The Przewalski’s Horse (Equus ferus przewalskii; PH for short), once considered as the only extant true wild horse that has never been domesticated, is classified as endangered by the IUCN Red List (King, et al., 2015) and as a class I protected species by the Chinese government at the same time. PH was extinct in the wild since the 1960s, and reintroduced to China in captivity about twenty five years later (Xia et al., 2014). Latest study has shown PH is the feral descendant of the earliest-known domesticated Botai herds and form a monophyletic group independent from the modern domestic horses (Gaunitz et al., 2018). However, PH is still important in culture, genetic diversity and conservation since it is the last species live in the wild and have a unique adaptive evolutionary history (Oakenfull et al., 2000). Now, the primary threats to captive populations are inbreeding depression and diseases (Wakefield et al., 2002). With respect to the latter, debilitating infections pose a substantial threat to the reestablishment of PH populations. Captive populations repeatedly infected with parasitic nematodes, including roundworms (Parascaris equorum) and strongyles, which typically parasitize the alimentary canal of PH and trigger many clinical signs (Zhang, 2006). In 2000, P. equorum infections caused the death of several PH at the Xinjiang Uygur Autonomous Region Wild Horse Breeding Research Center (Ente & Zhang, 2003).
Since 2005, ivermectin (IVM) has been used as the single equine anthelmintic once a year in winter to combat parasitic diseases on all of the horses kept in captivity without preexamination. Long-term use of single deworming drug may cause anthelmintic resistance (AR) in highly adaptable parasitic nematodes (Leath-wick, 2013). Decreased IVM efficacy against important intestinal parasites of horses, especially P. equorum, has been widely recognized in many countries (Boersema et al., 2002; Schougaard & Nielsen, 2007; Lyons et al., 2008; Milillo et al., 2009). Captive PHs were chosen to be released to wild periodically, which may act as transmission channel of anthelmintic-resistant nematodes between domestic and wild animals (Chintoan-Uta et al., 2014). However, there was only one study described performance of IVM in PHs (Zhang, 2006). A better understanding of gastrointestinal nematode resistance against anthelmintic is urgently required for PHs breeding. A range of methods can be utilized for detecting AR in animals, including in vivo and in vitro tests (Coles et al., 1992; von Samson-Himmelstjerna, 2012). The Fecal Egg Count Reduction Test (FECRT) (Coles et al., 1992) is the most widely used in vivo test, and considered as the only viable method for declaring the presence of IVM-AR in equine gastrointestinal nematodes (Kaplan, 2002; Nielsen et al., 2014).
Given that the efficacy of anti-parasitic drugs against gastrointestinal nematode is key to control parasite that prevalent in captive population and prevent the spread of resistant strains to released population, the present study evaluated the efficacy of IVM against gastrointestinal nematode parasitizing captive PHs based on FECRT method and could serve for the deworming work in species reintroduction program.
All PHs were maintained at the Xinjiang Uygur Autonomous Region wild horse Breeding Research Center located in Jimsar County, Changji City, Xinjiang Uygur Autonomous Region, China (44°12’12”N, 88°44’26”E). Environmental conditions of temperature were -14 °C ±6 °C during sampling period in November and December. The horses were bred outdoor in different size of irony stalls all day long. Captive population were divided into breed, female or bachelor groups. There is no vegetation in the stalls. Alfalfa and carrots were offered daily. No water were provided as the water freeze, and horses could replenish water by eating snow.
Sixteen horses were randomly selected for an infection survey, of which two horses with typical histories of parasitic nematode disease were selected as representatives to explore the change pattern of egg counts number in 20 successive days during November and December 2015. One representative horse (#105) is an adult female, born in 1998; the other (#345) is a young male foal, born in 2013. Furthermore, the EPG were compared in the same animals both before and after treatment in 3 foals (<1 year of old) and 8 sub-adults (<2 years of old) in 2017 January. The larvae culture was applied to verify the composition of strongyles. Only small group of animals were enrolled (11 individuals including 3 foals and 8 sub-adult) because EPG before treatment in most horses was too low to take into account. Another practical justification for this small group experimental design is that drug treatment was only allowed on certain days in winter due to restrictions of management measures. The limited time and cold weather made it hard to obtain enough samples by individual track in deworm process or use unpaired design which need extra control group. Although control groups were not adopted, its influence can be eliminated since pre-treatment counts can be used as the compared baseline (McKenna, 1990).
