Fig. 1.

Fig. 2.

Fig. 3.

Fig. 4.

Fig. 5.

Fig. 6.

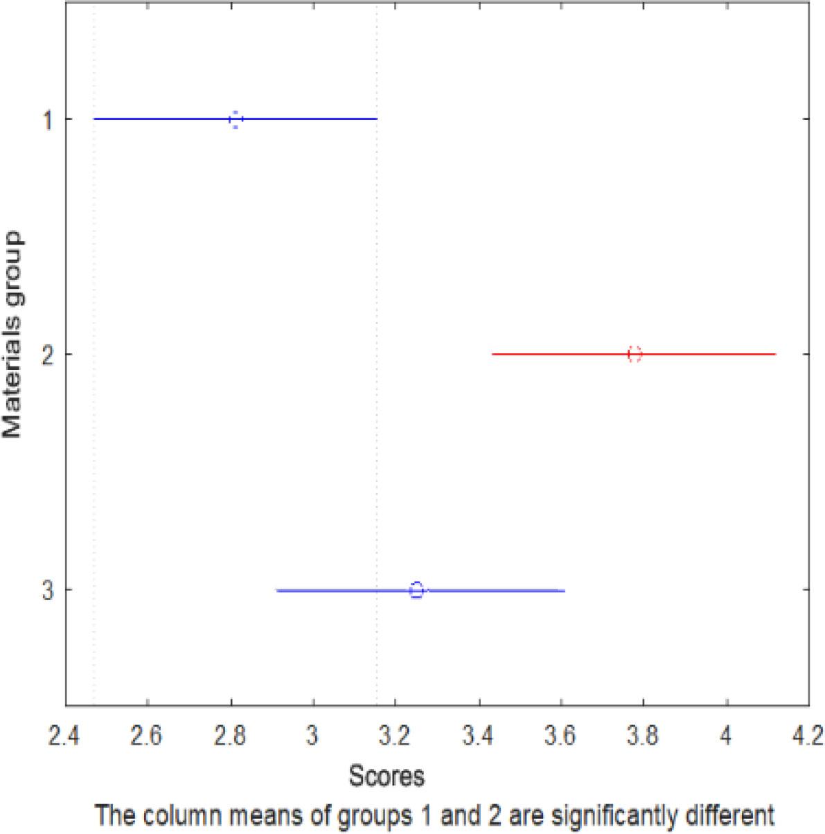
Fig. 7

Fig. 7

Fig. 8.

Fig. 9.

