Cysticercosis is a parasitic zoonosis caused by metacestodes of Taenia solium, a two-host zoonotic cestode. It is of public health importance in many developing countries of south-east Asia, Africa and Latin America (Rajshekhar et al., 2003; Ito et al., 2004; Giri & Parija, 2012; Vikrant & Verma, 2018), where pigs are farmed for consumption under traditional husbandry practices. It has been designated a “biological marker” of a community’s social and economic development (Carpio et al., 1998).
A severe parasitic infection of the central nervous system is neurocysticercosis (NCC), which occurs due to the development of metacestodes of T. solium in the brain and spinal cord, often manifested by epilepsy and epileptogenic seizures between 69 – 96 % of patients in the developing world (Del Brutto et al., 1992, 2001; Bern et al., 1999; Román et al., 2000; Carpio & Hauser, 2002; Garcia & Del Brutto, 2005). Some other clinical manifestations include severe chronic headaches, blindness, hydrocephalus, meningitis, dementia and even death (Townes et al., 2004; Sorvillo et al., 2007). Eggs excreted from T. solium carry the first source of infection. In India, vegetarians are found to be at high risk of infection from tapeworm-infected food preparers (Rajshekhar et al., 2003).
The prevalence of NCC varies among different states of the country (Rajshekhar & Chandy, 2000), where most of the clinical cases are presented with a single cyst infection (47.7 % – 53.4 %) (Prasad et al., 2008). Magnetic Resonance Imaging (MRI) and Computed Tomography (CT) are considered to be the best neuroimaging tools for the detection of degenerating and innocuous (viable) cysticerci and calcified lesions, respectively (Garcia et al., 2003). These techniques are often costly and may not be accessible to the poor people of endemic areas. Therefore, the development of immunodiagnostic tests that detect specific antibodies in the patient’s serum or cerebrospinal fluid is urgent (Ito et al., 2003).
Enzyme-linked Immunosorbent Assay (ELISA) has been used widely to detect antibodies in the serum with variable sensitivities and specificity in the diagnosis of NCC in definitive cases (Shukla et al., 2008). Enzyme-linked immunoelectro transfer blot (EITB) assay using lentil-lectin purified glycoprotein (LLGPs) of T. solium metacestode antigens has been developed with a reported 98 % sensitivity and 100 % specificity for serodiagnosis of NCC (Tsang et al., 1989). Immunodiagnostic techniques depend primarily on a good, potent and purified antigen prepared from the T. solium metacestodes viz. low molecular mass antigens (Atluri et al., 2009), excretory/secretory, somatic antigens (Sahu et al., 2009), crude soluble extract (Atluri et al., 2009), total saline extract (Oliveira et al., 2007), vesicular fluid (Arruda et al., 2005) and membrane and scolex extracts (Shukla et al., 2008). For many parasitic diseases viz., haemonchosis, paragonimiasis, schistosomiasis, fascioliasis, dirofilariasis, excretory-secretory (ES) antigens have been found to perform much better than the crude somatic antigens (Mir et al., 2008; Hewitson et al., 2009). The ES antigen is supposed to be the metabolic product of the larvae during its growth; it can be used to discriminate between live, dead or degenerated parasites, which gives an advantage over somatic antigens (Molinari et al., 2002). For routine laboratory tests, the best choice for an NCC screening could be immunoassay utilization (Ito et al., 2002; Flisser et al., 2006).
Because of the burden of epileptic patients in India and the significant contribution of NCC towards this, the current study was undertaken to detect the presence of anti-cysticerci antibodies in sera and T. solium DNA in the blood of epileptic patients suggestive of NCC.
The present study aims to utilize five different antigens viz., Whole Cyst Antigen (WCA), Cystic Fluid Antigen (CFA), Scolex Antigen (SA), Excretory Secretory Antigen (ESA) and Membrane-Body Antigen (MBA) prepared from the metacestodes of T. solium for detecting anti-cysticerci antibodies in sera of epileptic patients by indirect IgG-ELISA and EITB assay. Simultaneously, an attempt has been made for molecular detection of NCC by PCR assay targeted at the LSU rRNA gene of T. solium from the patients’ samples.
