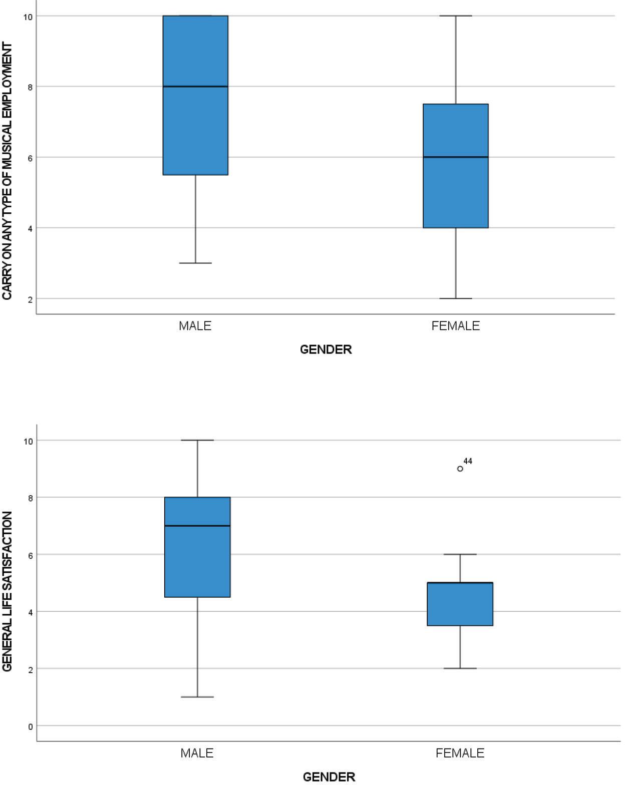
Figure 1.

Figure 2.

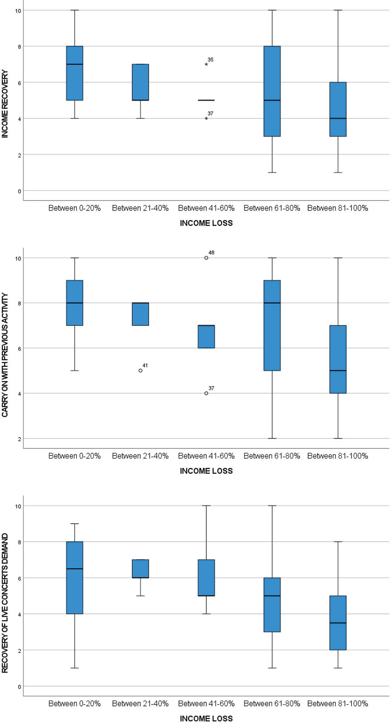
Figure 3.

Figure 4.

Figure 5.

Figure 6.

Figure 7.

Figure 8.

Figure 9.

Figure 10.

Figure 11.

Figure 12.

Figure 13.

Figure 14.

