Dataset imbalance, limited filtering |
| Li et al. [3] | Standard augmentation | Deep features + TL | DeepECG (InceptionV3) | Precision: 98.56% | Limited raw ECG format handling |
| Song et al. [4] | 2D signal representation | Region-based waveform features | Faster R-CNN | Accuracy: 98.94% | Incomplete beat/lead recognition |
| Kilimci et al. [5] | Image resizing | Vision transformer embeddings | Transformer models | High (exact not listed) | Complex, not edge-friendly |
| Sadad et al. [6] | Basic filtering | CNN + attention features | Lightweight CNN + IoT | High (not specified) | Weak segmentation, dataset-dependent |
| Sherly & Mathivanan [7] | DCT + Fourier | Clinical + image features | Hybrid CNN + AOA | Higher accuracy (est.) | Optimization lacks generalization |
| El-Habibi [8] | Not specified | Deep features | CNN | High (train/val accuracy) | Overfitting risk |
| Proposed (This Study) | IMF | LGXP + improved skeleton + ResNet/VGG/inception | Hybrid (SqueezeNet + ICNN) | Accuracy: 95.6% | Superior in preprocessing, hybrid design, and feature fusion |
| Precision: 97.9% | |||||
| FNR: 5.1% |
Comparative assessment on positive metric
| Model | Accuracy (%) | Precision (%) | Recall/sensitivity (%) | F1-score (%) |
|---|---|---|---|---|
| CNN (baseline) | 88.0 | 86.5 | 84.3 | 85.4 |
| ICNN (proposed) | 91.2 | 92.4 | 90.1 | 91.2 |
| SqueezeNet | 90.6 | 91.1 | 89.3 | 90.2 |
| Squeeze-ICNN | 94.4 | 97.9 | 94.9 | 96.4 |
j_ijssis-2026-0004_tab_007
| Abbreviation | Description |
|---|---|
| AC | Accuracy |
| AUC | Area Under the Curve |
| BGRU | Bidirectional Gated Recurrent Unit |
| Bi-GRU | Bidirectional Gated Recurrent Unit |
| CDC | Centers for Disease Control and Prevention |
| CHS | Comb Hyper-Sine |
| CNN | Convolutional Neural Network |
| CVD | Cardiovascular Disease |
| DCNN | Deep Convolutional Neural Network |
| DCT | Discrete Cosine Transform |
| DL | Deep Learning |
| DNN | Deep Neural Network |
| DSR | Dynamic Source Routing |
| ECG | Electrocardiogram |
| EMD | Empirical Mode Decomposition |
| EMG | Electromyography |
| EPS | Episodes per Second |
| ETT | Exercise Tolerance Test |
| FFT | Fast Fourier Transform |
| FN | False Negative |
| FPRs | False Positive Rates |
| ICNN | Improved Convolutional Neural Network |
| IoT | Internet of Things |
| LBP | Local Binary Pattern |
| LGXOR | Local Gabor XOR Pattern |
| LSTM | Long Short-Term Memory |
| LXP | Local XOR Pattern |
| MCC | Matthews Correlation Coefficient |
| NPV | Negative Predictive Value |
| MI | Myocardial Infarction |
| ML | Machine Learning |
| NN | Neural Network |
| PSNR | Peak Signal-to-Noise Ratio |
| QRS | QRS Complex |
| R-CNN | Region-Based Convolutional Neural Network |
| REL | Routing by Energy and Link Quality |
| ReLU | Rectified Linear Unit |
| SSD | Single Shoot Detection |
| SSIM | Structural Similarity Index Measure |
| ST | ST Segment |
| SVM-RFECV | Support Vector Machine with Recursive Feature Elimination and Cross-Validation |
| TL | Transfer Learning |
| VGG | Visual Geometry Group |
| WHO | World Health Organization |
| XOR | Exclusive OR |
Statistical assessment on accuracy
| Statistical metrics | LSTM | DCNN | SqueezeNet | CNN [8] | DenseNet | Bi-GRU | DNN [1] | Squeeze-ICNN |
|---|---|---|---|---|---|---|---|---|
| Mean | 0.796 | 0.810 | 0.864 | 0.798 | 0.841 | 0.802 | 0.806 | 0.926 |
| Minimum | 0.755 | 0.734 | 0.816 | 0.750 | 0.785 | 0.774 | 0.747 | 0.882 |
| Standard deviation | 0.042 | 0.044 | 0.032 | 0.032 | 0.049 | 0.026 | 0.045 | 0.028 |
| Median | 0.785 | 0.834 | 0.868 | 0.801 | 0.829 | 0.797 | 0.808 | 0.934 |
| Maximum | 0.860 | 0.839 | 0.903 | 0.839 | 0.919 | 0.839 | 0.860 | 0.956 |
Comparative overview of the proposed method vs existing studies
| Study/year | Preprocessing technique | Feature type | Model used | Accuracy (%) | Key advantages | Limitations |
|---|---|---|---|---|---|---|
| Khan et al. [1] | Not specified | Raw ECG Images | MobileNet-based DNN | 92 | Lightweight architecture | Limited generalization, no hybrid features |
| Fatema et al. [2] | Basic filtering | Deep features (CNN) | InceptionV3 + ResNet50 | ~90 | Combined model improved feature learning | Imbalanced dataset, minimal filtering |
| Li et al. [3] | Data augmentation | TL (inceptionV3) | DeepECG | 91–93 | Pretrained on large ECG datasets | Dataset-specific architecture |
| Sadad et al. [6] | Basic filtering | CNN + attention | Lightweight CNN | 89–91 | IoT compatible, efficient | Lacked multi-feature fusion |
| Proposed (This Study) | IMF | Hybrid: Deep + LGXP + shape | SqueezeNet + ICNN | 95.6 | Low FNR (5.1%), robust features, compact size | Limited dataset, needs cross-validation |
Analysis on PSNR and SSIM
| Methods | PSNR | SSIM |
|---|---|---|
| Mean filter | 23.586 | 0.770 |
| Gaussian filter | 22.136 | 0.707 |
| Weiner filter | 19.997 | 0.696 |
| Conventional median filter | 30.656 | 0.877 |
| IMF | 37.804 | 0.915 |
Ablation assessment on Squeeze-ICNN, model with conventional preprocessing, model with conventional hierarchy of skeleton, and SqueezeNet + Conventional CNN
| Metrics | Model with conventional preprocessing | Squeeze-ICNN | SqueezeNet + conventional CNN | Model with conventional hierarchy of skeleton |
|---|---|---|---|---|
| Sensitivity | 0.785 | 0.949 | 0.836 | 0.788 |
| F-measure | 0.785 | 0.964 | 0.836 | 0.788 |
| Accuracy | 0.851 | 0.944 | 0.908 | 0.852 |
| FPR | 0.127 | 0.078 | 0.068 | 0.126 |
| Specificity | 0.873 | 0.922 | 0.932 | 0.874 |
| FNR | 0.215 | 0.051 | 0.164 | 0.212 |
| NPV | 0.873 | 0.830 | 0.932 | 0.874 |
| Precision | 0.785 | 0.979 | 0.836 | 0.788 |
| MCC | 0.741 | 0.839 | 0.788 | 0.745 |