Achieving the objectives of sustainable development requires high-quality non-financial reporting, particularly in environmental matters (Communication from the Commission, 2023; Directive (EU) 2022/2464; United Nations Conference, 2023). Investors increasingly consider environmental, social, and governance (ESG) performance in decision-making (Yang & Han, 2023), encouraging companies to adopt ESG standards that enhance risk management and broaden business performance perspectives (Raghavan, 2022; Karwowski & Raulinajtys-Grzybek, 2021). Directive (EU) 2022/2464 underscores the role of high-quality reporting in fostering stakeholder communication and corporate reputation.
Recent studies show a growing relevance of environmental disclosures for investors (Ahmed et al., 2022; Escrig-Olmedo et al., 2017; Khemir et al., 2019; Krasodomska & Cho, 2017). However, challenges remain, such as limited ESG preparation among accountants (Grujić & Vojinović, 2024). Report quality depends not on quantity but on relevance, measurement methods, and standards like GRI (Helfaya et al., 2019). Most analyses have relied on text mining, indicating the need for broader methodological approaches.
Report preparers and users differ in their understanding of quality: the former focus on procedural correctness, while the latter emphasize accessibility, metrics, and interpretation (Helfaya et al., 2019; Tello et al., 2016). Integrating qualitative and quantitative data improves objectivity and reduces manipulation (Arvidsson & Dumay, 2022; Bąk & Strojek-Filus, 2022; Gallery et al., 2008; Michelon et al., 2015; Van Staden & Hooks, 2007).
Literature suggests that report quality is shaped by preparers’ and users’ perceptions (Helfaya et al., 2019). Understanding these perceptions is vital for developing assessment models, with usefulness being a key criterion. While prior research has focused mainly on stakeholders (Deegan & Rankin, 1999; Orens & Lybaert, 2010), less attention has been paid to preparers’ views.
Non-financial reporting is gaining public significance, with increasing emphasis on credible verification (Eugénio et al., 2022; Goicoechea et al., 2019). Perceived usefulness often depends on perceived credibility, which may be influenced by demographic traits of report authors. Based on stakeholder theory (Freeman, 1994; Friedman & Miles, 2022), report preparers – internal stakeholders – play a key role in quality through their expertise and commitment to sustainability.
Factors like gender and age influence economic behavior, risk attitudes, and reporting quality (Alda et al., 2023; Bilimoria, 2000; Słomka-Gołębiowska, 2018). Studies show that female board representation improves reporting standards (Bear et al., 2010; Boulouta, 2013; Burgess & Tharenou, 2002; Francoeur et al., 2008; Li et al., 2017; McGuinness et al., 2017).
This study investigates whether the gender and age of environmental report preparers influence their perception of report quality, particularly usefulness. Empirical data were obtained from 70 companies via a non-random survey among environmental specialists, using the Polish Classification of Business Activities (PKD) as a sampling frame. The research contributes to understanding how demographic factors affect perceptions of environmental reporting quality.
Directive (EU) 2022/2464 highlights that sustainability disclosures should meet user needs, be relevant (including “dual relevance”), forward- and backward-looking, and include both qualitative and quantitative data. Reports must be harmonized, comparable, and tailored to the reporting entity, with usefulness as a key attribute – shared by both financial and non-financial information, though prioritized in financial reporting and consolidated federal funds report. Research underscores the influence of regulation on preparers’ perceptions (Lubenchenko, 2023), and notes challenges with applying usefulness, relevance, and accuracy in practice (Abhayawansa et al., 2019; Barth et al., 2022; Evans et al., 2022; Erb & Pelger, 2015; Garvey et al., 2021). The importance of environmental disclosures in ESG reporting is also rising (Ahmed et al., 2022; Krasodomska & Cho, 2017).