Grade of pilling for finished fabrics before and after enzymatic treatment
| Raw material | Number of samples | Number of cycles | |||||||
|---|---|---|---|---|---|---|---|---|---|
| 125 cycles | 500 cycles | 1000 cycles | 2000 cycles | ||||||
| Expert 1 | Expert 2 | Expert 1 | Expert 2 | Expert 1 | Expert 2 | Expert 1 | Expert 2 | ||
| Finished linen fabric before treatment | 1 | 4.0 | 4.0 | 3.0 | 3.0 | 2.5 | 2.5 | 2.0 | 2.0 |
| 2 | 4.0 | 4.0 | 3.0 | 3.0 | 2.5 | 2.5 | 2.0 | 2.0 | |
| 3 | 4.0 | 4.0 | 3.0 | 3.0 | 2.5 | 2.5 | 2.0 | 2.0 | |
| Finished hemp fabric before treatment | 1 | 4.5 | 4.5 | 4.0 | 4.0 | 4.0 | 4.0 | 3.0 | 3.0 |
| 2 | 4.0 | 4.0 | 4.0 | 4.0 | 4.0 | 4.0 | 3.5 | 3.5 | |
| 3 | 5.0 | 5.0 | 4.0 | 4.0 | 4.0 | 4.0 | 3.5 | 3.5 | |
| Finished blended fabric before treatment | 1 | 4.0 | 4.0 | 3.5 | 3.5 | 3.0 | 3.0 | 2.5 | 2.5 |
| 2 | 4.0 | 4.0 | 3.5 | 3.5 | 3.0 | 3.0 | 2.5 | 2.5 | |
| 3 | 4.0 | 4.0 | 3.5 | 3.5 | 3.0 | 3.0 | 2.5 | 2.5 | |
| Finished linen fabric after treatment | 1 | 4.0 | 4.0 | 3.5 | 3.5 | 3.5 | 3.5 | 3.0 | 3.0 |
| 2 | 4.0 | 4.0 | 3.5 | 3.5 | 3.0 | 3.0 | 3.0 | 3.0 | |
| 3 | 4.0 | 4.0 | 3.5 | 3.5 | 3.0 | 3.0 | 3.0 | 3.0 | |
| Finished hemp fabric after treatment | 1 | 4.5 | 4.5 | 4.5 | 4.5 | 4.0 | 4.0 | 4.0 | 4.0 |
| 2 | 4.5 | 4.5 | 4.5 | 4.5 | 4.0 | 4.0 | 4.0 | 4.0 | |
| 3 | 4.5 | 4.5 | 4.5 | 4.5 | 4.0 | 4.0 | 4.0 | 4.0 | |
| Finished blended fabric after treatment | 1 | 4.5 | 4.5 | 4.0 | 4.0 | 3.5 | 3.5 | 3.0 | 3.0 |
| 2 | 4.5 | 4.5 | 4.0 | 4.0 | 3.5 | 3.5 | 3.0 | 3.0 | |
| 3 | 4.5 | 4.5 | 4.0 | 4.0 | 3.5 | 3.5 | 3.0 | 3.0 | |
Visual evaluation of the pilling test
| Grade | Description |
|---|---|
| 5 | Remains unchanged. |
| 4 | Partially formed or slightly fluffed-up pills |
| 3 | Moderate pilling or pills of various sizes cover a section of the sample’s surface. |
| 2 | Prominent pilling or pills of various sizes cover a significant amount of the sample’s surface. |
| 1 | Extremely noticeable pilling or pills of various sizes encompass the entire sample’s surface. |
Raised hypothesis for pilling resistance
| Null hypothesis (H0) | Alternate hypothesis (Ha) |
|---|---|
| There is no difference in the average yield for any raw materials. | There is a difference in the average yield by raw materials. |
| There is no difference in the average yield depending on the type of finishing. | There is a difference in the average yield for any type of finishing. |
| The effect of one independent variable on the average yield does not depend on the effect of the other independent variable. | There is an interaction effect between the group of materials and the type of finishing on the average yield. |
Structural parameters of fabrics examined
| Fabric | Thread system | Raw material | Linear density of yarn | Setting of unfinished fabric, dm−1 | Setting of finished fabric, dm−1 |
|---|---|---|---|---|---|
| Linen | Warp | Linen | 28 tex | 220 | 251 |
| Weft | Linen | 28 tex | 203 | 234 | |
| Hemp | Warp | Hemp | 28 tex | 220 | 249 |
| Weft | Hemp | 28 tex | 203 | 237 | |
| Linen/Hemp | Warp | Linen | 28 tex | 220 | 252 |
| Weft | Hemp | 28 tex | 203 | 235 |
Samples of chemically treated finished fabrics during the pilling resistance test after a specific number of cycles
| Number of cycles | 0 cycles | 500 cycles | 2000 cycles |
|---|---|---|---|
| Finished linen fabric after treatment | |||
| Finished hemp fabric after treatment | |||
| Finished blended fabric after treatment |
Samples of unfinished and finished fabrics during the pilling resistance test after a specific number of cycles
| Number of cycles | 0 cycles | 500 cycles | 2000 cycles |
|---|---|---|---|
| Unfinished linen fabric | |||
| Finished linen fabric | |||
| Unfinished hemp fabric | |||
| Finished hemp fabric | |||
| Unfinished blended fabric | |||
| Finished blended fabric |
Grade of pilling for both unfinished and finished fabrics
| Raw material | Number of samples | Number of cycles | |||||||
|---|---|---|---|---|---|---|---|---|---|
| 125 cycles | 500 cycles | 1000 cycles | 2000 cycles | ||||||
| Expert 1 | Expert 2 | Expert 1 | Expert 2 | Expert 1 | Expert 2 | Expert 1 | Expert 2 | ||
| Unfinished linen | 1 | 3.5 | 3.5 | 2.5 | 2.5 | 2.0 | 2.0 | 1.0 | 1.0 |
| 2 | 3.5 | 3.5 | 2.0 | 2.0 | 2.0 | 2.0 | 1.0 | 1.0 | |
| 3 | 3.0 | 3.0 | 2.0 | 2.0 | 2.0 | 2.0 | 1.0 | 1.0 | |
| Unfinished hemp | 1 | 4.0 | 4.0 | 3.5 | 3.5 | 3.0 | 3.0 | 2.0 | 2.0 |
| 2 | 4.0 | 4.0 | 3.5 | 3.5 | 3.0 | 3.0 | 2.0 | 2.0 | |
| 3 | 4.0 | 4.0 | 3.5 | 3.5 | 3.0 | 3.0 | 2.0 | 2.0 | |
| Unfinished linen/hemp | 1 | 3.5 | 3.5 | 3.0 | 3.0 | 2.5 | 2.5 | 2.0 | 2.0 |
| 2 | 3.5 | 3.5 | 3.0 | 3.0 | 2.5 | 2.5 | 2.0 | 2.0 | |
| 3 | 3.5 | 3.5 | 3.0 | 3.0 | 2.5 | 2.5 | 2.0 | 2.0 | |
| Finished linen | 1 | 4.0 | 4.0 | 3.0 | 3.0 | 2.5 | 2.5 | 2.0 | 2.0 |
| 2 | 4.0 | 4.0 | 3.0 | 3.0 | 2.5 | 2.5 | 2.0 | 2.0 | |
| 3 | 4.0 | 4.0 | 3.0 | 3.0 | 2.5 | 2.5 | 2.0 | 2.0 | |
| Finished hemp | 1 | 4.5 | 4.5 | 4.0 | 4.0 | 4.0 | 4.0 | 3.0 | 3.0 |
| 2 | 4.0 | 4.0 | 4.0 | 4.0 | 4.0 | 4.0 | 3.5 | 3.5 | |
| 3 | 5.0 | 5.0 | 4.0 | 4.0 | 4.0 | 4.0 | 3.5 | 3.5 | |
| Finished linen/hemp | 1 | 4.0 | 4.0 | 3.5 | 3.5 | 3.0 | 3.0 | 2.5 | 2.5 |
| 2 | 4.0 | 4.0 | 3.5 | 3.5 | 3.0 | 3.0 | 2.5 | 2.5 | |
| 3 | 4.0 | 4.0 | 3.5 | 3.5 | 3.0 | 3.0 | 2.5 | 2.5 | |