Linen is a durable and lustrous fabric made from flax, known for its ability to maintain coolness in humid climates and its antibacterial properties. It is widely used in clothing, home textiles, and technical textiles [1]. On the other hand, hemp is an environmentally friendly and sustainable textile solution with numerous advantages. It is biodegradable, adaptable to various applications, and requires less water and fertilizer compared to cotton. Hemp fabric is heat and static electricity resistant, inhibits weed growth, and removes toxic substances from the soil. It has a pleasant hand feel, high durability, and is cool and comfortable to wear [2]. Hemp fibre has the potential to replace synthetic fibres in the textile industry and is a viable option for furnishings [3]. Hemp fabric is a feasible and sustainable alternative to cotton textiles, with the potential to improve qualities through blending with other materials [4]. The processing and production of hemp have positive environmental effects, and various techniques are used to extract and process hemp fibres for textile applications [5]. Hemp fibre is cheaper to grow than cotton and has longer fibres, requiring less processing. It is stronger and more resilient than cotton and has the potential to be a more affordable and environmentally friendly material [6]. Linen fibres are composed of cellulose, lignin, pectin, and wax, while hemp fibres, known as bast fibres, develop in the outermost stem tissues of hemp plants. Primary fibres are longer and larger, suitable for textile applications, while secondary fibres are better for cordage and recycling additives [7, 8]. A hemp plant has a non-uniform distribution of main and secondary fibres, with secondary fibres rising as the plant ages and decreasing along the stem. In order to maximize fibre production, the harvesting season of hemp plants becomes an important factor [9]. Textile-quality fibres can only be produced when hemp is harvested at the right stage when primary fibres dominate and secondary fibres are minimized [10]. Industrial hemp fibre processing has traditionally presented challenges in separating secondary fibres from primary fibres. However, advances in biological and physicochemical processing techniques offer promising solutions [11]. The cultivation period of hemp is crucial for optimizing primary fibre development and producing high-quality textiles. Timing is key, with late April to early May being particularly effective in the North Western Hemisphere, a region gaining interest in sustainable textiles [12]. Linen and hemp fibers can be reused as they are assigned to waste of agricultural origin [13]. A new method of flax fiber separation involving decortication, wet degumming and final mechanical cottonisation, giving the high quality of flax fiber, is suggested in [14]. Research [15] showed the different bioactivity of flax fibres of 5 different species, the method of their extraction applied and the lignin and phenolic acid content in the fibre chemical composition. Different natural cellulosic, man-made and synthetic fibers underwent the biodegradation process for 1 month and 4 months. It was established, that natural cellulosic fibres and viscose fibre biodegraded by 90 % during 4 months [16]. Blends of wood with hemp stalks improve the final yield of pulps, reduce the content of fine fibers and enlarge the average fibre length more than when using blends of wood and a hemp woody-core [17].
Linen and hemp fabrics have unique properties that make them suitable for various applications. Linen fabrics are hypoallergenic, antimicrobial, and wound healing, making them excellent for dressings in the medical field [18]. However, linen fabrics are prone to wrinkles and burn easily. Functional finishing techniques, such as the use of cross-linking agents and starches, can be applied to reduce wrinkles without compromising the fabric’s quality [19]. Hemp fibres have different qualities compared to flax fibres, with hemp being more amorphous and flax more crystalline. The choice of fabric composition, weave pattern, and dyeing technique can affect the mechanical and end-use properties of the materials [20]. Blends of flax, hemp, and cotton are being investigated as eco-friendly alternatives to cotton fabrics, and further research is needed to understand their handle and thermal comfort properties [21]. Blended cotton-hemp fabrics have superior tensile strength, bending strength, and pilling resistance compared to other fabrics [22]. The bleaching of hemp fabric using chemical and biochemical-enzyme combinations can improve its physical traits, such as pilling and abrasion performance [23]. Treating hemp with chitosan can enhance its colour production, soft handle, and resistance to pilling [24]. Fabrics with loop fancy yarns have higher abrasion resistance compared to fabrics with slub fancy yarns [25]. The study by Asanovic, Ivanovska, et al. examined the impact of pilling on the quality of four plain weft-knitted flax single jersey textiles. Results showed no significant differences in the pilling grade, but it decreased with more rubs. The knitted material with the