COVID-19 had a huge impact on our lives and it hurt many economic sectors. Some of the policies to fight against COVID-19 such as lockdowns, mobility and schedule restrictions, and capacity limitations on all kinds of events, have challenged business models in many sectors. This is the case in the arts and culture sector in general, and musicians in particular (Botstein 2019).
Previous research works describe arts and creativity-related jobs as being peculiar. There is a consensus among scholars that creative jobs are precarious (Banks 2017; Butler & Stoyanova Russell 2018; Comunian & Conor 2017; McRobbie 1998). On the one hand, jobs related to arts and creative sectors, such as musicians, have low average incomes (Abbing 2008). Artistic income is highly skewed, with a few “winner-superstars” achieving big success and very high income, leaving the majority of artistic workers with very low incomes, teetering on the verge of poverty (Abbing 2008; Alacovska & Bille 2020; Bille 2020; Menger 2006). On the other hand, arts and creative sectors work under project-based production systems, where short-term contracts are very common. In this context, artists and creative sector workers must learn to maintain their jobs, managing risks by holding multiple jobs, being versatile and diversifying their work portfolios (McRobbie 1998; Menger 1999, 2006, 2014; Throsby & Petetskaya 2017). For many authors, creative workers, such as musicians, represent a good example of multiple job holding (Rengers & Madden 2000; Throsby 2007; Throsby & Zednik 2011; Withers 1985). Self-employment is also very common among musicians (Coulson 2012; Menger 1999, 2006). Several studies (Alfarone & Merlone 2021; Chafe & Kaida 2020; Dobson 2011; Jacukowicz & Wezyk 2018; Long 2015; Parker et al. 2021) highlight the presence of so-called job insecurity, a psychological condition that manifests itself among workers who fear losing their job and becoming unemployed (De White 1999). Strong et al. (2020) also find that music sector workers usually must face long workdays, which can lead to bad mental health, highlighting that many workers in the sector are burnt out. In addition, alcohol and drug consumption is higher than in other sectors (Dobson 2011; Eynde et al. 2015).
So even before the COVID-19 pandemic, the music job market has not been among the most fortunate, and being a successful musician was demanding (Zwaan et al. 2009). As Comunian and Conor (2017) stated, precariousness among creative and cultural works often only becomes visible during periods of crisis, and this has been the case with COVID-19 and musicians: a sector that was already in precarious conditions, but has been deeply hurt by the pandemic (Brunt et al. 2021).
Research works done during the pandemic show that COVID-19 brought financial losses and anxiety to musicians due to uncertainty regarding the future of music-related activities. Rendel (2020) highlights the negative effect of the pandemic on musicians’ finances. It is important to mention that most musicians’ main source of income comes from live concerts (Gross et al. 2018), so restrictions on schedule, capacity and mobility really hurt musicians’ economy. During lockdowns, health prevention measures made it difficult to organise concerts and get back to pre-pandemic occupation levels (Brunt & Nelligan 2021). A study conducted among Italian musicians concludes that musicians’ perception of job insecurity increased in the post-pandemic period (Alfarone & Merlone 2022). This study also finds a strong relationship between job insecurity and intentions of leaving the profession.
Escalona et al. (2021) conducted research to evaluate the impact of COVID-19 in the culture and creative sector in 81 Spanish cities. They used employment data from nine sectors belonging to culture and creativity. They concluded by emphasising the vulnerability and precariousness of creative workers. Crosby and Mckenzie (2022) conducted a survey among Australian musicians to analyse the effect of COVID-19 on musicians’ activity, income and expectations. They concluded that professional musicians were severely impacted by COVID-19. Musicians had a significant drop in their incomes, and the overall sentiment about future income and employment was quite negative among the majority of respondents.
Although musicians must face many challenges and difficulties, especially during the pandemic, the academic literature also highlights positive psychic effects on music professionals compared with other professions (Baumol & Throsby 2012; Bille et al. 2013; Longden & Throsby 2020; Steiner & Schneider 2013). In creative environments, many professionals look for a balance between time dedicated to creativity (linked to positive psychic effect but low average income), and time spent on other activities that may not be as inspiring, but have a bigger economic return (Baumol & Trosby 2012; Throsby 1994). Perhaps due to the abovementioned dynamics, Potts and Shehadeh (2014) argue that non-monetary motives drive creative workers’ decision-making. In addition, Throsby (1994) highlighted that non-pecuniary benefits of work, such as autonomy or self-realisation, become the ultimate payments for artists. A musician’s core motivation is to express feelings, to develop an artistic view and not just to make money.
