Figure 1:

Figure 2:

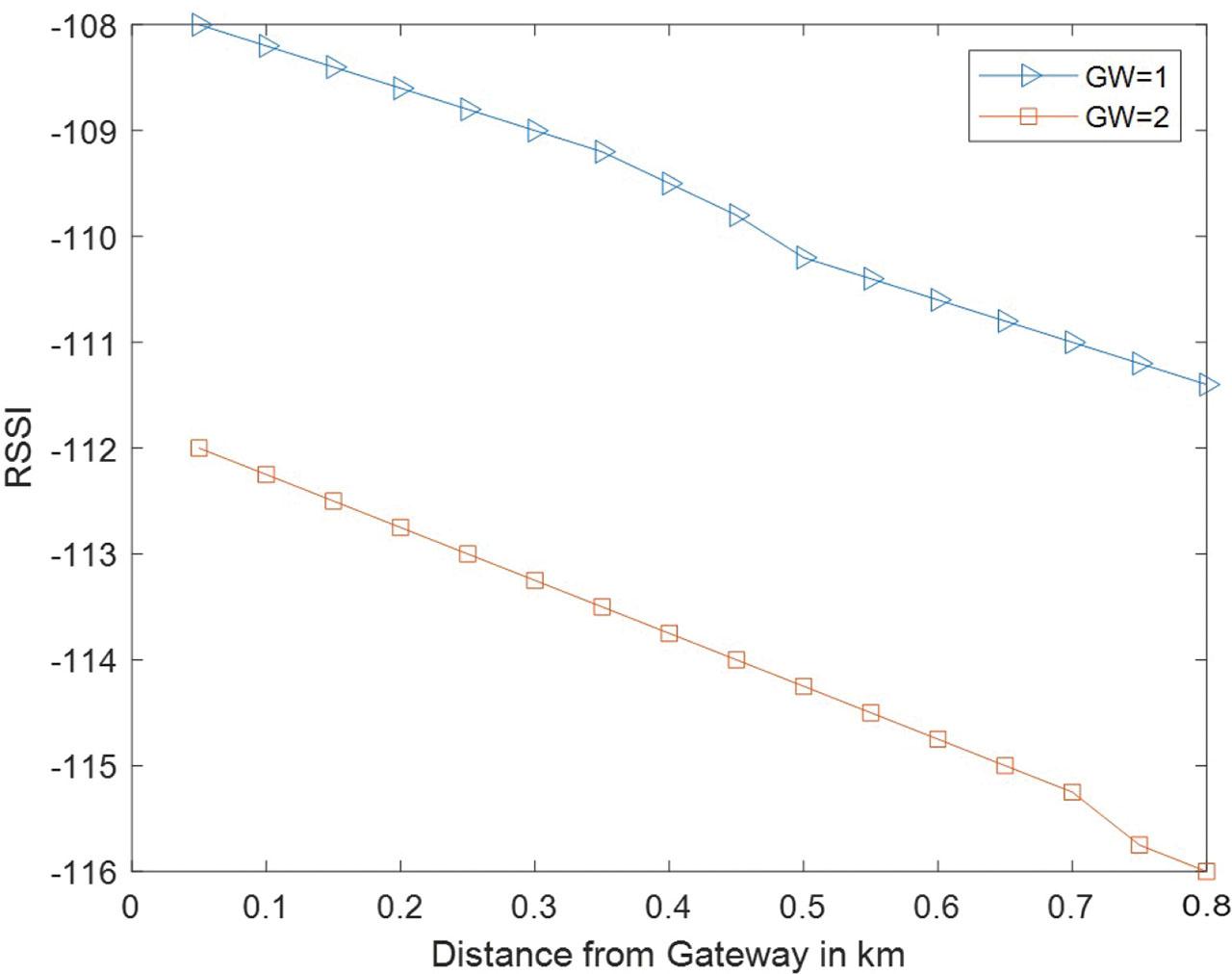
Figure 3:

Notations
| Parameters | Value |
|---|---|
| G | Average number of packets. |
| λ, λc, λi | Arrival rates (packets/sec), in cluster c, and zone i. |
| P, Pn | Probability of successful transmission of packets without and with normalized. |
| TSF | Time on air for an SF. |