This cross-sectional study was conducted in the Department of Veterinary Public Health & Epidemiology, Nagpur Veterinary College, Nagpur, Maharashtra State, India. Blood and sera samples from epileptic patients (n=26) exhibiting either acute symptomatic seizures or recurrent seizures who visited Getwell Hospital and Research Institute, Nagpur, during the period from January 2016 to July 2016 and were suspected to be of NCC (based on clinical and/or radiological findings, within the age range of 6 – 53 years, grouped without any distinction) were included in the study. In addition, ten samples from healthy volunteers having no neurological symptoms were included in the study as negative controls. The study was approved by Getwell institutional ethics committee.
T. solium metacestodes were collected from naturally infected pigs from a local slaughterhouse at Nagpur and processed for preparation of four somatic (Whole Cyst Antigen (WCA), Cystic Fluid Antigen (CFA), Scolex Antigen (SA) and Membrane Body Antigen (MBA)) and one metabolic antigen (Excretory Secretory Antigen - ESA) as described in previously described protocols (Dhanalakshmi et al., 2005; Arruda et al., 2005; D’souza and Hafeez, 1999) with little modifications. The protein concentration of the antigens was estimated by Lowry et al. (1951).
The indirect ELISA was standardized by checkerboard analysis as per Shiguekawa et al. (2000). Briefly, polyvinyl microtitre plates (Nunc, Denmark) were coated with 100 μl of 0.05 M coating buffer (pH 9.6) containing antigen at the concentration of 0.5, 1, 0.25, 0.125 and 0.5 μg/well for WCA, CFA, SA, ESA and MBA respectively. The plates were incubated for 2 hr at 37°C and 1 hr at 37°C after the addition of sera (1:200 in PBS, 100μl/well) and anti-human IgG (whole molecule) HRPO conjugate (Sigma Aldrich, USA) (1:10000 in PBS, 100 μl/well), respectively. Plates were washed with PBS-Tween 20 (PBS-T) three times before the commencement of each step. The reaction was developed with O-phenylene-diamine dihydrochloride (OPD) (Sigma Aldrich, USA), and the absorbance was measured at 492 nm with an ELISA reader (Thermo Fisher, USA). A positive ELISA result was defined as two standard deviations above the negative sera’s optical density (OD) mean value (Minozzo et al., 2008).
EITB assay was performed according to Towbin et al. (1979) to assess the immunodominant protein bands recognized by sera of patients. Briefly, the antigens were subjected to Glycine Sodium-dodecyl sulfate-polyacrylamide gel electrophoresis (SDS-PAGE) and transferred onto the nitrocellulose membrane (NCM), (Novex Life Technologies, Israel) using a dry transfer apparatus (i-blot, Invitrogen) according to the manufacturer’s protocol. The NCM was incubated at 37°C for 2 hours with serum (1:100 in PBS) and for 1 hour with anti-human IgG (whole molecule) HRPO conjugate (1:10000 in PBS) with subsequent washing with PBS-T between each step. The NCM was visualized with a substrate solution containing 30 % hydrogen peroxide and 1 mg/ml of 3,3′-diaminobenzidine tetrahydrochloride (DAB) (Sigma Aldrich, USA) in PBS. The positive reaction was determined by the appearance of clearly defined brown color bands and compared to standard molecular weight pre-stained protein marker using Quantity One software in Gel Documentation System (BioRad, USA).
The whole DNA was isolated from blood samples as per Martins et al. (2008) with some modifications. Briefly, RBC lysis buffer (0.22 % NaCl, 0.015 % Saponin, 1 mM EDTA; pH 7.5) was added to blood samples with repeated centrifugation till a clear pellet was obtained. The pellet was resuspended in 100 μl of PCR buffer (50 mM KCl, 10 mM Tris-HCl, pH 8.0, 0.5 % Tween-20 and 100 μg proteinase K/ml), incubated in a water bath at 56°C for 2 hours followed by storage at −20°C which was used as DNA template in conventional PCR assay targeted at large subunit rRNA (LSU rRNA) gene of T. solium (Jardim et al., 2006). Subsequently, the amplified products were electrophoresed in 1.5 % agarose gel.
The data obtained in the study were statistically analyzed using “Microsoft Excel 2007”. Descriptive statistics were conducted to estimate the diagnostic OD values.
All procedures performed in studies involving human participants followed the ethical standards of the institutional ethical committee and with the 1964 Helsinki Declaration and its later amendments. Informed consents were obtained from the patients and their guardians (in the case of minors) and the Getwell institutional ethics committee. Along with the CT scan/MRI findings, the blood and sera samples of the patients were provided directly to our laboratory by the neurologist of Getwell Hospital and Research Institute, Nagpur, India, for sero/molecular detection of NCC.