This may explain the observed tendency among some musicians and other industry agents of being optimistic, or confident about the industry bouncing back (Cooper 2020), despite the adversities of the sector. “On the upside, streaming will likely increase and the ever-resourceful and resilient music industry will find ways to survive and even thrive through engaging with fans on social media” (Gordi, on Lim 2020). There is also a growing literature that explains musicians’ resilience amid adversity on the context of social organisation of labour, by highlighting informal cash-in-hand work, non-monetised barter exchanges, mutual aid and favour swapping (Alacovska & Bille 2020). Collaboration dynamics and networking are also essential in creative environments (Coulson 2012; Umney et al. 2013).
Brereton (2020) argues that musicians have the capability to face adverse situations, and to be innovative when new scenarios arrive. To face the challenges imposed by COVID-19, many musicians decided to offer intimate concerts, performed at home, using online tools (Sanchez & Lock 2020). Although this so-called Portal Shows are not new (Trainer 2015), they increased considerably during the pandemic. Musicians also used online technologies to establish new cooperation dynamics (Eames 2020). As opposed to musicians’ hard situation, the use of music increased during the pandemic. The results of a survey conducted by Cabedo et al. (2021) in Spain show that people dedicated more time to music activities (listening to music, play an instrument, dance, etc.) during the pandemic. The survey results also show that during the pandemic, the perceived value of music increased.
In this context, the objective of this article is to analyse the impact of COVID-19 on musicians’ activity, income, future expectations and life satisfaction as well as the associations among them.
Based on previous academic literature review, this article proposes the following model to evaluate the effect of COVID-19 on Basque musicians.
As can be seen in Figure 1, the proposed model contemplates three types of associations that will be analysed separately in the “Results” section. The first type of association refers to the way in which the general characteristics of musicians (independent variables) condition the impact of COVID-19 on music activity (V1) and income (V2). The question we want to address is whether certain groups are more vulnerable to the impact of COVID-19. For example, did COVID-19 have a bigger impact on female musicians compared with male musicians?

Evaluation model.
The second type of association refers to the way in which the general characteristics of musicians (independent variables) condition future expectations (V3–V7) and life satisfaction (V8). The question we want to address is whether certain general characteristics can condition future expectations and life satisfaction. For example, does having music formation condition future expectations?
The third type of association refers to the way in which the COVID-19 impact (V1, V2) can condition future expectations (V3–V7) and life satisfaction (V8). Do musicians whose activity and income were hardly cut by COVID-19 have lower future expectations and life satisfaction?
In line with previous academic literature, the impact of COVID-19 on Basque musicians could be expected to be negative (Alfarone & Merlone 2022; Brunt et al. 2021; Rendel 2020). This paper addresses the degree to which certain characteristics can make certain musicians more vulnerable than others are. In this regard, it wouldn’t be surprising that previous vulnerability factors would further trigger precariousness among musicians. To have music studies, or other type of studies, another job besides music, or a stable job within music (not the norm within the sector) could, a priori, counter the negative impact of COVID-19 and favour future expectations and life satisfaction. In addition, women could also be more vulnerable in a masculinised industry.
To evaluate the proposed model, a survey among Basque musicians was conducted, and the obtained data were analysed considering various steps.
Step 1: Correlation rates were calculated among selected variables. Since the selected variables are nominal (independent variables) or ordinal (dependent variables), Spearman’s Rho was calculated.
Step 2: Once correlation rates are analysed and interpreted, the main hypothesis were defined.
Step 3: The hypothesis contrasts were carried out. Since the selected variables are nominal (independent variables) or ordinal (dependent variables), non-parametric methods were used. In the cases where the independent variable is dichotomous, the Mann Whitney test was used. Otherwise, the Kruskal–Wallis test was used.
The entire procedure was carried out using SPSS software.
Based on the abovementioned steps, the following hypotheses were defined.
These are the hypothesis for the inference tests carried out for independent variable Gender.
V5: Any musical activity
Hypothesis 1: The distribution of expectations regarding carrying on with any musical activity in 2021 and beyond is the same among musicians of different genders.
V8: Satisfaction with life
Hypothesis 2: The distribution of satisfaction with life is the same among musicians of different genders.
These are the hypothesis for the inference tests carried out for independent variable Musical Studies.
V3: Future income recovery
Hypothesis 3: The distribution of expectations regarding a recovery of music-related income in 2021 and beyond is the same between musicians who have musical studies and those who do not.
