Fins are essential components in heat transfer systems, designed to improve thermal energy dissipation by increasing the surface area available for heat exchange. They are widely used in industries such as electronics cooling, aerospace, and energy systems. Depending on the application and operating conditions, fins may generate heat internally while simultaneously dissipating it through conduction, convection, and radiation [1–6]. Heat-generative fins incorporate internal heat sources, arising from mechanisms such as electrical resistance, exothermic chemical reactions, or radioactive decay. This internal heat generation introduces additional complexity to the energy balance equations, often resulting in temperature-dependent nonlinearities. Accurate modelling of these fins is crucial for optimizing thermal performance in applications like nuclear reactors, combustion chambers, and electric heaters. Addressing heat generation requires advanced methods to effectively capture spatial and temporal temperature variations. Khan and Aziz [7] investigated transient heat transfer in heat-generating fins with radiation and convection, considering a temperature-dependent heat transfer coefficient. Hajmohammadi et al. [8] explored the optimal architecture of heat-generating elements in fins. Ghasemi et al. [9] conducted a thermal analysis of convective fins with temperature-dependent thermal conductivity and heat generation. Das and Kundu [10] proposed a method to predict heat generation in porous fins from surface temperature data. Sadeghianjahromi and Wang [11] reviewed mechanisms for enhancing heat transfer in fin-and-tube heat exchangers, while Zhang et al. [12] provided a comprehensive review and outlook on fin designs for improving heat transfer in latent thermal energy storage systems. In high-temperature environments, radiative heat transfer becomes the primary mechanism for thermal dissipation. Radiative fins emit thermal energy according to the Stefan-Boltzmann law, which states that emission is proportional to the fourth power of the surface temperature. This inherent nonlinearity, coupled with boundary conditions and geometrical constraints, makes analysing radiative fins particularly complex. Understanding radiative effects is vital for systems operating in vacuum environments, such as spacecraft thermal control systems, where convection is negligible. Kiwan [13] examined the impact of radiative losses on heat transfer from porous fins. Aziz and Torabi [14] studied convective-radiative fins with temperature-dependent variations in thermal conductivity, heat transfer coefficient, and surface emissivity. Ma et al. [15] applied the spectral collocation method to analyse radiative-conductive porous fins with temperature-dependent properties. Gireesha et al. [16] explored hybrid nanofluid flow across permeable longitudinal moving fins under thermal radiation and natural convection. Wang and Shi [17] introduced a novel fractal model for convective-radiative fins with temperature-dependent thermal conductivity. Pavithra and Gireesha [18] investigated heat transfer in wet porous, moving, inclined longitudinal fins exposed to convection and radiation, incorporating shape-dependent hybrid nanofluids. Convective-radiative fins represent a versatile category of heat transfer devices where thermal energy is dissipated through both convection to a surrounding fluid and radiation to the ambient environment. These fins are commonly used in practical applications involving mixed modes of heat transfer. The interaction of convection, radiation, and internal heat generation produces a highly nonlinear differential equation governing temperature distribution. Accurate solutions are essential for optimizing the efficiency and reliability of thermal systems. Aziz et al. [19] analyzed convective-radiative radial fins with convective base heating and convective-radiative tip cooling for both homogeneous and functionally graded materials. Roy et al. [20] proposed a decomposition method for solving equations governing convective-radiative fins with heat generation. Dogonchi and Ganji [21] studied heat transfer in moving fins, incorporating temperature-dependent thermal conductivity, heat transfer coefficient, and internal heat generation. Oguntala et al. [22] examined the impact of particle deposition on the thermal performance of a convective-radiative porous heat sink fin in electronic components. Gouran et al. [23] investigated the influence of internal heat sources and interdependent thermal properties on a convective-radiative longitudinal fin. Usha and Gireesha [24] conducted a thermal analysis of fully wetted porous longitudinal fins with a parabolic profile, accounting for variable thermal conductivity and convection-radiation effects. The mathematical modelling of fins involving combined heat generation, convection, and radiation results in nonlinear ordinary differential equations (ODEs) that are difficult to solve analytically. Traditional numerical techniques, such as finite difference [25], finite element [26], and finite volume methods [27], are commonly used to address these challenges. While effective and versatile, these methods often require substantial computational resources and may struggle with highly nonlinear problems or complex boundary conditions. Semi-analytical approaches, including the Adomian decomposition method (ADM) [28], homotopy analysis method [29], and differential transform method [30], provide alternative solutions by approximating nonlinear equations. However, their reliance on complex mathematical formulations can limit their practicality for real-time or iterative computations. Wavelet theory has become a powerful tool for solving differential equations due to its unique features, such as multi-resolution analysis, compact support, and orthogonality. By decomposing functions into localized wavelet bases, wavelet methods efficiently capture sharp variations in solutions, making them ideal for problems involving strong nonlinearities or complex boundary conditions. Significant progress has been made in developing wavelet-based numerical methods, enabling the resolution of diverse mathematical challenges with high efficiency and precision. Key approaches include Laguerre wavelets [31], Hermite wavelets [32–34], Bernoulli wavelets [35–38], Taylor wavelets [39], Chebyshev wavelets [40], Genocchi wavelets [41], Fibonacci wavelets [42], and Haar wavelets [43], each tailored to specific problem requirements. The BWM combines the orthogonality and compact support of wavelets with the computational simplicity of Bernoulli polynomials, transforming nonlinear differential equations into solvable systems of algebraic equations. This hybrid approach has shown remarkable accuracy and convergence, particularly in heat transfer problems, making it an effective tool for analyzing convective-radiative fins with heat generation. The BWM has been successfully applied to a range of problems, including linear and nonlinear fractional differential equations [44], partial differential equations [45], and integral equations [46].
This study aims to utilize the BWM to evaluate the thermal performance of a convective-radiative fin with internal heat generation. The specific objectives are:
To develop a comprehensive mathematical model that integrates conduction, convection, radiation, and heat generation effects.
To implement the BWM for solving the governing equations.
To validate the method by comparing results with existing analytical or numerical solutions.
To analyze the impact of key parameters, including convection and radiation coefficients, heat generation rate, and fin geometry, on thermal performance.
The findings from this study will deepen the understanding of complex heat transfer mechanisms in convective-radiative fins with heat generation. Additionally, the BWM demonstrates a computationally efficient and accurate solution framework, with potential applications to a broader range of nonlinear heat transfer problems.
Consider a rectangular fin with a straight geometry, characterized by a length b and a cross-sectional area Ac, as depicted in Figure 1.