In our study, the maximum number of patients [11 (42.30 %)] belonged to the 15 – 29 years age group, followed by the 30 – 44 year age group [10 (38.46 %)], with the majority of patients [19 (73.07 %)] being male (Table 1).
Age and gender distribution of epileptic patients.
| Age (years) | Male (%) | Female (%) | Total (%) |
|---|---|---|---|
| < 15 | 3 (11.53) | 1 (3.84) | 4 (15.38) |
| 15–29 | 8 (30.76) | 3 (11.53) | 11 (42.30) |
| 30–44 | 7 (26.92) | 3 (11.53) | 10 (38.46) |
| ≥45 | 1 (3.84) | 0 (0) | 1 (3.84) |
| Total | 19 (73.07) | 7 (26.93) | 26 (100.0) |
The calcified granular lesion was observed in half of the cases, followed by ring-enhancing and granular nodular lesions (Table 2). Regarding the distribution of the lesions, the left parietal lobe was the most common site of infection (53.84 %), followed by the left frontal, right frontal and right parietal lobe (Table 3). The solitary lesion was identified in 19 (73.07 %) patients, while the rest had multiple lesions (Table 4).
Seropositivity result by indirect IgG-ELISA according to type of antigens and CT/MRI lesions*.
| Type of lesion | Number of Patients (%) | Number of patients seropositive against the antigens | ||||
|---|---|---|---|---|---|---|
| WCA (%) | CFA (%) | SA (%) | ESA (%) | MBA (%) | ||
| Granular nodular | 4 (15.38) | 0 | 0 | 1 (25.0) | 0 | 0 |
| Calcified granular | 13 (50.0) | 2 (15.38) | 3 (23.07) | 6 (46.15) | 5 (38.46) | 1 (7.69) |
| Ring enhancing | 6 (23.07) | 3 (50.0) | 2 (33.33) | 3 (50.0) | 3 (50.0) | 2 (33.33) |
| Calcified spots | 3 (11.53) | 0 | 1 (33.33) | 0 | 0 | 0 |
| Total | 26 (100.0) | 5 (19.23) | 6 (23.07) | 10 (38.46) | 8 (30.76) | 4 (15.38) |
Granular nodular lesions indicate degenerating cysts; calcified granular lesions are dead cysts; ring enhancing lesions denote the live cysts; calcified spots are any calcified lesions not definitively identified as a dead cyst
Seropositivity by indirect IgG-ELISA according to location of lesions.
| Location of lesions | Number of patients (%) | Anti-Cysticercus IgG-ELISA positivity | ||||
|---|---|---|---|---|---|---|
| WCA | CFA | SA | ESA | MBA | ||
| Left parietal lobe | 14 (53.84) | 4 (28.57) | 5 (35.71) | 7 (50.0) | 5 (35.74) | 3 (21.42) |
| Right parietal lobe | 2 (7.69) | 0 | 0 | 1 (50.0) | 1 (50.0) | 0 |
| Left frontal lobe | 4 (15.38) | 1 (25.0) | 1 (25.0) | 0 | 1 (25.0) | 0 |
| Right frontal lobe | 3 (11.53) | 0 | 0 | 0 | 0 | 1 (33.0) |
| Occipital lobe | 1 (3.84) | 0 | 0 | 1 (100.0) | 0 | 0 |
| Temporal lobe | 1 (3.84) | 0 | 0 | 0 | 0 | 0 |
| Basal ganglia | 1 (3.84) | 0 | 0 | 1 (100.0) | 1 (100.0) | 0 |
| Total | 26 (100.0) | 5 (19.23) | 6 (23.07) | 10 (38.41) | 8 (30.76) | 4 (15.38) |
Seropositivity by indirect IgG-ELISA according to number of lesions.