V6: Recovery of the demand related to musician´s pre COVID-19 activity
Hypothesis 4: The distribution of expectations regarding a recovery of the demand related to musicians’ pre COVID-19 activity in 2021 and beyond is the same between musicians who have musical studies and those who do not.
V7: Recovery of the demand related to live concerts in the short term
Hypothesis 5: The distribution of expectations regarding a recovery of the demand related to live concerts in 2021 and beyond is the same between musicians who have musical studies and those who do not.
This is the hypothesis for the inference test carried out for the independent variable, Other Job.
V7: Recovery of the demand related to live concerts in the short term
Hypothesis 6: The distribution of expectations regarding a recovery of the demand related to live concerts in 2021 and beyond is the same among musicians with different labour contexts.
This is the hypothesis for the inference test carried out for independent variable, Age.
V4: Carry on with own previous activity
Hypothesis 7: The distribution of expectations regarding carrying on with musicians’ pre-COVID-19 activity in 2021 and beyond is the same among musicians with different ages.
This is the hypothesis for the inference test carried out for the variable, Impact of COVID-19 on activity.
V3: Expectations on future income recovery
Hypothesis 8: The distribution of expectations regarding a recovery of music-related income in 2021 and beyond is the same among musicians who had a different impact on their activity due to COVID-19.
These are the hypotheses for the inference test carried out for the variable, Impact of COVID-19 on income.
V3: Future income recovery
Hypothesis 9: The distribution of expectations regarding a recovery of music-related income in 2021 and beyond is the same among musicians who had a different impact on their income due to COVID-19.
V4: Carry on with own previous activity
Hypothesis 10: The distribution of expectations regarding carrying on with musicians’ pre-COVID-19 activity in 2021 and beyond is the same among musicians who had a different impact on their income due to COVID-19.
V7: Recovery of the demand related to live concerts in the short term
Hypothesis 11: The distribution of expectations regarding a recovery of the demand related to live concerts in 2021 and beyond is the same among musicians who had a different impact on their income due to COVID-19.
A survey among Basque musicians belonging to the association MUSIKARI was conducted during June 2021. An online questionnaire was sent to the management of MUSIKARI association, and it was distributed among its members. The questionnaire was entirely anonymous and voluntary; participants could withdraw their participation anytime, and the possibility to contact the researchers was provided. MUSIKARI holds 310 musicians, from which 55 valid answers were obtained. In a context marked by severe restrictions for music activity, the survey contained questions referring to three main blocks.
Musicians’ general characteristics.
Impact of COVID-19 on activity and income.
Post COVID-19 expectations and current life satisfaction.
Table 1 shows the main independent variables considered for the analysis. As can be seen, the chosen independent variables reflect the general characteristics of the musician. They are all nominal variables.
Independent variables (general characteristics).
| I1 | Gender |
| I2 | Music studies |
| I3 | Other studies |
| I4 | Age |
| I5 | Experience |
| I6 | Other job |
| I7 | Music style |
| I8 | Labour market situation |
Gender variable (I1) offered three possible answers: male, female and non-binary. Despite the three options, the obtained answers only contemplate male and female. This turns the variable into a dichotomous variable.
Music studies variable (I2) is a dichotomous variable; two possible answers were offered (yes or no).
Other studies variable (V3) offered three possible answers:
- ✓
Primary studies
- ✓
Secondary studies
- ✓
University studies
- ✓
Age variable (I4) was originally a scalar variable, but a dichotomous variable was created for the analysis. Group 1 comprised those born between 1954 and 1974 (Group 1, older musicians). Group 2 comprised those born between 1975 and 1995 (Group 2, younger musicians).
Experience variable (I5) was originally a scalar variable, but it was split into three main groups to obtain homogeneous time periods. Group 1 was formed by those who started their music activity between 1973 and 1987. Group 2 was formed by those who started their music activity between 1988 and 2002. Group 3 was formed by those who started their music activity after 2003.
Other Job, variable (I6) offered four different answers:
- ✓
I have another job besides music and it is related to music (music teacher, music journalist, etc.)
- ✓
I have another job besides music and it is related to creativity or art
- ✓
I have another job besides music and it is not related to music nor creativity or art
- ✓
I do not have another job besides music
- ✓
Music style variable (I7) offered five possible answers:
- ✓
Classic, contemporary
- ✓
Rock, pop, folk, blues, jazz, soul…
- ✓
Urban music (Hip-Hop, Trap…)
- ✓
Electronic music
- ✓
Others
- ✓
Labour market situation variable (I8) offered six possible answers:
- ✓
Salaried employee
- ✓
Self-employed
- ✓
Public worker
- ✓
Other type of association
- ✓
Retired
- ✓
Others
- ✓
Table 2 shows the dependent variables considered for analysis.
