Fig. 1

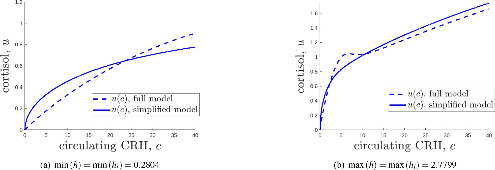
Fig. 2

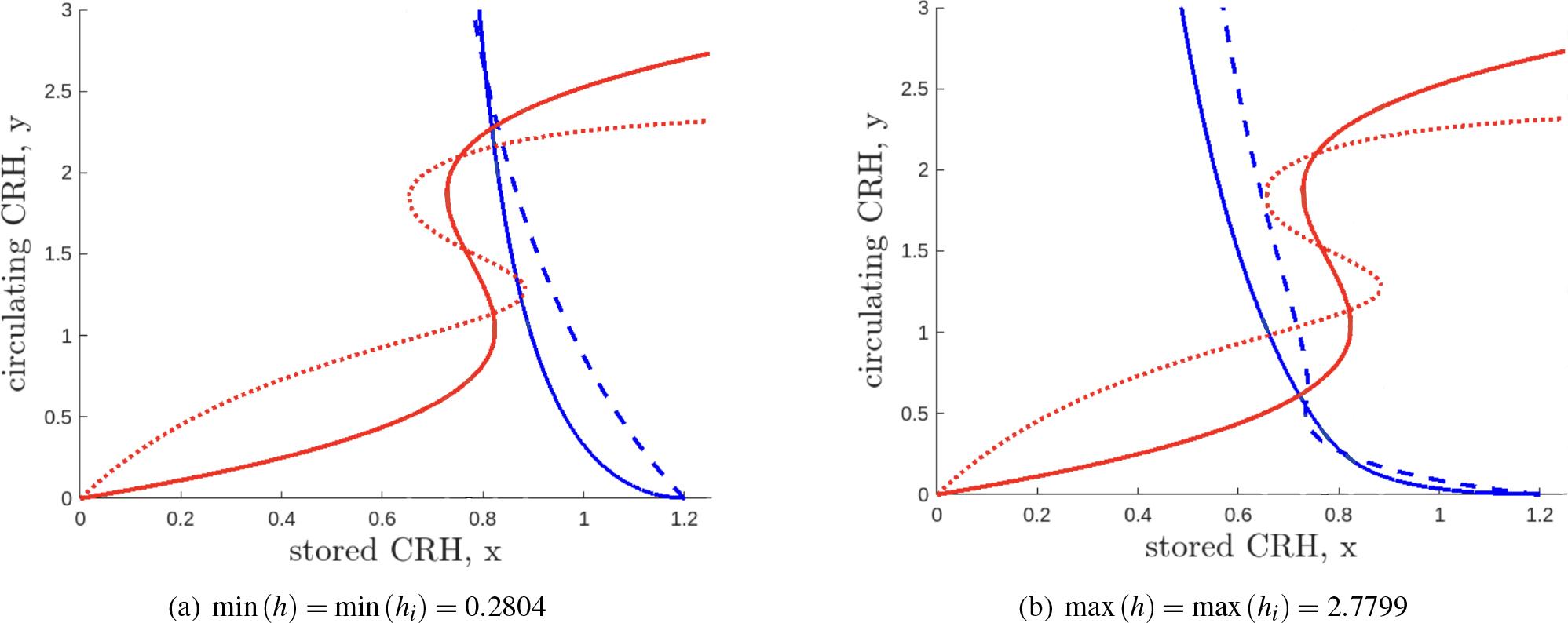
Fig. 3

Fig. 4

Fig. 5

Fig. 6

Fig. 7

Fig. 8

Dimensional parameter values_
| Parameter | Value | Description | Source(s) |
|---|---|---|---|
| 0.2 | Minimal stored baseline CRH | [28–30] | |
| b | 0.6 | Stored CRH decay rate as a function of cortisol | [28–30] |
| tc | 69.3 | CRH biosynthesis timescale | [28–30] |
| q0 | 28.0 | Maximum release rate of CRH in basal state | [28–30] |
| I0 | 1.0 | Basal level of the external stimuli | [28–30] |
| k | 2.83 | Relates stored CRH to CRH release rate | [28–30] |
| gc, max | 42.0 | Maximum auto/paracrine effect of CRH in the pituitary | [28–30] |
| n | 5 | Hill coefficient describing the self-up-regulation of CRH | [28–30] |
| 25.0 | Circulating CRH conc. at half-maximum self-up-regulation | [28–30] | |
| q2 | 1.8 | Ratio of CRH and cortisol decay rates | [28–30] |
| 0.067 | or-complex conc. for half-maximum negative feedback | [28–30] | |
| P3 | 7.2 | Ratio of ACTH and cortisol decay rates | [28–30] |
| p4 | 0.05 | (or-complex conc.)2 at half-maximum positive feedback on r production | [28–30] |
| P5 | 0.11 | Basal GR production rate by pituitary | [28–30] |
| P6 | 2.9 | Ratio of GR and cortisol decay rates | [28–30] |
| ω | 0.045 | Frequency of 24hr circadian rhythm | [28–30] |
| zB | 0.6 | Fluid ounces of alcohol for 12oz. beer | [25] |
| zW | 0.75 | Fluid ounces of alcohol for 6.25oz. wine | [25] |
| zL | 0.8 | Fluid ounces of alcohol for 2oz. liquor | [25] |
| β | 0.00015 | The alcohol elimination rate in kg/L/hr | [24, 31] |
| σ | 0.6 | Volume of distribution (a constant relating the distribution of water in the body in L/kg) | [24] |
| δ | 0.8 | The density of ethanol (0.8 oz. per fluid ounce) | [24] |
| Wf | 2732.8 | Average weight of a female in oz. | [32] |
| Wm | 3196.8 | Average weight of a male in oz. | [32] |
| A | 30 | Number of days in the period of concern | |
| BACmax | 0.0008 | Legal limit of BAC in the United States in kg/L | [33] |
