Have a personal or library account? Click to login
On the soliton solutions of the generalized stochastic nonlinear Schrödinger equation with Kerr effect and higher order nonlinearity via two analytical methods Cover

On the soliton solutions of the generalized stochastic nonlinear Schrödinger equation with Kerr effect and higher order nonlinearity via two analytical methods

Open Access
|Feb 2026

Figures & Tables

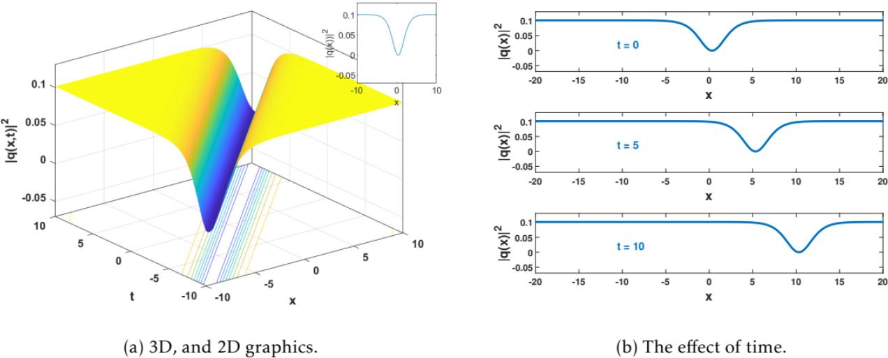
Fig. 1

Graphical representations of |q(x, t)|2 in Eq.(23).
Graphical representations of |q(x, t)|2 in Eq.(23).

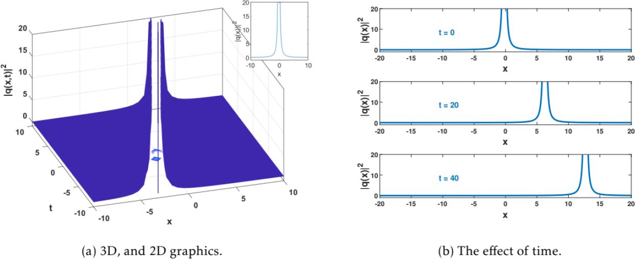
Fig. 2

Graphical representations of |q(x, t)|2 in Eq.(24).
Graphical representations of |q(x, t)|2 in Eq.(24).

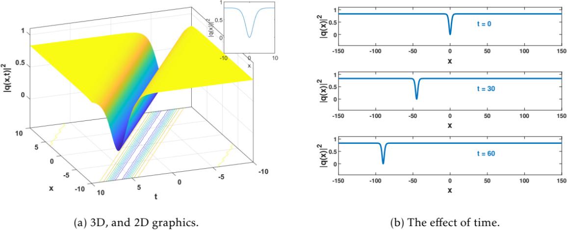
Fig. 3

Graphical representations of |q(x, t)|2 in Eq. (28).
Graphical representations of |q(x, t)|2 in Eq. (28).

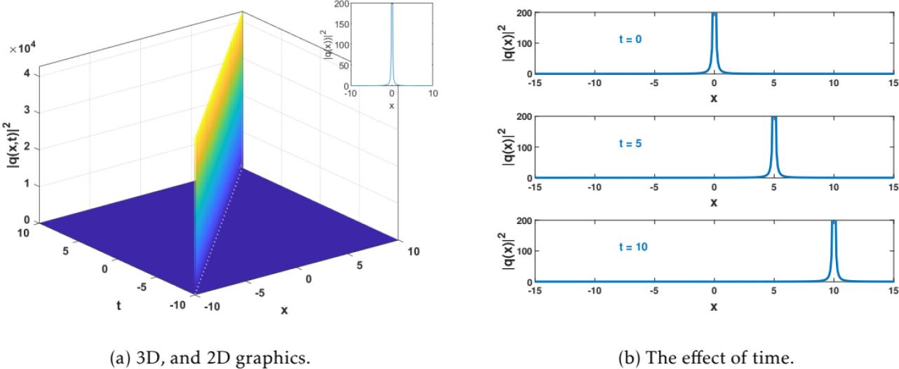
Fig. 4

Graphical representations of |q(x, t)|2 in Eq. (56).
Graphical representations of |q(x, t)|2 in Eq. (56).

Fig. 5

Graphical representations of |q(x, t)|2 in Eq. (60).
Graphical representations of |q(x, t)|2 in Eq. (60).

Fig. 6

Graphical representations of |q(x, t)|2 in Eq. (62).
Graphical representations of |q(x, t)|2 in Eq. (62).
Language: English
Submitted on: Jun 26, 2025
|
Accepted on: Aug 17, 2025
|
Published on: Feb 2, 2026
Published by: Harran University
In partnership with: Paradigm Publishing Services
Publication frequency: 2 issues per year

© 2026 Ali Khalid Salih, Hajar Farhan Ismael, published by Harran University
This work is licensed under the Creative Commons Attribution 4.0 License.

AHEAD OF PRINT