- -
V1 and V2 measure the effect of COVID on music activity (V1) and on music-related income (V2)
- -
V2–V7 measure expectations regarding future of music-related activity in a context of COVID-19, and V8 measures satisfaction with life.
Dependent variables.
| V1 | Impact of COVID-19 on own musical activity |
| V2 | Impact of COVID-19 on income |
| V3 | Expectations regarding income recovery in 2021 and beyond |
| V4 | Expectations regarding carrying on with same type of musical employment in 2021 and beyond |
| V5 | Expectations regarding carrying on with any type of musical employment in 2021 and beyond |
| V6 | Expectations regarding a recovery of the demand of own musical activity in 2021 and beyond |
| V7 | Expectations regarding a recovery of the demand of live concerts in 2021 and beyond |
| V8 | General life satisfaction |
All these variables are ordinal variables. Variables 1 and 2 offered five possible answers. While the answers for Variable 1 (effect of COVID-19 on music activity) ranged from “very positive” (1), to “very negative” (5), answers to Variable 2 (impact of COVID-19 on income) ranged from an income loss between 0% and 20% (1) to an income loss between 81% and 100% (5). V3–V8 offered ten possible answers (being 1 = very low, and 10 = very high).
Among the musicians who participated in the survey, the vast majority (78%) were men. The average age was 43.3 years old with a standard deviation of 10.56 (see Figure 2).

Gender and year of birth.
Most of the musicians who participated in the survey (58%) had formal musical studies. Among them, most of them had high-degree music studies. Regarding other types of studies, more than half of the participants had university studies (see Figure 3).

Musical and other studies.
The musicians who participated in the survey showed a very diverse profile as many of them performed various roles within music creation. However, the main role is the interpreter. Styles associated with rock are the most prominent, with a small presence of styles related to electronic or urban music. As far as the labour market situation goes, more than one-third of the participants are salaried workers, and almost another one-third are self-employed workers (see Figure 4).

Type of musician, music style and labour market situation.
The main income source for the musicians who participated in the survey are live performances. More than 80% of the participants had another job besides music. Among them, over half had another music-related job (music journalism, music teacher…) (see Figure 5).

Main income source and other job.
The following section presents the main results of the analysis considering the abovementioned associations.
This section presents the main results regarding the effect of the selected independent variables on the impact of COVID-19 on music activity (V1) and income (V2). Table 3 shows Spearman’s correlation rates for the selected variables. As can be seen, V1 and V2 are not strongly correlated to any of the defined independent variables. This means that there are no differences on the impact of COVID-19 on music activity and income depending on Gender, Age, Music style, and so on. Nevertheless, it is important to mention that this impact has been severe overall.
Correlation rates (independent variables – V1, V2).
| I1 | I2 | I3 | I4 | I5 | I6 | I7 | I8 | |
|---|---|---|---|---|---|---|---|---|
| V1 | −0.096 | 0.145 | −0.159 | −0.042 | −0.168 | 0.026 | −0.101 | 0.116 |
| V2 | −0.113 | 0.044 | 0.028 | 0.007 | −0.035 | 0.168 | 0.100 | −0.035 |
Figure 6 shows the impact of COVID-19 on music activity and income.

Impact of COVID-19 on music activity and income.
As can be seen, the impact of COVID-19 on music activity has been negative or very negative for 93% of participants. The percentage of musicians who had inactivity periods in 2020 was 85%, increasing by 25 points when compared with 2019. As far as income goes, more than half of the participants in the survey lost more than half of their music-related income.
In order to counterbalance the negative impact of COVID-19, many musicians have undertaken different types of actions to retain their income and to create new income sources. Figure 7 shows actions taken by musicians during the pandemic.

Form of income support and new online media strategies..
As can be seen, over 40% of participants had to use their own savings to counter-balance the financial losses due to COVID-19; 20% of participants developed new collaborative projects during COVID-19. The same percentage of participants (20%) generated new income sources to mitigate financial losses because of COVID-19. Media strategies such as increasing recorded music income by distributing in new ways, or replacing live concerts with online portal shows was only carried out by 5% of participants each.