| Number of lesions | Number of patients | Anti-cysticercus IgG ELISA positivity | ||||
|---|---|---|---|---|---|---|
| WCA | CFA | SA | ESA | MBA | ||
| Single lesion | 19 (73.07) | 3 (15.78) | 2 (10.52) | 8 (42.14) | 4 (21.05) | 3 (15.78) |
| Multiple lesions | 7 (26.93) | 2 (28.57) | 4 (57.14) | 2 (28.57) | 4 (57.14) | 1 (14.28) |
| Total | 26 (100.0) | 5 (19.23) | 6 (23.07) | 10 (38.41) | 8 (30.76) | 4 (15.38) |
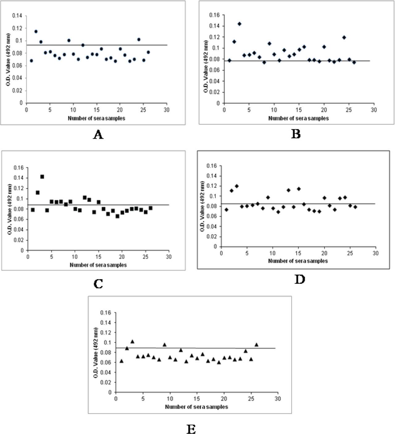
The protein concentrations of WCA (1.0175 μg/μl), CFA (1.2622 μg/μl), SA (0.9725 μg/μl), MBA (1.0903 μg/μl) and ESA (1.1271 μg/μl) were estimated, and the OD diagnosis was calculated for WCA (0.07839 ± 0.0155), CFA (0.0848 ± 0.0165), SA (0.0798 ± 0.0073), ESA (0.0805 ± 0.0132) and MBA (0.0788 ± 0.0101). Anti-cysticercus antibodies against WCA, CFA, SA, ESA and MBA in the sera samples could be detected in 19.23 % (n=5), 23.07 % (n=6), 38.46 % (n=10), 30.76 % (n=8) and 15.38 % (n=4). Some of the samples exhibited seropositivity to more than one antigen. In addition, 11 samples were found to be seronegative against any of the antigens employed in the study (Fig. 1 (A–E)).

Amongst the patients with calcified granular lesions, 46.15 % had anti-cysticercus antibodies against SA and 38.46 % against ESA, whereas in case of ring-enhancing lesions, the seropositivity against CFA, SA and ESA were found to be in equal proportions (Table 2). The patients with solitary brain lesions were found to be more sero-reactive against SA (42.14 %). In contrast, those with multiple brain lesions were more sero-reactive against the CFA and ESA (57.14 % each) (Table 4).
The SDS-PAGE profile of the antigens revealed a varied number (25 bands for WCA, 17 for CFA, 29 for SA, 26 for MBA and 16 for ESA) and pattern (11.80 to 171.35 kDa for WCA, 12.50 – 176.74 kDa for CFA, 13.13 to 150.60 kDa for SA, 15.23 to 174.12 kDa for MBA and 12.00 to 164.04 kDa for ESA) of protein bands.
In the EITB assay, one or more peptide bands of WCA were recognized by 10 sera samples, of which medium and (or) higher molecular weight bands were found to be immunodominant in 7 samples. Similar results were observed in the case of CFA. The lower molecular weight bands (13 – 50 kDa) were immunodominant in 8 out of 9 samples against SA (some samples recognized multiple bands). Calcified granular lesions were the major findings in brain imaging in the patients (n=6) who had anti-cysticerci antibodies against SA. Against ESA, 7 samples revealed positivity in EITB, of which lower molecular range bands (13 – 50 kDa), medium range bands (50 – 100 kDa) and higher bands (>100 kDa) were recognized in two, five and three samples respectively (some samples recognized multiple bands); of which, calcified granular lesions were observed in five cases and ring-enhancing lesions in two cases. The lower molecular range bands (13 – 50 kDa) and medium-range bands (50 – 100 kDa) of MBA were recognized by 4 and 6 samples, of which calcified granular lesions were observed in five cases and ring-enhancing lesions in three cases. None of the negative sera samples recognized any of the peptide bands of the antigens. The lower and medium molecular weight bands of SA, ESA and MBA were found to be more frequently recognized by the patients’ sera in contrast to the higher molecular weight bands of WCA and CFA (Fig. 2 (A–B)). Seropositivity by both IgG-ELISA and EITB assay against the antigens under study are presented in Table 5.

Seropositivity by indirect IgG-ELISA and EITB assay against the antigens under study.
| Scenario | Number of patients showing seropositive results in ELISA and(or) EITB | ||||
|---|---|---|---|---|---|
| WCA | CFA | SA | ESA | MBA | |
| Presence of both Anti-Cysticercus antibody in IgG-ELISA and Immunodominant band in EITB | 2 | 3 | 7 | 6 | 4 |
| Presence of Anti-Cysticercus antibody in IgG-ELISA, but absence of Immunodominant band in EITB | 3 | 3 | 2 | 2 | 0 |
| Absence of Anti-Cysticercus antibody in IgG-ELISA, but presence of Immunodominant band in EITB | 8 | 4 | 1 | 1 | 5 |
Based on the literature available, it seems to be the first report for detecting NCC among epileptic patients by PCR assay targeted at the LSU rRNA gene of T. solium from the blood samples. Upon electrophoresis, a specific amplification product (286 bp) was observed in 9 samples (Fig. 3).