Schematic diagram of straight rectangular fin.
The fin is assumed to be thermally insulated, with heat transfer in the vertical direction neglected. Under these conditions, the steady-state one-dimensional energy equation is expressed as:
Where Ac is the cross-sectional area of the fin, ε is emissivity, σ is Stefan–Boltzmann constant, T is the temperature, Ta is the convection sink temperature, Tb is the fin’s base temperature, P is fin perimeter, x is the axial co-ordinate along the fin, and q is the internal heat generation.
The relevant boundary conditions are
The heat conduction capacity of a metal is influenced by its temperature. For the material of the fin, it is assumed that the thermal conductivity changes linearly with temperature, as described by the relationship outlined below
Where ka is the thermal conductivity corresponding to ambient conditions, λ is the slope of the thermal conductivity-temperature curve. The highly non-linear, dimensionless differential equation governing the convective-radiative fin with internal heat generation, as described by Roy et al. [20],
The description of BWM is [35–38]
The initial Bernoulli numbers are as follows:
The following are some of the Bernoulli wavelet basis at k = 1.
Where ψ(η) = [ψ1,1(η), ψ1,2(η), ψ1,3(η), ψ1,4(η), ψ1,5(η), ψ1,6(η), ψ1,7(η), ψ1,8(η), ψ1,9(η), ψ1,10(η)]T. Integrate the first ten bases with respect to x over the interval [0, x], and express the result as a linear combination of the Bernoulli wavelet basis in the following form:
Hence,
The double integration of the aforementioned ten bases is presented below:
Hence,
In the same way, we can create matrices for our convenience.
Now, let’s assume that,
Integrate equation (6) with respect to η from 0 to η,
Integrate equation (7) with respect to η from 0 to η,
Substituting θ(1) = 1 in Eq. (8), we obtain,
Upon substituting (9) for (8), we arrive at,
Replace θ'', θ', θ in the governing equations and apply the collocation points
The BWM has proven to be an efficient and accurate tool for analyzing convective-radiative fins with heat generation, particularly in addressing highly nonlinear heat transfer problems. The method exhibits rapid convergence and strong agreement with established analytical and numerical results, such as those obtained using finite difference and finite element methods (Table 1). BWM simplifies the solution process, enhances computational efficiency, and effectively captures the influence of critical thermal parameters on the temperature distribution. The analysis reveals that internal heat generation significantly increases the fin’s temperature near the base, with this effect diminishing along the fin’s length as heat dissipation through convection and radiation becomes dominant. The interaction between convective and radiative heat transfer coefficients plays a critical role, with higher radiative coefficients enhancing cooling. Additionally, variations in thermal conductivity strongly influence the heat transfer rate, highlighting the importance of material selection in fin design.