In the context of determinants referring to the quality of reported non-financial information, the source literature presents the standpoint that women are more open to dialogue with various stakeholders interested in the activities of a particular company, which improves the functioning dynamics of corporate bodies (Francoeur et al., 2008; Słomka-Gołębiowska, 2018). The consequences of women’s participation on company boards are highlighted by Bilimoria (2000) based on research covering Fortune 500 listed companies. The author emphasizes that the participation of women exerts impact on the decisions made in companies. The research also shows that women are more focused on sustainability initiatives and more likely to raise awareness regarding the ESG disclosure strategies (Horbach, 2018; Hossain et al., 2017). The studies also indicate that the representation of women on the board positively affects corporate social responsibility (CSR) performance (Bear et al., 2010; Bravo & Reguera-Alvarado, 2017; Bernardi & Threadgill, 2010). The results of research by Ruiz Blanco et al. (2014) show that in countries with a higher proportion of board of directors with at least three women, the levels of CSR reporting are higher.
A similar relationship is true for environmental disclosure quality (Rupley et al., 2012). Bravo and Reguera-Alvarado (2017) conducted a study confirming a positive correlation between gender diversity in audit committees and the quality of voluntary disclosures in CSR reporting. Female representation in these bodies increases comprehensiveness and relevance, which significantly affects the usefulness of such information.
Frias-Aceituno et al. (2013) conducted an extensive multi-faceted study covering 568 companies from 15 countries over a 3-year period. The research results proved a positive correlation between female board participation and voluntary CSR disclosures. In the context of stakeholder theory, greater diversity of the board of directors can positively affect the transparency of the prepared reports and improve stakeholder relations, thereby reducing information asymmetry. Research conducted by Gesso (2019) indicates that gender and age are key demographic factors that shape the approach and competences of people preparing non-financial reports. The results of the study confirm that women may show a stronger propensity toward sustainable development and ethical considerations in reporting than men, which may result from different socialization processes and different professional experience among women and men.
The second factor analyzed by the authors of this study is the age of report preparers in relation to assessing the usefulness of reported environmental information. Research by other authors shows that the level of ecological awareness depends, among others, on age (Burgess & Tharenou, 2002; Piscitelli & D’Uggento, 2022). The research results indicate that both environmental and social ESG have a significant relationship with the level of internal motivation of employees in all generations covered by the study (X, Y, Z). Generation Z believes, to a greater extent than Generation Y, that environmental ESG has a greater impact on employees’ internal motivation. On the other hand, Generation Y rated slightly higher than Generation Z that social-related ESG has a greater impact on employees’ internal motivation (Lee & Park, 2023). Generation Z is increasingly sensitive to the issue of climate change and environmental pollution, while also representing an online generation (Gosztonyi, 2023; Nowak et al., 2023).
To the authors’ knowledge, there has been little research on the perception of the usefulness of environmental disclosures from the perspective of gender and age of environmental reporters. The available research indicates that both gender and age of non-financial reporters are important, but the impact of these factors varies.
Women as non-financial report authors may advocate for more rigorous practices, reflecting their increased awareness of stakeholder expectations (Gesso, 2019). Younger report authors may be more sensitive to contemporary issues related to sustainability and corporate responsibility, reflecting a change in generational values and priorities (Gesso, 2019; Hasíková et al., 2021; Vetoshkina et al., 2020). This generational difference may be attributed, for example, to different education and approaches to the concept of sustainability during education (Hasíková et al., 2021). From this viewpoint, the authors asked the question whether the gender and age of report preparers affect the quality assessment of the reported non-financial, environmental information. Based on the identified research gap, as well as the results of the source literature analysis and the existing research, the authors of this study put forward the following research hypotheses:
H1: Gender and age influence the perception of report preparers’ usefulness of disclosed non-financial information, including environmental information, for report users in their business decisions.
H2: Gender and age influence report preparers’ perceptions of various attributes that shape/define the usefulness of non-financial information, including environmental information.
The empirical data used in this study were collected using an original survey questionnaire. The research was conducted by Biostat Poland using the CATI method between May 18 and June 5, 2023. A total of 70 medium-sized and large enterprises from 14 industries participated, selected through non-probability, convenience sampling based on PKD (Polish Classification of Activities) codes from a pool of 721 contacted companies.
Data analysis included contingency tables, measures of association for categorical variables, logistic regression, odds ratios (ORs), and visualization methods. Cramér’s V coefficient was used to assess the strength of association between nominal variables, based on the chi-square statistic (Agresti, 2002). The coefficient is interpreted as follows: V = 0 indicates independence; (0–0.33] weak association; (0.33–0.66] moderate association; (0.66–1) strong association; V = 1 indicates functional dependence.