An oral paste of IVM (Beijing Wanfeng Pharmaceutical Laser Target Designator, Beijing 100193, China; 2 mg/g i.m) was mixed with corn meal and fed to all captive PHs at a dosage of 100 μg/kg following the IVM deworming instructions reported before ( Zhang, 2006). Records of body weight of the horses was offered by the Xinjiang Uygur Autonomous Region wild horse Breeding Research Center. Deworming was carried out by a qualified veterinary surgeon. No dose errors were reported.
The surface and interior of each fecal pellet feces were randomly mixed. For fecal egg counts (FEC), a total of 1.0 g feces was ultimately sampled and fixed in 10 mL centrifuge tube with 2.0 g 10 % formalin solution. Each sample was replicated three times at least. For larval culture, about 5.0 g feces were collected from each horse before treatment. All feces samples were collected from ground immediately or within two hours after they were naturally excreted, without disturbing PHs. All PHs lived in their assigned paddocks during and after collection and all acted normally. Samples were stored at 4 °C in order to preserve the morphological characteristics of the nematode eggs and maintain accurate egg counts (Nielsen et al., 2010).
The FEC were performed based on a Modified Wisconsin centrifugal-flotation technique (Cox & Todd, 1962) with analytical sensitivity of 1.0. 6 mL saturated NaNO3 were added to each sample tube. Pellet was vortexed vigorously using Vortex Genie 2 mixer (Scientific Industry, Vortex Genie 2) for 3 minutes, and then filtered with a 60-mesh sieve. The filtrate was poured back into the centrifuge tube and centrifuged for 5 minutes at 950 r/min. Saturated NaNO3 solution was added until a meniscus was formed on the top of the tube. The samples were stand for 10 minutes and then placed a 24 mm × 24 mm coverslip on the top. After an additional 5 minutes, the coverslip was removed and placed on a microscope slide. The numbers of eggs of each parasite type were counted under a light microscope (OLYMPUS CX22). Then the process was repeated with new coverslips until no more eggs were found on the cover-slip. Larval cultures were performed to determine the composition of strongyles. The fecal samples collected from each horse were pooled and humidified with sawdust and water. The cultures were incubated in 28 °C for 14 days. The L3 larval were recovered using Baermann apparatus and identified using morphological keys by Bevilaqua et al. (1993).
The FEC reduction (FECR) of individual PH was calculated by using arithmetic means according the following formula: FECR(%)=[(FEC–FEC)/FEC] × 100 (Francisco et al., 2011), 121where FEC1 is the mean of FEC before treatment and FEC2 is the FEC at the 15th post-treatment day. Since only small groups of horses were available and FEC1 in the current study were low, a reliable FECR-result can hardly been calculated by regular formula based on the arithmetic mean of pre- and post-treatment FEC (Levecke et al., 2018). An alternative Bayesian based methodologies was applied in a user friendly web interface, egg Counts (Torgerson et al., 2014), to assess the FECR and coverage probability of 95 % highest posterior density (HPD) intervals of group. We adopted the paired design (fecal samples obtained before and after the treatment from each horse). Resistance is identified if both the FECR is less than 90 % and the 95 % lower confidence level is less than 90 %, following the typical criteria recommended by the World Association for the Advancement of Veterinary Parasitology (Coles et al., 1992).
The authors declared that all sample procedures in this study were approved by the Xinjiang Uygur Autonomous Region Wild Horse Breeding Research Center (Under the jurisdiction of Forestry Department of Xinjiang Uyghur Autonomous Region) and Beijing Forestry University. Sample collection were performed in accordance with the IUCN Policy Statement on Research Involving Species at Risk of Extinction (Approved by the 27th Meeting of IUCN Council, Gland Switzerland, 14 June 1989). Non-lethal and responsible collections were applied in the case of species listed as endangered under criterion C.
Before the administration of IVM, 75 % of the 16 selected PHs tested positive for P. equorum and 81.3 % for strongyles. The results were consistent with previous reports (Zhang, 2006). Fertilized P. equorum FEC per horse (1 – 2862) was much higher than fertilized strongyles FEC per horse (1 – 70). Both small strongyles (Cyathostomins) and large strongyles (Strongylus spp.) were identified from larval culture.