Agarose gel electrophoresis showing amplification product (286 bp) by PCR targeted at large subunit rRNA gene of Taenia solium for detection of NCC in epileptic patients. The numbers (1–26) designate the patients under study. DNA extracted from metacestodes of T. solium is used as positive control and nuclease free water as negative control respectively.
NCC is a frequent cause of seizures in endemic countries (Garcia et al., 2014). The seizure was the most typical clinical picture observed in all the cases in this study, supported by the fact that it was observed in 62.5 – 100 % of clinically and radiologically positive NCC patients from different Indian states (Singhi et al., 2000; Varma et al., 2002; Kotokey et al., 2006; Atluri et al., 2009 & Sahu et al., 2009). Most of the cases from the Indian subcontinent are presented with single degenerating lesions (Singh, 1997 & Prasad et al., 2008). In our study, 50 % of the patients exhibited calcified granular lesions and 23.07 % ring-enhancing lesions in brain imaging. Most of the cases of human NCC in population-based studies correspond to calcified lesions (Garcia et al., 2014). Viable infections are associated with a higher likelihood of symptoms and more severe disease (Del Brutto & Garcia, 2014).
In the present study, positive antibody response against WCA and CFA can be corroborated with the study by Foyaca-Sibat et al. (2009), who reported 32.6 % seroprevalence from the Eastern Cape Town Province of South Africa. In contrast, it is on the lower side compared to Komba et al. (2013) and Mwanjali et al. (2013), who observed 45 – 46 % seroprevalence in Tanzania’s Mbozi and Mbeya districts. Lower seropositivity (0 – 23 %) of NCC is reported in some studies (Cruz et al., 1996; Sánchez et al., 1999; Carabin et al., 2009 & Bruno et al., 2013) in comparison to the present one. In two independent studies, Singh et al. (2000) and Rajshekhar (2004) reported 27 % and 21.5 % seroprevalence of NCC among neurological patients in Mumbai and Punjab, India, respectively. On the other hand, a very high seroprevalence of NCC (79 %) in American Indians has been reported (Ferrer et al., 2002). The present study recorded a comparatively higher antibody response to CFA (23.07 %) than WCA. This may be because CFA is enriched with sensitive diagnostic glycoproteins that are more immunogenic than other components of T. solium metacestodes (Sreedevi et al., 2011).
The number of sera samples showing anti-cysticercus antibodies against SA in the present study (38.46 %) was found to be much on the lower side when compared to Nascimento et al. (1987), Yong et al. (1993) and Shukla et al. (2008), who reported 82.1 – 91 % seropositivity while working on confirmed NCC patients. The variation might be attributed to the fact that the cases included in their studies were confirmed cases of NCC against the suspected ones with diverse brain imaging in the present investigation. Also, antibody response may vary according to the stages of the parasites (live, degenerated, dead or calcified), the location of parasite and the presentation of antigenic components to the immune system, which may result in their non-detection against a particular antigen.
In the present investigation, samples revealing anti-cysticercus antibodies against ESA (30.76 %) were on the lower side compared to Sahu et al. (2015), who observed 45 % seropositivity among ocular CC cases. Antibody response to ESA in confirmed NCC patients has been observed to the tune of 88.2 % and 66.6 % among 34 and 36 cases from Pondicherry (Sahu et al., 2009) and Chandigarh (Atluri et al., 2014) of India, respectively. Molinari et al. (2002) observed an anti-cysticercus antibody against ESA in the cerebrospinal fluid (CSF) of 24 (17 %) of patients out of 91 with a neurological disorder. In another study, antibody response to ESA was detected in 4 out of 9 live cysts, 18 out of 61 degenerated cysts, and 1 out of 6 calcified cysts (Sailaja & Devi, 2015).
Antibody positivity against MBA in the present study (15.38 %) was much less when compared to that observed by Shukla et al. (2008), who reported 82 % seropositivity among 50 confirmed NCC patients in Lucknow, India.