Logistic regression was applied to analyze binary outcomes (Agresti, 2002; Cameron & Trivedi, 2005; Long, 1997). The probability of a binary outcome was estimated using the formula:
Calculations were performed in R (R Development Core Team, 2023), using packages such as vcd, epade, DescTools, lmtest, caret, questionr, finalfit, visreg, and sjPlot (Aitkin et al., 2009; Fox, 2002).
All respondents (employees of 70 surveyed enterprises) answered that they had participated directly or indirectly in preparing a non-financial report. Most respondents were aware how important the reporting of non-financial information is. The survey covered enterprises preparing non-financial reports in accordance with the requirements of EU Directive 2022/2464, in particular, 81% of enterprises disclosed non-financial information mandatorily and 19% voluntarily. According to 89% of the respondents, mandatory disclosure of environmental information (e.g., by enterprises employing over 500 workers) was viewed positively, while only 11% of the respondents expressed a negative opinion. Such a significant majority of positive responses may indicate pro-environmental awareness, the need for an enterprise to participate in the global process of saving the environment to legitimize its operations and develop a positive perception among stakeholders. In addition, the majority of respondents (56%) expressed a positive opinion about presenting a more extensive mandatory subjective and objective scope of environmental disclosures. This attitude should be considered satisfactory, given that Directive (EU) 2022/2464 introduces such extensions.
Gender breakdown of respondents is as follows: 56% women and 44% men. In terms of age structure, the most numerous groups are represented by Generation X (born between 1965 and 1980) – 49% and Generation Y Millennials (born between 1981 and 1994) – 44%. Less numerous groups are the BB generation (Baby Boomers) born until 1964, accounting for 4% of the respondents, and Generation Z (born after 1994) – 3%. The detailed structure by gender and age is presented in Table 1.
Responses to question Q1 taking into account gender (D1) and age (D2).
| Gender – D1 | Yes | No |
|---|---|---|
| Woman | 37 | 2 |
| Men | 29 | 2 |
| Age – generation ranges (D2) | Yes | No |
| Until 1964 | 2 | 1 |
| From 1965 to 1980 | 32 | 2 |
| From 1981 to 1994 | 30 | 1 |
| Since 1995 | 2 | 0 |
To explore knowledge regarding the usefulness of non-financial information, including the environmental one disclosed in non-financial reports, the survey authors formulated three research questions:
Q1 (in the survey, refer hypothesis H1): In your opinion, is the disclosed non-financial environmental information useful to stakeholders in making business decisions?
Q2 (in the survey, refer hypothesis H2): What does the usefulness of disclosed non-financial information, including environmental information consist in?
The collected responses were correlated with the respondents’ characteristics – gender (D1) and age (D2), which may affect different perceptions of the usefulness of non-financial information. Exploring correlations between the respondents’ gender and age and their opinion regarding the usefulness of environmental non-financial disclosures (Q1), as well as indicating what the usefulness of disclosures consists in (Q2). Table 1 summarizes the responses to question Q1 taking into account both gender and age of the respondents.
The vast majority of respondents, i.e., as many as 94.3% answered positively the question Q1 – 52.9% women and 41.4% men. Non-financial environmental disclosures were considered useful in the course of business decision-making also in generation ranges, with Generation X (45.7%) and Generation Y Millennials (42.9%) providing the most positive answers. The results from this part of the survey allow concluding that H1 was verified positively.
In order to explore the study, a logistic regression model was developed to describe how two explanatory variables D1 and D2, measured on a dichotomous scale (yes, no), affected answering question Q1.
ORs greater than 1 indicate a stimulating effect of the explanatory variable on providing a positive answer to question Q1. For both characteristics (gender and age), the estimated OR is greater than 1. In terms of gender, the value of OR slightly exceeds 1 – the influence of this characteristic on providing a “yes” answer in question Q1 can be assessed as neutral. In the case of age, the OR is significantly greater than 1 – the influence of this characteristic on indicating a “yes” answer in question Q1 can be considered stimulating (Figure 1).