Figure 8 shows musicians’ behaviour towards COVID-19 grants and funding. As can be seen, most of the participants (76%) did not apply for COVID-19 grants and funding. Among participants who decided not to apply for COVID-19 grants and funding, most of them argue that they did not fit the requirements (50%); 39% didn’t apply because they had another income source.

COVID-19 grants and funding.
This section presents the main results regarding the effect of the selected independent variables (Gender, Age, etc.) on future expectations (V3–V7) and life satisfaction (V8). Table 4 shows Spearman’s correlation rates for the selected variables. As can be seen, there are strong correlations among some of the selected variables. To further analyse the associations among those variables, inference tests were carried out. Table 4 shows the main results of the inference tests carried out and defined in Section 2.
Correlation rates (independent variables – V3–V8).
| I1 | I2 | I3 | I4 | I5 | I6 | I7 | I8 | |
|---|---|---|---|---|---|---|---|---|
| V3 | −0.212 | −0.288* | −0.013 | 0.145 | 0.102 | −0.095 | −0.130 | −0.034 |
| V4 | −0.136 | −0.202 | −0.29 | 0.296* | 0.269* | −0.093 | −0.241 | 0.109 |
| V5 | −0.299* | 0.084 | −0.012 | 0.145 | 0.202 | −0.049 | −0.074 | 0.114 |
| V6 | −0.229 | −0.394** | −0.158 | 0.084 | 0.155 | −0.219 | −0.123 | −0.152 |
| V7 | −0.203 | −0.350** | −0.172 | −0.019 | 0.125 | −0.332* | −0.055 | −0.106 |
| V8 | −0.306* | −0.039 | −0.034 | −0.077 | −0.083 | −0.122 | −0.135 | −0.045 |
Significant correlation on 0.05 level.
Significant correlation on 0.01 level.
As can be seen in Table 5, Gender, Music studies, Other job and Age are significant variables when it comes to evaluate future expectations and life satisfaction. Results of the inference are presented considering each of the independent variables.
Inference main results.
| Independent variable | Hypothesis | Affected variable | Sig. level | |
|---|---|---|---|---|
| I1 | Gender | H1 | V5 | 0.028 |
| H2 | V8 | 0.025 | ||
| I2 | Music studies | H3 | V3 | 0.035 |
| H4 | V6 | 0.04 | ||
| H5 | V7 | 0.01 | ||
| I4 | Other job | H6 | V7 | 0.013 |
| I5 | Age | H7 | V4 | 0.005 |
Table 6 shows the main results for the hypothesis contrasts carried out for Gender.
Results of inference (gender-V5, V8).
| Model 1 (gender) | V5 (expectations carrying on any musical activity) | V8 (satisfaction with life) |
|---|---|---|
| Total No. | 55 | 55 |
| Mann–Whitney’s U | 152.000 | 149.000 |
| Wilcoxon’s W | 230.000 | 227.000 |
| Test statistic | 152.000 | 149.000 |
| Standard error | 48.233 | 48.524 |
| Standardised test statistic | −2.198 | −2.246 |
| Asymptotic sig. (bilateral test) | 0.028 | 0.025 |
As can be seen, both hypotheses (H1 and H2) are rejected. Therefore, Gender is a significant variable when it comes to explain V5 and V8. The significance level is 0.028 for V5 and 0.025 for V8.
Figure 9 shows the box-plots for the above mentioned variables.

Box plots of V5 (up) and V8 (down) by gender.
As can be seen, in the case of V5, male musicians seem to be more confident about continuing with any type of musical employment in 2021 and beyond, while female musicians do not seem to be so sure. The medians are 8 and 6 for male and female musicians, respectively. In the case of V8, male musicians seem to be more satisfied with their lives than female musicians. While male musicians’ median is 7, females’ is 5.
Table 7 shows the main results for the hypothesis contrasts carried out for Music Studies.
Results of inference (gender-V3, V6 and V7).
| Model 2 (music studies) | V3 (expectations on future income recovery) | V6 (expectations on own activity demand recovery) | V7 (expectations on live concerts' demand recovery) |
|---|---|---|---|
| Total No. | 55 | 55 | 55 |
| Mann-Whitney’s U | 245.500 | 200.000 | 218.500 |
| Wilcoxon’s W | 521.500 | 476.000 | 494.500 |
| Test statistic | 245.500 | 200.000 | 218.500 |
| Standard error | 57.947 | 58.099 | 58.128 |
| Standardised test statistic | −2.114 | −2.892 | −2.572 |
| Asymptotic sig. (bilateral test) | 0.035 | 0.004 | 0.010 |
As can be seen, all three hypotheses (H3–H5) are rejected. Therefore, Music Studies is a significant variable when it comes to explain V3, V6 and V7. The significance level is 0.035 for V3, 0.004 for V6 and 0.010 for V7.