In the present study, we mainly observed the higher molecular weight immunoreactive bands of WCA and CFA to be recognized by the patient’s sera. This is well supported by the findings of Tellez-Giron et al. (1987), Estrada et al. (1989) and Choromanski et al. (1990), who observed antigenic peptides of 66, 190 & 230 and 110 kDa in the CSF samples of NCC patients. In contrast to the present study, low-molecular-mass peptides (≤ 20 kDa) have been recognized by the patients’ sera in some earlier studies (Gottstein et al., 1986; Rodriguez et al., 1997; Pardini et al., 2001 & Atluri et al., 2009).
The observations on the EITB pattern for SA can be compared with Cho et al. (1987), who reported 1 – 11 (avg 6.3) bands to be recognized by sera of 20 out of 24 patients. Shukla et al. (2008) observed 18 to 25 kDa immunoreactive bands in 60 % of patients’ sera samples, whereas 200, 180, 120, 100, 95, 68, 65 and 26kDa (Neto et al., 2007) and 13 to 97 kDa protein bands of SA (Ev et al., 1999) were found to be the most reactive when developed against the sera of NCC patients.
The use of ESA from heterologous sources (metacestodes other than that of T. solium) for NCC serodiagnosis have been documented (Molinari et al., 2002; Espindola et al., 2002; Lopez et al., 2004). Sahu et al. (2010) observed a 43 kDa peptide of ESA to be reactive with CSF and sera of confirmed NCC patients with absolute specificity and high sensitivity (88.23 % in serum and 89.28 % in CSF). The 43, 58 and 66 kDa peptides of ESA were reported to be more specific (Ko & Ng, 1998), whereas, in another study, the 22, 64 and 70 kDa of ESA were found to be immunodominant (Molinari et al., 2002) which are also supported by our study as the lower and medium molecular weight proteins were recognized with a greater frequency. Although different levels of sensitivity and specificity were reported in various studies (D’Souza & Hafeez, 1999; Espindola et al., 2000, 2002, 2005; Arruda et al., 2005; Atluri et al., 2009; Sahu et al., 2009), the scenario addressing the number of patients with single/multiple lesions were not mentioned and it should be evaluated in the Asian subcontinent where single cystic granuloma is the most familiar manifestation in NCC cases. Reaction to different antigenic fragments in EITB assay, as observed in different studies, may be due to variations in the host’s immune response to the parasite, stages of development of the parasite in the brain, localization and number of parasites in the CNS, persistency of the parasite in the host tissues, existing immune evasive mechanisms, complex and diverse core epitopes of the antigens, variation in the preparation protocol of antigens, the difference in their electrophoretic mobility in the gel, multimerization of low molecular weight antigenic fragments, varied levels of glycosylation of antigens and sometimes the active sites might have been cleaved off during antigen preparation leading to their non-detection (Ko et al., 1998; Flisser et al., 2002; Sahu et al., 2010). Multicellular parasites are not subjected to phagocytosis, as a result of which a significant number of antigens might remain hidden from the host’s immune system (Lightowlers & Rickard, 1988; D’Souza & Hafeez, 1999). The variation can be explained based on animal models (pigs or mice) by experimentally infecting them with eggs of T. solium and observing cysts’ development and the antibody response variation (Aluja et al., 1996).
Extra parenchymal NCC is generally associated with high parasite antigen levels and strong antibody reactions (Fleury et al., 2011; Rodriguez et al., 2012). In our study, intraparenchymal lesions were observed in all the cases, and the patients with multiple lesions were more seropositive than those with single lesions. It is supported by an earlier observation (Wilson et al., 1991). Low antibody titers have been detected in serological tests for patients with solitary lesions (Prabhakaran et al., 2007). In another study from North India, ELISA was more sensitive in pediatric NCC cases with multiple lesions (Mandal et al., 2006). Immunological tests are less likely to detect NCC in patients with a single cyst or calcified parasites than in those with multiple, non-calcified ones (Suzuki et al., 2007). However, in our study, no correlations were found between seropositivity and the location of lesions in different parts of the brain.