Comparison of Bernoulli wavelet results with Roy et al. [20] for Nr = 0.2, Q = 0, Nc = 1, β = 0.2, θa = 0, θs = 0.
| η | BWM | ADM | NM | GM |
|---|---|---|---|---|
| 0 | 0.667011 | 0.666858 | 0.667013 | 0.667013 |
| 0.1 | 0.670132 | 0.669984 | 0.670132 | 0.670132 |
| 0.2 | 0.679512 | 0.679386 | 0.679514 | 0.679514 |
| 0.3 | 0.695228 | 0.695136 | 0.695229 | 0.695228 |
| 0.4 | 0.717398 | 0.717357 | 0.717399 | 0.717399 |
| 0.5 | 0.746198 | 0.746220 | 0.746198 | 0.746198 |
| 0.6 | 0.781854 | 0.781944 | 0.781855 | 0.781855 |
| 0.7 | 0.824659 | 0.824806 | 0.824655 | 0.824659 |
| 0.8 | 0.874972 | 0.875145 | 0.874972 | 0.874971 |
| 0.9 | 0.933238 | 0.933373 | 0.933237 | 0.933237 |
| 1.0 | 1.000000 | 1.000000 | 1.000000 | 1.000000 |
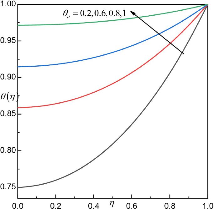
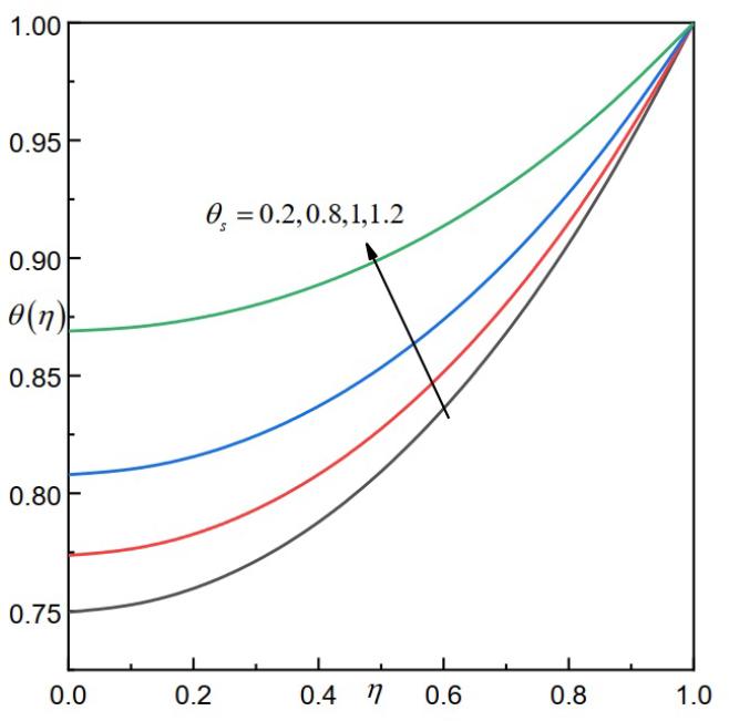
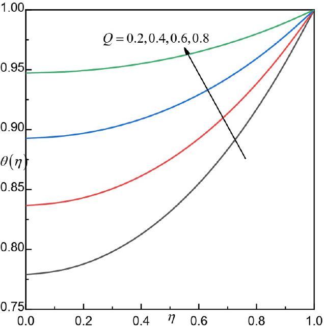
Increased thermal conductivity results in a more uniform temperature distribution along the fin, reducing temperature gradients and enhancing heat dissipation Figure 2. This underscores the importance of selecting materials with high thermal conductivity for optimal fin performance. Higher convection sink temperatures lead to elevated fin temperatures due to reduced heat transfer rates caused by a smaller temperature gradient between the fin and the surrounding environment Figure 3. This emphasizes the influence of operating conditions on thermal performance. Increased radiation sink temperatures result in higher fin temperatures, as reduced radiative heat loss limits cooling efficiency Figure 4. This interaction highlights the role of radiation in systems exposed to high-temperature environments. The conductive-convective parameter influences the balance between conductive and convective heat transfer mechanisms Figure 5. As this parameter increases, convective heat transfer becomes more dominant, significantly altering the temperature distribution along the fin. A higher radiation-conduction parameter indicates a stronger influence of radiative heat transfer Figure 6. This leads to distinct temperature profiles, particularly in high-temperature applications where radiation dominates over conduction. Increased heat generation raises the fin’s temperature, particularly near the base, as the internal heat source elevates thermal energy Figure 7. This effect diminishes along the fin’s length as convection and radiation counterbalance the heat generated internally.