Figure 10 shows the box-plots for the analysed variables.

Box plots of V3 (up), V6 (middle) and V7 (down) by music studies.
As can be seen, musicians who have formal music studies tend to be more optimistic about the recovery of income, recovery of demand for own music activity and recovery of demand for live concerts. The medians are higher in the case of formed musicians for V3, V6 and V7.
Table 8 shows the main results for the hypothesis contrast carried out for Other Job. As can be seen, hypothesis 6 is rejected. Therefore, labour context is a significant variable when it comes to explain V7. The significance level is 0.013.
Results of inference (other job – V7).
| Model 3 (other job) | V7 (expectations recovery of the demand live concerts) |
|---|---|
| Total No. | 55 |
| Test statistic | 10.712a |
| Degrees of freedom | 3 |
| Asymptotic sig. (bilateral test) | 0.013 |
Test statistics are adjusted for ties.
As can be seen in Figure 11, musicians who do not have other jobs besides music, and those whose other job is related to music (music teachers, music journalists, etc.), are the most optimistic ones, being their medians 5 and 6, respectively. On the other hand, musicians whose job is related to other creativity fields, and those who have another job that is not related to music nor other creativity-related fields are the most pessimistic regarding a recovery of live concert demand. Their medians are 4 and 3.5, respectively.

Box plots of V7 by other job.
Table 9 shows the main results for the hypothesis contrast carried out for Age.
Results of inference (age, V4).
| Model 4 (age) | V4 (expectations regarding carrying on with own activity) |
|---|---|
| Total No. | 55 |
| Mann–Whitney’s U | 530.500 |
| Wilcoxon’s W | 1,058.500 |
| Test statistic | 530.837 |
| Standard error | 57.837 |
| Standardised test statistic | 2.810 |
| Asymptotic sig. (bilateral test) | 0.005 |
As can be seen, hypothesis 7 is rejected. Therefore, Age is a significant variable when it comes to explain V4. The significance level is 0.005.
Figure 12 shows box-plots for the selected variables. As can be seen, younger musicians seem to be more confident about carrying on with their pre-COVID-19 music activities. Older musicians are not so sure. The median is also higher for younger musicians as can be seen in the figure.

Box plots of V4 by age.
This section presents the main results of the associations among variables belonging to block “Impact of COVID-19 on activity and income” (V1, V2) and variables belonging to block “Expectations regarding future and life satisfaction” (V3–V8). Table 10 shows the Spearman’s correlation rates for the selected variables. As can be seen, there are strong correlations among most of the selected variables. To further analyse the associations among those variables, inference tests were carried out. The table shows the most remarkable results of the inference tests carried out and defined in Section 2.
Correlation rates (V1, V2 – V3–V8).
| V3 | V4 | V5 | V6 | V7 | V8 | |
|---|---|---|---|---|---|---|
| V1 | −0.350** | −0.0145 | −0.152 | −0.351** | −0.282* | −0.298* |
| V2 | −0.435** | −0.425** | −0.315* | −0.362** | −0.409** | −0.289* |
Significant correlation on 0.05 level.
Significant correlation on 0.01 level.
As can be seen in Table 11, variables belonging to block “Impact of COVID-19 on activity and income” are significant to explain the behaviour of certain variables belonging to block “Future expectations and life satisfaction”.
Results on inference tests.
| Independent variable | Hypothesis | Affected variable | Sig. level | |
|---|---|---|---|---|
| V1 | Impact of COVID-19 on activity | H8 | V3 | 0.046 |
| V2 | Impact of COVID-19 on income | H9 | V3 | 0.027 |
| H10 | V4 | 0.029 | ||
| H11 | V7 | 0.031 |
Results of the inference are presented considering each of the variables belonging to block “Impact of COVID-19 on activity and income.”
Table 12 shows the main results for the hypothesis contrast. As can be seen, hypothesis 8 is rejected. Therefore, impact of COVID-19 on music activity is a significant variable when it comes to explain V3. The significance level is 0.046.
Results of inference (impact of COVID-19 on activity-V3).
| Model 4 (activity) | V3 (expectations on future income recovery) |
|---|---|
| Total No. | 55 |
| Test statistic | 8.001a |
| Degrees of freedom | 3 |
| Asymptotic sig. (bilateral test) | 0.046 |
Test statistics are adjusted for ties.