Results of inference (impact of COVID-19 on income-V3, V4, V7)_
| Model 4 (income) | V3 (expectations on future income recovery) | V4 (expectations regarding carrying on with own activity) | V7 (expectations recovery of the demand live concerts) |
|---|---|---|---|
| Total No. | 55 | 55 | 55 |
| Test statistic | 8.001a | 10.820a | 10.600a |
| Degrees of freedom | 3 | 4 | 4 |
| Asymptotic sig. (bilateral test) | 0.046 | 0.029 | 0.031 |
Results of inference (other job – V7)_
| Model 3 (other job) | V7 (expectations recovery of the demand live concerts) |
|---|---|
| Total No. | 55 |
| Test statistic | 10.712a |
| Degrees of freedom | 3 |
| Asymptotic sig. (bilateral test) | 0.013 |
Results of inference (age, V4)_
| Model 4 (age) | V4 (expectations regarding carrying on with own activity) |
|---|---|
| Total No. | 55 |
| Mann–Whitney’s U | 530.500 |
| Wilcoxon’s W | 1,058.500 |
| Test statistic | 530.837 |
| Standard error | 57.837 |
| Standardised test statistic | 2.810 |
| Asymptotic sig. (bilateral test) | 0.005 |
Results of inference (impact of COVID-19 on activity-V3)_
| Model 4 (activity) | V3 (expectations on future income recovery) |
|---|---|
| Total No. | 55 |
| Test statistic | 8.001a |
| Degrees of freedom | 3 |
| Asymptotic sig. (bilateral test) | 0.046 |
Results of inference (gender-V5, V8)_
| Model 1 (gender) | V5 (expectations carrying on any musical activity) | V8 (satisfaction with life) |
|---|---|---|
| Total No. | 55 | 55 |
| Mann–Whitney’s U | 152.000 | 149.000 |
| Wilcoxon’s W | 230.000 | 227.000 |
| Test statistic | 152.000 | 149.000 |
| Standard error | 48.233 | 48.524 |
| Standardised test statistic | −2.198 | −2.246 |
| Asymptotic sig. (bilateral test) | 0.028 | 0.025 |
Independent variables (general characteristics)_
| I1 | Gender |
| I2 | Music studies |
| I3 | Other studies |
| I4 | Age |
| I5 | Experience |
| I6 | Other job |
| I7 | Music style |
| I8 | Labour market situation |
Dependent variables_
| V1 | Impact of COVID-19 on own musical activity |
| V2 | Impact of COVID-19 on income |
| V3 | Expectations regarding income recovery in 2021 and beyond |
| V4 | Expectations regarding carrying on with same type of musical employment in 2021 and beyond |
| V5 | Expectations regarding carrying on with any type of musical employment in 2021 and beyond |
| V6 | Expectations regarding a recovery of the demand of own musical activity in 2021 and beyond |
| V7 | Expectations regarding a recovery of the demand of live concerts in 2021 and beyond |
| V8 | General life satisfaction |
Results of inference (gender-V3, V6 and V7)_
| Model 2 (music studies) | V3 (expectations on future income recovery) | V6 (expectations on own activity demand recovery) | V7 (expectations on live concerts' demand recovery) |
|---|---|---|---|
| Total No. | 55 | 55 | 55 |
| Mann-Whitney’s U | 245.500 | 200.000 | 218.500 |
| Wilcoxon’s W | 521.500 | 476.000 | 494.500 |
| Test statistic | 245.500 | 200.000 | 218.500 |
| Standard error | 57.947 | 58.099 | 58.128 |
| Standardised test statistic | −2.114 | −2.892 | −2.572 |
| Asymptotic sig. (bilateral test) | 0.035 | 0.004 | 0.010 |
Correlation rates (independent variables – V1, V2)_
| I1 | I2 | I3 | I4 | I5 | I6 | I7 | I8 | |
|---|---|---|---|---|---|---|---|---|
| V1 | −0.096 | 0.145 | −0.159 | −0.042 | −0.168 | 0.026 | −0.101 | 0.116 |
| V2 | −0.113 | 0.044 | 0.028 | 0.007 | −0.035 | 0.168 | 0.100 | −0.035 |
Results on inference tests_
| Independent variable | Hypothesis | Affected variable | Sig. level | |
|---|---|---|---|---|
| V1 | Impact of COVID-19 on activity | H8 | V3 | 0.046 |
| V2 | Impact of COVID-19 on income | H9 | V3 | 0.027 |
| H10 | V4 | 0.029 | ||
| H11 | V7 | 0.031 |
Correlation rates (independent variables – V3–V8)_
| I1 | I2 | I3 | I4 | I5 | I6 | I7 | I8 | |
|---|---|---|---|---|---|---|---|---|
| V3 | −0.212 | −0.288* | −0.013 | 0.145 | 0.102 | −0.095 | −0.130 | −0.034 |
| V4 | −0.136 | −0.202 | −0.29 | 0.296* | 0.269* | −0.093 | −0.241 | 0.109 |
| V5 | −0.299* | 0.084 | −0.012 | 0.145 | 0.202 | −0.049 | −0.074 | 0.114 |
| V6 | −0.229 | −0.394** | −0.158 | 0.084 | 0.155 | −0.219 | −0.123 | −0.152 |
| V7 | −0.203 | −0.350** | −0.172 | −0.019 | 0.125 | −0.332* | −0.055 | −0.106 |
| V8 | −0.306* | −0.039 | −0.034 | −0.077 | −0.083 | −0.122 | −0.135 | −0.045 |
Inference main results_
| Independent variable | Hypothesis | Affected variable | Sig. level | |
|---|---|---|---|---|
| I1 | Gender | H1 | V5 | 0.028 |
| H2 | V8 | 0.025 | ||
| I2 | Music studies | H3 | V3 | 0.035 |
| H4 | V6 | 0.04 | ||
| H5 | V7 | 0.01 | ||
| I4 | Other job | H6 | V7 | 0.013 |
| I5 | Age | H7 | V4 | 0.005 |
Correlation rates (V1, V2 – V3–V8)_
| V3 | V4 | V5 | V6 | V7 | V8 | |
|---|---|---|---|---|---|---|
| V1 | −0.350** | −0.0145 | −0.152 | −0.351** | −0.282* | −0.298* |
| V2 | −0.435** | −0.425** | −0.315* | −0.362** | −0.409** | −0.289* |