In the present study, the patients with calcified brain lesions were observed to have anti-cysticercus antibodies in sera against SA. Calcified lesions containing a scolex possess intact antigenicity and can elicit an immune response leading to perifocal inflammation and edema formation (Gupta et al., 2002). The appearance of anti-cysticercus antibodies in sera occurs at different intervals post-infection due to qualitative and quantitative changes in the somatic and ES antigens released at various parasite development stages (Schantz, 1994). This is well observed in a study (Sahu et al., 2009), where 100 % of cases (9/9) with active lesions could respond to ESA in ELISA in contrast to 73.33 % of cases (11/15) with degenerating lesions. Similar trends were also observed in our study. The CT scan sometimes may not detect the presence of live parasites due to their isodense appearance, which may be present along with degenerating larvae (Zee et al., 2000), contributing to the variations in the serology and neuroimaging results.
Some of the patients’ sera reacted with CFA and ESA, although showing calcification/degeneration on imaging. Probably due to the fact that the antibody developed against the live cyst might persist in the circulation even after the initiation of the degenerative process of the parasite, which attributes to the positive serology (Harrison et al., 1989; Garcia et al., 1997; Sciutto et al., 2007). Serological and neuroimaging results may differ in various cases, viz., tapeworm carriers or naturally cured individuals. The patients with non-neurologic infections have normal neuroimaging (Erhart et al., 2002) but may turn seropositive; while individuals with only calcified lesions or single cyst infections may test seronegative (Ohsaki et al., 1999). ELISA is more sensitive and specific when done in CSF than sera in detecting NCC. However, lumbar puncture should not be performed only for serological tests because of associated invasive pain and getting ethical concern has their limitations. The sensitivity of EITB in the case of single-ring enhancing or calcified lesions, which is more common in Indian conditions, is much lower. However, we did not observe any definite pattern when immunodominant bands were compared among antigens with that of the type, number or lesion location. The small sample size in this study can be one of the weaknesses in drawing significant inferences. Further studies may be conducted employing more samples and purified antigens.
PCR assay targeted at the LSU rRNA gene of T. solium in molecular detection of NCC in epileptic patients from their blood samples has not been previously reported. This is the first report in this context. The gene is specific and conserved for taeniid cestodes. This gene was previously targeted to detect cysticercosis in pigs to validate meat inspection (Sreedevi et al., 2012) and species-specific identification of T. solium and T. saginata (Jardim et al., 2006). Although PCR, targeted at a highly repetitive element (pTsol9) of the T. solium genome, has been reported as a molecular diagnostic test taking CSF of radiologically and clinically confirmed NCC patients with a positivity of 96.7 % (Almeida et al., 2006) and 90 – 100 % (Michelet et al., 2011) respectively. Detection of highly specific circulating antigens or specific DNA in CSF can be important in immunocompetent NCC patients who turn seronegative in ELISA (Michelet et al., 2011; Ito et al., 2006). PCR could be useful as an alternative diagnostic test for NCC during the non-availability of imagery techniques.
Regardless of the technique used, detection of T. solium specific antibodies in serum only indicates exposure to the parasite and not necessarily established infection, resulting in a transient antibody response (Garcia et al., 2001). Antibody detection assays can remain positive long after the parasite has been eliminated by immune mechanisms or antiparasitic therapy (Dorny et al., 2003). Antigen detection assays and molecular techniques in combination can improve diagnostic efficacy. It can detect the presence of viable parasites in active infections, which would be helpful in NCC treatment follow-up.
This study detected the anti-cysticercus antibodies among epileptic patients from Nagpur of Maharashtra, India, using five different antigens prepared from metacestodes of T. solium by indirect IgG-ELISA and EITB assay. Overall, the EITB assay was reported to be very specific and discriminating. Nevertheless, the results reported by different researchers did not agree. Although EITB detected different immunodominant bands, the methods used in antibody detection by ELISA and EITB should be used in conjunction with clinical findings and neuroimaging methods in the NCC cases diagnosis. The indirect ELISA using SA and ESA seems to give a promising result, and it is less expensive than EITB and PCR assays. We might get encouraging results in PCR tests for some cases. Further study is needed to evaluate molecular detection methods taking CSF as a parallel sample from confirmed NCC patients. The serological techniques would be quite helpful in endemic areas among the lower socio-economic strata due to the cost and accessibility involved in repeated exposure to imagery techniques. The presence of antibodies may indicate a past systemic contact with the parasite in the form of an intestinal infection, where the CNS is not necessarily involved. No direct correlation or diagnostic value in serology between patients with or without epileptic seizures and cysticercosis could be established here. However, this study suggested that serological techniques can also serve as confirmatory tests for the NCC diagnosis alongside neuroimaging, which is the only reliable diagnosis of NCC.