Figure 13 shows box-plots for the selected variables.

Box plots of V3 by V1 (impact of COVID-19 on activity).
As can be seen, musicians who had a very negative impact on their activity due to COVID-19 show the worst expectations regarding income recovery. These expectations increase when the impact is not as severe (except for the few cases in which the impact was positive).
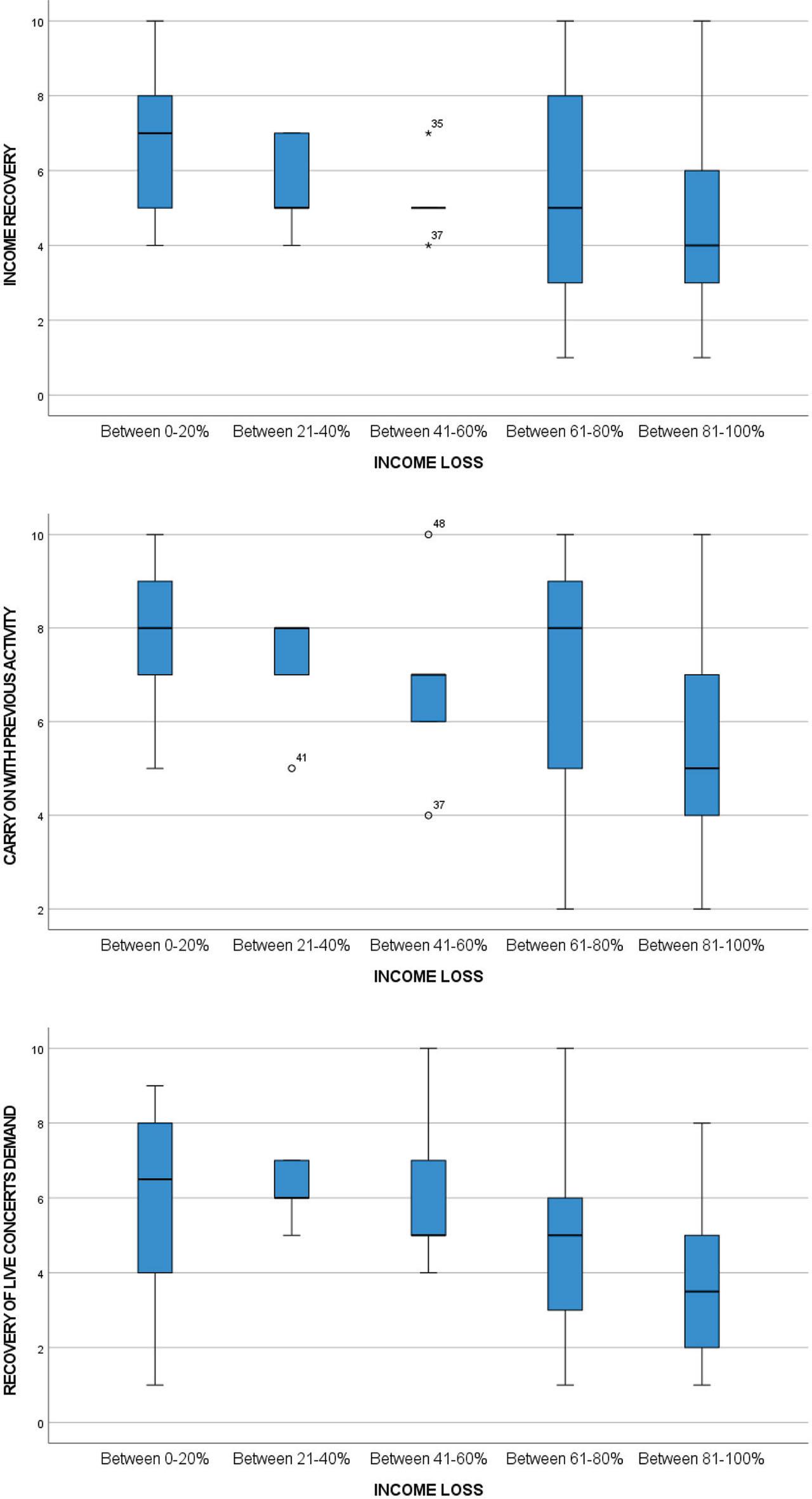
Table 13 shows the main results for the hypothesis contrast. As can be seen, all three hypotheses (H9–H11) are rejected. Therefore, the impact of COVID-19 on activity is a significant variable when it comes to explain the behaviour of V3 (income recovery), V4 (Carrying on with own activity) and V7 (live concerts’ demand recovery).