ORs for explanatory variables D1 (gender) and D2 (age).
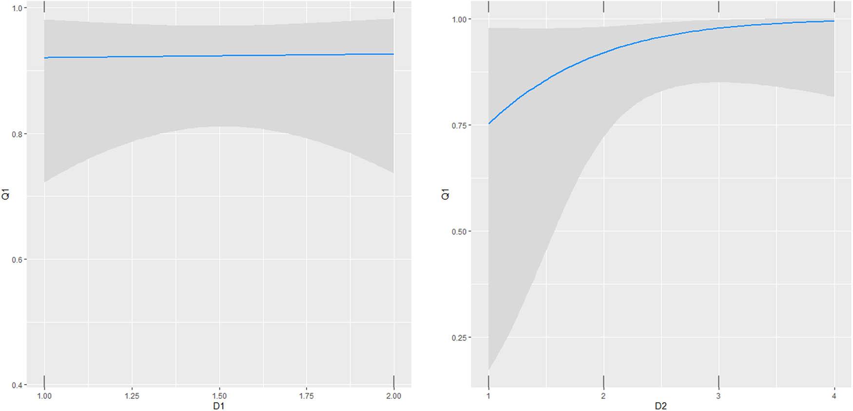
The influence of both features (D1 – gender and D2 – age) on the answers to question Q1 is additionally illustrated in Figure 2 using the visualization using the visreg() function from the visreg package, which allows for the presentation of the results of the fitted logistic regression model and a graphical illustration of the influence of the explanatory variable (predictor) on the values assumed by the explained variable.

The influence of features D1 and D2 on a positive answer to question Q1.
The influence of feature D1 (gender) is neutral, while the influence of feature D2 (age) changes with increasing age. This indicates an increasing probability of a positive answer to question Q1 in subsequent age groups.
Table 2 presents response options for question Q2 and the number of responses to each option on a 5-point Likert scale. Each option received varying levels of approval from the respondents. Among the “definitely yes” answers (levels 4 and 5 on the Likert scale) relating to the usefulness attributes of non-financial environmental information, the respondents listed: a reliable partner in business (61), creating good relations with customers (60), and greater awareness of caring for the environment (59). The option which received the most positive responses (level 5) was greater awareness of caring for the environment, whereas the option with the majority of neutral responses (level 3) explained the difference between balance sheet value and market value of an enterprise.
Number of answers to question Q2.
| Marked options in question Q2 | Options in question Q2 | Definitely NO | Definitely YES | |||
|---|---|---|---|---|---|---|
| 1 | 2 | 3 | 4 | 5 | ||
| Q2-1 | Developing dialogue and improving communication with various stakeholder groups | 2 | 3 | 15 | 24 | 26 |
| Q2-2 | Building stakeholder trust | 3 | 0 | 9 | 25 | 33 |
| Q2-3 | Providing the basis for investment decisions, which ultimately contribute to cost reduction of raised capital | 2 | 5 | 21 | 25 | 17 |
| Q2-4 | Achieving competitive advantage and better financial performance | 5 | 5 | 22 | 18 | 20 |
| Q2-5 | Explaining the difference between balance sheet value and market value of an enterprise | 6 | 6 | 40 | 11 | 7 |
| Q2-6 | Availability of information to all stakeholders | 2 | 2 | 17 | 25 | 24 |
| Q2-7 | Product branding | 2 | 4 | 10 | 20 | 34 |
| Q2-8 | Building corporate image and reputation | 1 | 2 | 11 | 16 | 40 |
| Q2-9 | Creating good relations with customers | 2 | 0 | 8 | 22 | 38 |
| Q2-10 | Greater awareness of caring for the environment | 4 | 0 | 7 | 18 | 41 |
| Q2-11 | A reliable partner in business | 1 | 1 | 7 | 22 | 39 |
| Q2-12 | Legitimization of business operations | 0 | 3 | 15 | 25 | 27 |
| Q2-13 | Controlling the message about the enterprise development direction | 2 | 4 | 13 | 26 | 25 |
Table 3 summarizes Cramer’s V coefficients for the correlation between gender (D1) and question Q2 as well as age (D2) and question Q2. The applied Cramer’s V coefficient shows a significant correlation (indicator values higher than 0.33) between the analyzed characteristics – gender and attributes determining the usefulness of information. Cramer’s V coefficient indicated clear correlations (the highest in the survey) for the following options: P2-11 – a reliable partner in business (0.409), P2-12 – legitimization of business operations (0.350), P2-8 – building corporate image and reputation (0.391).
