Have a personal or library account? Click to login
On Laplacian and distance Laplacian spectra of generalized fan graph and a new graph class Cover

On Laplacian and distance Laplacian spectra of generalized fan graph and a new graph class

Open Access
|Dec 2025

Figures & Tables

Fig. 1

K¯
3
{\bar K_3}
K¯ 3 {\bar K_3}

Fig. 2

P4
P4

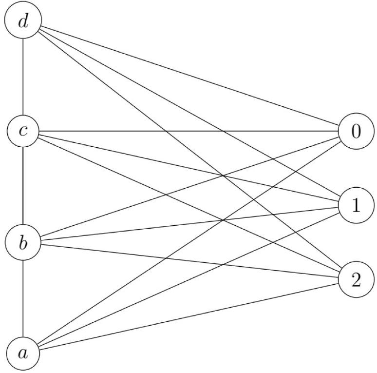
Fig. 3

The generalized fan graph F3,4.
The generalized fan graph F3,4.

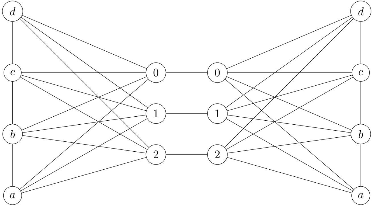
Fig. 4

The graph 𝒩 𝒞3,4.
The graph 𝒩 𝒞3,4.
Language: English
Submitted on: Jan 1, 2024
Accepted on: May 9, 2024
Published on: Dec 16, 2025
Published by: Harran University
In partnership with: Paradigm Publishing Services
Publication frequency: 2 issues per year

© 2025 Subarsha Banerjee, Soumya Ganguly, published by Harran University
This work is licensed under the Creative Commons Attribution 4.0 License.

AHEAD OF PRINT