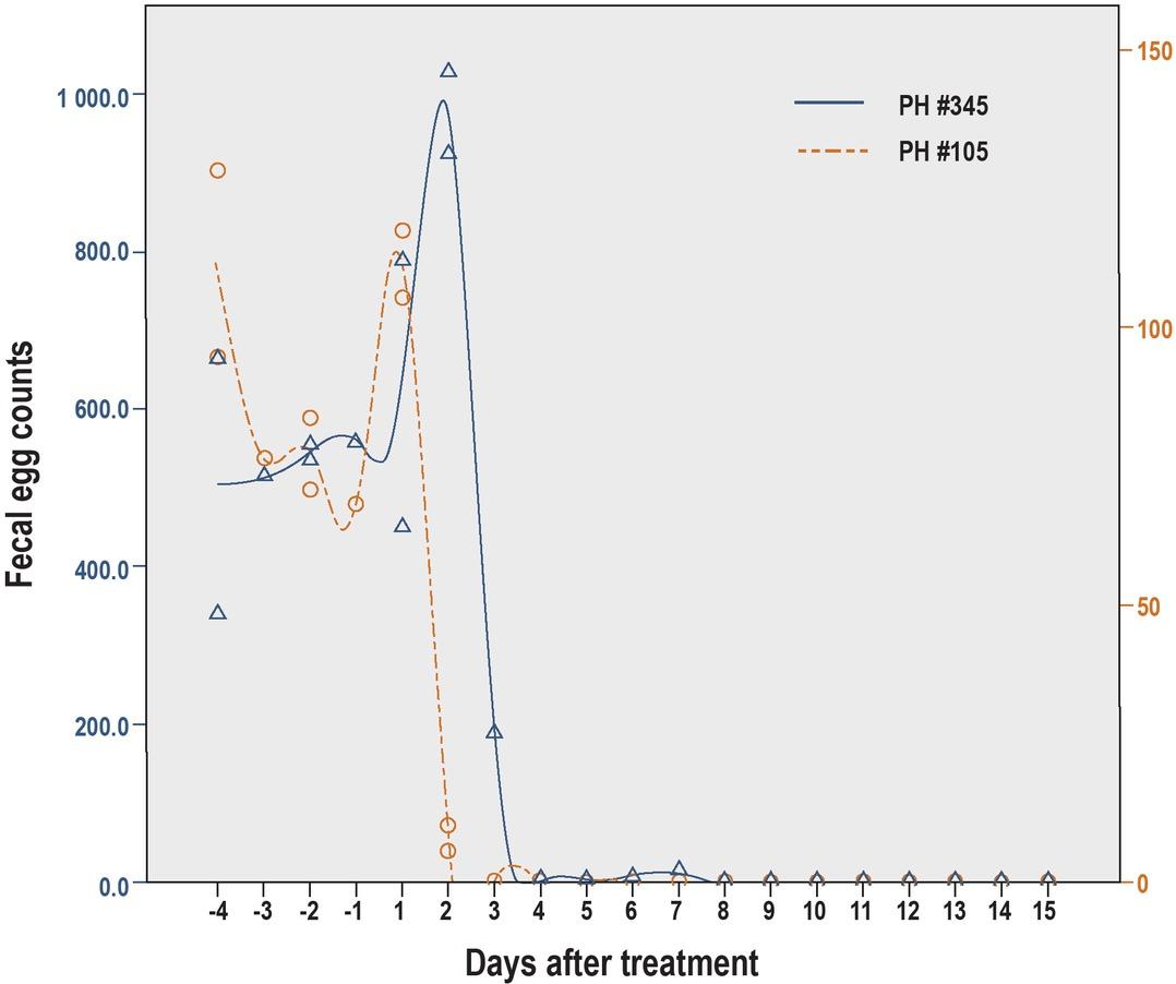
As is shown in Figure 1, before fed with IVM, the P. equorum mean FEC of PHs #105 and #345 rose briefly on the 1st and 2nd post-treatment days, higher than any pre-treatment FEC, and then fell sharply in the next 2 days and keep in 0 EPG until the end. The maximum of strongyles FEC in both PH #105 and #345 did not exceed 10 EPG at any time, so the data were not shown. Apart from the two representative horses, examination of PHs before (screening FEC > 20 EPG) and after treatment (FEC = 0 EPG) show a 100 % FECR for both P. equorum and strongyles, with the lower confidence limit (99.2 %) above the designated 90 % cut-off.