Summary of the correlations between gender and age and question Q2.
| Marked options in question Q2 | Cramer’s V coefficient | |
|---|---|---|
| Gender – D1 | Age – D2 | |
| Q2-1 | 0.123 | 0.356 |
| Q2-2 | 0.244 | 0.249 |
| Q2-3 | 0.178 | 0.246 |
| Q2-4 | 0.207 | 0.290 |
| Q2-5 | 0.193 | 0.252 |
| Q2-6 | 0.164 | 0.284 |
| Q2-7 | 0.209 | 0.293 |
| Q2-8 | 0.391 | 0.367 |
| Q2-9 | 0.281 | 0.260 |
| Q2-10 | 0.291 | 0.378 |
| Q2-11 | 0.409 | 0.397 |
| Q2-12 | 0.350 | 0.207 |
| Q2-13 | 0.245 | 0.333 |
Cramer’s V coefficient also indicated clear correlations between age and the attributes determining information usefulness. The options presenting the highest clear correlation of Cramer’s V coefficient include: P2-11 – a reliable partner in business (0.397), P2-10 – greater awareness of caring for the environment (0.378), P2-8 – building corporate image and reputation (0.367), P2-1 – developing dialogue and improving communication with various stakeholder groups (0.356).
A clear correlation established using Cramer’s V coefficient was observed for both gender and age and the attributes determining the usefulness of information for the following options: a reliable partner in business, building corporate image and reputation.
In order to delve deeper into the analyzed problem, Table 4 presents response counts based on a 5-point Likert scale in relation to three options for which Cramer’s V coefficient showed the highest clear correlation between the respondents’ gender (D1) and attributes determining the usefulness of non-financial information, including the environmental ones (question Q2).
Answers to options Q2-11, Q2-8, Q2-12, and Q2-10 by gender.
| Gender | Definitely NO | Definitely YES | |||
|---|---|---|---|---|---|
| 1 | 2 | 3 | 4 | 5 | |
| Q2-11 | |||||
| Woman | 0 | 1 | 3 | 7 | 28 |
| Men | 1 | 0 | 4 | 15 | 11 |
| Sum | 1 | 1 | 7 | 22 | 39 |
| Q2-8 | |||||
| Woman | 0 | 1 | 6 | 4 | 28 |
| Men | 1 | 1 | 5 | 12 | 12 |
| Sum | 1 | 2 | 11 | 16 | 40 |
| Q2-12 | |||||
| Woman | 0 | 1 | 4 | 18 | 16 |
| Men | 0 | 2 | 11 | 7 | 11 |
| Sum | 0 | 3 | 15 | 25 | 27 |
| Q2-10 | |||||
| Woman | 2 | 0 | 1 | 10 | 26 |
| Men | 2 | 0 | 6 | 8 | 15 |
| Sum | 4 | 0 | 7 | 18 | 41 |
In the case of option Q2-11 by gender, women provided the most positive answers at level 5 of the Likert scale (28), while men at level 4 (15). The option Q2-8 by gender received the highest score at level 5 of the Likert scale among women (28), whereas men spread their responses equally at levels 4 and 5 providing 12 positive opinions. The option Q2-12 by gender was rated the highest by women at level 4 of the Likert scale (18), men, in turn, marked the most positive responses at level 5 (11). The significant neutrality in men’s responses, i.e., 11, is also noteworthy (level 3 of the Likert scale).
Attention was also drawn to the relationship between option Q2-10 (greater awareness of caring for the environment) and gender, for which Cramer’s V coefficient is less than 0.33 (0.291). This correlation is not clear; however, it is important to analyze the usefulness of non-financial environmental information (Table 4).