| λ | (varies) with λ ∈ [0,7] | Number of days per week (7 days) where alcohol was consumed of any quantity and type. |
Ranges of φ¯(t˜)\bar \varphi (\tilde t) by setting t˜=ti=0\tilde t = {t_i} = 0 in Eq_(5) with Nj = randint{ 1,10} (See Appendix 7) for each dj and changing z and W as needed_ In the everyday schedule, the value of φ¯(t˜)\bar \varphi (\tilde t) varies daily, since Nj is not fixed_ See Figure 6_
| Beer | Wine | Liquor | |
|---|---|---|---|
| Male | |||
| Female |
Maximum values of φ¯(t˜)\bar \varphi \left( {\tilde t} \right) which occur when t˜=ti=0\tilde t = {t_i} = 0 in Eq_(5) with Nj = 10 for each dj and changing z and W as needed_ In the everyday schedule, the value of φ¯(t˜)\bar \varphi \left( {\tilde t} \right) is uniform across each day since Nj is fixed_ This is not the case in Figure 6, however_ See Table 4_
| Beer | Wine | Liquor | |
|---|---|---|---|
| Male | |||
| Female |
j_ijmce-2026-0006_tab_000
| College | Everyday | Weekdays | Weekend | Sporadic |
|---|---|---|---|---|
| 0 | 0 | 0 | 1 | 1 | 1 | 1 | 1 | 1 | 1 | 1 | 1 | 1 | 1 | 1 | 1 | 1 | 1 | 1 | 0 | 0 | 0 | 0 | 0 | 0 | 0 | 1 | 1 | α | α | α | α | α | α | α |
Correspondence between t values and times of day_
| t (hours past 8:00 AM) | Time of Day |
|---|---|
| 0 | 8:00 AM |
| 2:00 PM | |
| π | 8:00 PM |
| 2:00 AM (next day) | |
| 2π | 8:00 AM (next day) |
Maximum values of φ¯(t˜)\bar \varphi (\tilde t) which occur when t˜=ti=0\tilde t = {t_i} = 0 in Eq_(5) with Nj = 10 for each dj and changing z and W as needed_ In the everyday schedule, the value of φ¯(t˜)\bar \varphi (\tilde t) uniform across each day_ This is not the case in Fig_ 8, however_ See Table 6_
| Beer | Wine | Liquor | |
|---|---|---|---|
| Male | |||
| Female |
Ranges of φ¯(t˜)\bar \varphi (\tilde t) by setting t˜=ti=0\tilde t = {t_i} = 0 in Eq_(5) with Nj = randint{1, 10} (See Appendix 7) for each dj and changing z and W as needed_ In the everyday schedule, the value of φ¯(t˜)\bar \varphi (\tilde t) varies daily_ See Figure 8_
| Beer | Wine | Liquor | |
|---|---|---|---|
| Male | |||
| Female |