Changes in Parascaris equorum egg counts per gram of feces in PH #105 and PH #345 from November 27th to December 15th, 2015.
A common pattern is observed in P. equorum FEC among the different captive PH individuals: the number of FEC usually rises dramatically at the period of 1 – 2 days after deworming (Fig. 1). Consistent with the FEC, 22 and 32 of adult P. equorum have been collected from the foal #345 feces on 1st and 2nd post-treatment days respectively. The number of P. equorum FEC in the PHs #345 and #105 rose 57.1 % and 33.7 % respectively, but level of parasitic infection in PH #105 peaks earlier than in PH #345. No true positive correlation between EPG and worm burden have been verified in P. equorum (Reinemeyer, 2009). A hypothesize that parasite eggs might act as a proxy for female parasites in horses could be considered as sharply decline time interval of EPG comes in line with duration of adult parasite excretion. It is clear that nematode parasites of PHs #105 and #345 are wiped out after drug treatment, but the number of strongyles FEC before treatment at single digit level is not sufficient to declare truly anthelmintic efficacy.
Strongyles FEC was generally low among horses. The infection level of strongyles in both the adult and the foal was lower than 200 EPG, which caused the experiment of inadequate sample with low pre-FEC and led to a reduction of credibility (Levecke et al., 2018). A low analytic sensitivity method and “egg Counts” package, which allowed for a much smaller pre-FEC threshold, were employed to compensate the negative impact and hence provide a more reliable result. This high efficacy still needs to be validated in the further study if a higher number of pre-FEC was observed.
Feces of all tested PHs were negative for both larval and adult nematode parasites by the 15th post-treatment day, which means the efficacy of IVM is 100 %. It is indicated that IVM, a broad-spectrum antiparasitic agent used against both nematode and arthropod domestic animal parasites since 1979 (Chabala et al., 1980), remains highly effecacy against both P. equorum and strongyles in PH. However, since the drug were fed by oral and relative small group of animals were enroll in the study, a more deliberate design must be applied in future if possible.
Given failures of IVM treatment to decrease P. equorum EPG reported after ten years use of IVM as predominant anthelmintic (Boersema et al., 2002), the high efficacy of IVM against P. equorum reported here is instructive since PH in Xinjiang have traditionally been dewormed at least for a decade. Various drivers could influence the occurrence of AR, including various factors associated with breeding and veterinary management (Traversa et al., 2012). A research in the Netherlands noted that IVM resistance occurred in P. equorum on account of frequently treatment of foals (van Doorn et al., 2007). The current research provides an example of successful parasitic nematodes control program of reintroduced animals for a decade using single deworming drug in a low treatment frequency. It is reasonable to assume that low frequency treatment and inadequate feces management slow down the development of AR, because there are large number of susceptible genotype eggs and free-living larvae exist on pasture, which also known as refugia population (van Wyk, 2001). Raise of refugia population even could restore the deceased anthelmintic efficacy (Sissay et al., 2006).
The potential role of captive population of reintroduced species serve as vectors of resistant parasites to wild animals, make it important to keep a high anthelmintic efficacy. The managers should consider the importance of slowing down the occurrence of drug resistance instead of wiping out all nematodes. Leaving foals untreated should be avoided as they might be infected with P. equorum. Deworming sub-group horses (which have an EPG exceeding average level) at a low frequency which can help maintain refugia, which allow populations of nematodes unexposed to treatment to survive, could be undertook to reduce the selection for resistance in captive populations of reintroduced species. Fecal monitoring is required to set a baseline for screening horses enrolled in the drug treatment. The current study provids a pilot exploration of IVM-efficacy against nematodes parasitize PHs. The findings could be instructive to deworming program of domestic and wild animals, especially reintroduced endangered species that need to recover population in capacity before released to wild.