On the other hand, Table 5 presents response counts following a 5-point Likert scale in the case of three options for which Cramer’s V coefficient showed the highest clear correlation between the respondents’ age (D2) and the attributes determining the usefulness of non-financial information, including the environmental ones (question Q2).
Answers to options Q2-11, Q2-10, Q2-8, and Q2-1 by age.
| Age | Definitely NO | Definitely YES | |||
|---|---|---|---|---|---|
| 1 | 2 | 3 | 4 | 5 | |
| Q2-11 | |||||
| Until 1964 | 1 | 0 | 1 | 0 | 1 |
| From 1965 to 1980 | 0 | 0 | 4 | 8 | 22 |
| From 1981 to 1994 | 0 | 1 | 2 | 12 | 16 |
| Since 1995 | 0 | 0 | 0 | 2 | 0 |
| Sum | 1 | 1 | 7 | 22 | 39 |
| Q2-10 | |||||
| Until 1964 | 2 | 0 | 0 | 0 | 1 |
| From 1965 to 1980 | 1 | 0 | 1 | 9 | 23 |
| From 1981 to 1994 | 1 | 0 | 5 | 8 | 17 |
| Since 1995 | 0 | 0 | 1 | 1 | 0 |
| Sum | 4 | 0 | 7 | 18 | 41 |
| Q2-8 | |||||
| Until 1964 | 1 | 0 | 1 | 0 | 1 |
| From 1965 to 1980 | 0 | 1 | 4 | 7 | 22 |
| From1981 to 1994 | 0 | 1 | 5 | 8 | 17 |
| Since 1995 | 0 | 0 | 1 | 1 | 0 |
| Sum | 1 | 2 | 11 | 16 | 40 |
| Q2-1 | |||||
| Until 1964 | 1 | 1 | 0 | 0 | 1 |
| From 1965 to 1980 | 0 | 1 | 8 | 12 | 13 |
| From 1981 to 1994 | 1 | 1 | 5 | 12 | 12 |
| Since 1995 | 0 | 0 | 2 | 0 | 0 |
| Sum | 2 | 3 | 15 | 24 | 26 |
The respondents representing Generation X (born in 1965–1980) and Generation Y (1981–1994) marked the most positive responses (levels 4 and 5 of the Likert scale) for options Q2-11, Q2-10, and Q2-8. At the same time, these generations are the most numerous in the survey regarding their participation in preparing non-financial reports and have the relevant knowledge, experience, and competence in this area. Option Q2-1 shows an almost equal distribution of positive responses for levels 4 and 5 of the Likert scale.
Based on the survey conducted, a conclusion can be drawn that gender and age affect differently the perceptions of various attributes that shape/define the usefulness of non-financial information, including environmental information. Women and Generation X provided the most definite “yes” responses (5 points on the Likert scale). Hypothesis H2 was verified positively.
Our studies, which consider the perceptions of report preparers, align with the assessment of environmental disclosures’ validity and usefulness from report users’ perspectives (Ahmed et al., 2022; Khemir et al., 2019). Escrig-Olmedo et al. (2017) highlight the diversity of investors and their information needs, stressing the importance of addressing socially responsible investors’ expectations through a flexible reporting model. Krasodomska & Cho’s (2017) survey of sell-side and buy-side analysts shows that both groups view environmental disclosures as of low value and poor quality in their analyses, though they recommend expanding their use.
Our study results also indicate that respondents took a practical approach to the usefulness of environmental disclosures, adopting a pro-environmental stance. They viewed increased environmental awareness, gaining reliable business partners, and building good customer relations as the most important attributes. The highest-rated attributes reflect their focus on fostering strong business relationships and openness to pro-environmental activities. These findings partially align with Helfaya et al.’s (2019) study, which explored the perceptions of both report preparers and users regarding usefulness, noting the preparers’ practical understanding of it. However, their survey revealed different perceptions of disclosure quality. Both parties agreed that the number of disclosures did not correlate with their usefulness, defining environmental reporting quality as “the completeness, accuracy, and reliability of environmental disclosure” (Helfaya et al., 2019, pp. 163–193).