Influence of β on θ(η) for Nc = 1, Nr = 0.2, θa = 0.2, θs = 0.2, Q = 0.1.

Influence of θa on θ(η) for Nc = 1, Nr = 0.2, β = 0.2, θs = 0.2, Q = 0.1.

Influence of θs on θ(η) for Nc = 1, Nr = 0.2, β = 0.2, θa = 0.2, Q = 0.1.

Influence of Nc on θ(η) for θs = 0.2, Nr = 0.2, β = 0.2, θa = 0.2, Q = 0.1.

Influence of Nr on θ(η) for θs = 0.2, Nc = 0.2, β = 0.2, θa = 0.2, Q = 0.1.

Influence of Q on θ(η) for θs = 0.2, Nc = 0.2, β = 0.2, θa = 0.2, Nr = 0.2.
The BWM demonstrates its robustness in solving nonlinear heat transfer problems, effectively capturing the interplay of thermal parameters such as heat generation, sink temperatures, and transfer coefficients. The results emphasize the critical role of optimizing material properties (e.g., thermal conductivity) and design parameters (e.g., radiation-conduction ratio) for improved thermal performance. This study highlights the versatility of the BWM in modeling complex heat transfer phenomena, providing a strong foundation for extending the analysis to more intricate geometries, nonlinear boundary conditions, and multi-physics scenarios. Its reliability and efficiency make it a valuable tool for advancing thermal management designs in engineering applications.
The BWM has proven to be a powerful and efficient approach for analyzing the thermal behaviour of convective-radiative fins with heat generation, particularly in addressing nonlinear heat transfer problems. The method demonstrates rapid convergence, computational efficiency, and strong agreement with established analytical and numerical results, such as those obtained using finite difference and finite element methods. Key findings of this study highlight the significant influence of critical thermal parameters on the temperature distribution along the fin. Internal heat generation substantially raises the temperature near the base, while the combined effects of convection and radiation dominate along the fin’s length, stabilizing the temperature profile. Material properties, such as thermal conductivity, play a pivotal role in optimizing heat transfer efficiency, while environmental factors like sink temperatures and the balance between conduction, convection, and radiation significantly impact the thermal performance of the fin. The BWM not only simplifies the solution process but also provides accurate insights into the complex interplay of heat transfer mechanisms. Its versatility and robustness make it a valuable tool for analyzing and optimizing thermal management systems in various engineering applications. Future research can leverage the BWM to address more intricate geometries, nonlinear boundary conditions, and multi-physics scenarios, further broadening its scope and utility in advanced heat transfer studies.