Results of inference (impact of COVID-19 on income-V3, V4, V7).
| Model 4 (income) | V3 (expectations on future income recovery) | V4 (expectations regarding carrying on with own activity) | V7 (expectations recovery of the demand live concerts) |
|---|---|---|---|
| Total No. | 55 | 55 | 55 |
| Test statistic | 8.001a | 10.820a | 10.600a |
| Degrees of freedom | 3 | 4 | 4 |
| Asymptotic sig. (bilateral test) | 0.046 | 0.029 | 0.031 |
Test statistics are adjusted for ties.
Figure 14 shows the box-plots for the selected variables.

Box plots of V3 (up), V4 (middle) and V7 (down) by V2.
As can be seen, musicians who had an income loss between 81% and 100% (5) have the lowest expectations regarding a recovery of income (V3), regarding continuing with their previous music activity (V4) and regarding a recovery of live concerts' demand (V7), as well as the lowest medians for those variables. Overall, there is a clear tendency towards being more negative as the impact of COVID-19 on income is higher.
The results of the analysis carried out lead us to the following conclusions. We find that Basque musicians fulfill most of the characteristics regarding creativity-related workers. Survey results show that Basque musicians are a good example of multiple job holding (Rengers & Madden 2000; Throsby & Zednik 2011; Throsby 2007; Withers 1985). We find that income derived from their music activity represents a lower percentage compared with the work time invested in music. Furthermore, most musicians had inactivity periods before COVID-19. These inactivity periods increased in 2020 due to COVID-19 pandemic. These results lead us to conclude that Basque musicians carry out their music creative activity under precarious conditions (Banks 2017; Butler & Stoyanova Russell 2018; Comunian & Conor 2017; McRobbie 1998). As other authors point out, musicians’ economy has been deeply hurt by the pandemic (Brunt et al. 2021), though making previous precarious conditions more visible (Conor 2017).
Basque musicians have also shown to be innovative and versatile (McRobbie 1998; Menger 1999, 2006, 2014; Throsby & Petetskaya 2017) by developing new online strategies (like developing new collaborative projects, find new income sources…) to try to mitigate the impact of COVID-19 on their main income source – live concerts, as academic literature suggests (Gross et al. 2018). While many musicians have used their savings to mitigate the impact of COVID-19 in their earnings, it is quite surprising that most participants did not apply for COVID-19 grants and funding. Half of the participants argue that they do not fit the requirements to apply for it, and the other 40% of participants argue that they did not apply because they had another income source. These results lead us to conclude that the main motivation of Basque musicians is not money (Potts & Shehadeh 2014; Throsby 1994).
Although the impact of COVID-19 in music-related activity and income has been severe, the hypothesis contrasts carried out in this article conclude that there are no significant differences in activity and income loss depending on general characteristics such as gender, age and other job characteristics. This means that the impact of COVID-19 on activity and income have been homogeneous among different collectives.
Future expectations and life satisfaction results analysis suggest that they are conditioned by variables such as gender, music formation, age and other general characteristics, but also by the impact of COVID-19 on activity and income. We find that male musicians have higher future expectations, as well as a higher life satisfaction than female musicians. Musicians who have formal musical studies have higher future expectations compared with musicians with no formal music studies. Younger musicians have higher expectations compared with older musicians. Musicians who do not have another job have higher future expectations than those who have another job.
We can also conclude that musicians who had a severe income loss due to COVID-19 show worse future expectations and life satisfaction. Some musicians show very low expectations regarding continuing with their previous music activity, or with any musical activity. These results support other authors’ findings regarding musicians’ anxiety related to uncertainty on future music activity, leading to job insecurity (Alfarone & Merlone 2021; Dobson 2011; Jacukowicz & Wezyk 2018; Long 2015; Parker et al. 2021).
Finally, based on the collected data, we believe that it is necessary to further investigate the role of gender in the music sector, and in creative sectors in general. First, we found that in our sample there is a big majority of male musicians, which is striking by itself. Despite it being beyond the objectives of this article, we found that Gender is highly correlated to other general characteristics such as “music style” or “other studies”. We think that these partial results in this article could justify a further analysis on the role of Gender in Creative Industries in general, and in the music sector in particular. This is an aspect of creativity that must be addressed in order to guarantee equity and diversity in the music sector.