The findings referring to the relationship between gender and the attributes of non-financial environmental information usefulness indicate the highest clear correlation for the following options: a reliable partner in business, legitimization of business operations, building corporate image and reputation. In the highlighted options, women provided the majority of positive responses. For the option of greater awareness in caring for the environment, no clear correlation regarding gender was recorded, although in this case women gave the most positive responses as well. The research results confirm high environmental awareness presented by women, which can also be observed in other studies. For example, the research results referring to gender structure of the board indicate that women rate higher the importance of environmental information and its reporting (Bravo & Reguera-Alvarado, 2017; Bernardi & Threadgill, 2010; Frias-Aceituno et al., 2013), which is related to their pro-environmental attitude.
In terms of perceived usefulness of non-financial information, younger employees and women as authors of non-financial reports may favor more rigorous practices, reflecting their increased awareness of stakeholder expectations (Eugénio et al., 2022). Women also show greater acceptance of disclosing sustainability information in reporting compared to men (Gesso, 2019).
Research by Vetoshkina et al. (2020) shows that younger professionals often prioritize environmental sustainability and social management, reflecting a broader societal shift toward valuing non-financial performance indicators. Research by Tarquinio and Posadas (2020) and Hasíková et al. (2021) confirms that older report writers attach less importance to non-financial information, which may be due to better training in traditional financial indicators. Younger employees preparing non-financial reports, who are likely to be more familiar with these regulations and their implications, may perceive non-financial information as more useful compared to older colleagues who may have had less exposure to these regulations during their careers (Lubenchenko, 2023).
In our study the analysis of relationships between age and the usefulness attributes of non-financial environmental information resulted in slightly different findings than in the case of gender. The strongest correlations between age and usefulness occurred for the following options: a reliable partner in business, greater awareness of caring for the environment, building a corporate image and reputation, developing dialogue, and improving communication with various stakeholder groups.
The results of the research conducted indicate the significant importance of the information usefulness feature also in relation to the reported non-financial information used in business decision-making (H1), while at the same time confirming the specificity of report preparers’ approach to this problem. The influence of gender is neutral, while the influence of age changes with increasing age. This indicates an increasing probability of a positive answer to question “is the disclosed non-financial environmental information useful to stakeholders in making business decisions?” in subsequent age groups.
The respondents associated the usefulness of information with such options as: greater awareness of caring for the environment, gaining a reliable business partner and creating good relations with customers, building corporate image and reputation, and developing dialogue and improving communication with various stakeholder groups. They associate usefulness the least with such options as: explaining the difference between balance sheet value and market value of an enterprise as well as achieving competitive advantage and better financial performance, which may indicate different attitudes toward the usefulness of non-financial and financial information. The research also confirmed that gender and age influence report preparers’ perceptions of the usefulness of non-financial reports (H2).
The results of the study expand the existing knowledge about the determinants of the quality of non-financial reports, emphasizing the significance of the reporting party. It is important for both economic practice and establishing pro-environmental attitudes. The results also confirm the practical approach of the report preparers to the problem of non-financial information, including environmental information, which should be considered in the carried-out standardization of reporting.
Based on the obtained research results, a recommendation regarding the regulatory sphere regarding the usefulness of non-financial information can be formulated. Legal provisions should indicate and justify useful information in greater detail and define standards of presentation for it. This should serve to eliminate the effects of subjective assessments of people preparing ESG reports.
Considering the research results may be useful in business practice, e.g., in terms of appropriate gender and age diversity of the team of employees preparing non-financial reports, which may result in increased sensitivity to environmental problems, better knowledge of legal regulations in the field of ESG and better substantive preparation in the field of non-financial reporting.
A relatively small research sample is the major limitation of the survey. The research conducted is a pilot study, and the authors intend to continue their analyses by expanding the research sample in terms of enterprise size and industry. The authors also plan to expand the research aspect related to age and education of non-financial report preparers and also the impact of gender on the type and quality of the disclosed information.
Authors state no funding involved.
Melania Bąk: project administration, conceptualization, data collection, literature review, conclusions and discussion. Marzena Strojek-Filus: conceptualization, literature review, conclusions and discussion. Andrzej Bąk: data collection, methodology, software, formal analysis, visualization.
Authors state no conflict of interest.
Data are available on the request from the authors.