highest stitch density, weight, and thickness had the highest compressive resilience, water retention, bursting strength, and ball traverse elongation [26]. The study by Feng, Li, et al. examined the impact of liquid ammonia pre-treatment and crosslink finishing on the appearance, comfort, and mechanical qualities of hemp, ramie, and linen textiles. Results showed that crosslinked textiles showed less shrinkage, as well as improved cantilever bending stiffness, and moisture retention. The study also found that resin-treated fabrics had more dimensional stability. The findings highlight the importance of these treatments in improving fabric characteristics [27]. Saricam’s study examines the comfort properties of hemp and flax blended denim fabrics after industrial washing processes. The research evaluates air permeability, water vapour permeability, thermal resistance, and water absorption tests. Results show that these fabrics offer superior comfort compared to traditional cotton denim [28]. Linen and hemp fibers can be used for biocomposites reinforced by natural fibers, whose main properties are hydrophilicity, thermal stability and high mechanical properties [29]. The mechanical properties of hemp/sisal fiber reinforced bioepoxy hybrid composites became more even than that when the stacking sequence was changed [30]. Senthikumar et al [31] compared the mechanical properties after weathering of epoxy composites with pure hemp, pure sisal and hemp/sisal reinforcements. They established that all kinds of composites had similar strength and recommended to use the hemp/sisal hybrid composites for outdoor applications [31]. The creep resistance of hemp, sisal and hemp/sisal reinforced biocomposites depended on weathering, the temperature of testing and the layering sequence [32]. Also, the mechanical, vibration and acoustic properties [33] as well as the absorption, swelling and erosion performance [34] of the biocomposites with hemp, Kevlar and hemp/Kevlar woven reinforcements of different weaves were investigated. It was established that all these properties depended on the raw material and structure of the woven reinforcement of the biocomposites [33, 34]. Moreover, the physical, morphological and mechanical properties of biocomposites with flax and jute woven fabric reinforcement were investigated. The strength of natural fibre fabrics was significantly reduced, when the temperature increased [35]. Tensile and flexural properties of PLA biocomposites with flax and flax/PLA weft knitted fabrics were higher than those of pure PLA sheet. The crystallization rate of PLA matrix is enhanced with the presence of reinforced material – flax knit [36]. Some of the moisture management and air permeability properties of linen and linen/polyester fabrics were significantly affected by the number of yarn folds and the weft setting [37]. Treatment of linen fabrics with fluorine-containing acrylate copolymer emulsion enlarges their breaking force and wash- and wear-resistance, but reduces water and air permeability [38].
Pilling is a concern in the textile industry as it affects the appearance, feel, and overall quality of fabrics. Pilling occurs with fabrics made from cotton, wool, and polyester and can be prevented through mechanical techniques such as heat setting and singeing [39]. Compact spinning produces stronger and less pilling-prone yarns compared to traditional ring spinning [40].
The aim of this investigation was to investigate the pilling resistance of linen, hemp, and linen/hemp woven fabrics before and after anti-pilling finishing.
The primary focus of the study was on investigating the end-use performance of unfinished and finished linen, hemp, and linen/hemp blended fabrics before and after anti-pilling treatment. The fabrics investigated are for clothing. The linen and hemp yarns used in these fabrics have a linear density of 28 tex in both the warp and weft directions. The warp was drawn-in by skip-draft into four harnesses. The reeding was two threads per reed dent. The plan of the weave is represented in Fig. 1.

Plan of weave
The materials were woven in plain weave on a rapier weaving loom Itema 9500 (Itema Group, Italy, Colzate) at the textile company Klasikinė tekstilė, which is in Kaunas, Lithuania. The Itema 9500 weaving loom (Fig. 2) is a textile weaving machine that is known for its innovative features and great performance. With modern technology, it is possible to produce high-speed and versatile fabrics with complicated patterns and detailed designs.

Weaving loom Itema 9500
An investigation of the structural parameters of unfinished and finished linen, hemp, and linen/hemp blended fabrics was carried out on the basis of the thread system, the raw material of the fibre, the linear density, and the warp and weft setting of the fabric. Table 1 presents the structural parameters of the fabrics studied.
Structural parameters of fabrics examined
| Fabric | Thread system | Raw material | Linear density of yarn | Setting of unfinished fabric, dm−1 | Setting of finished fabric, dm−1 |
|---|---|---|---|---|---|
| Linen | Warp | Linen | 28 tex | 220 | 251 |
| Weft | Linen | 28 tex | 203 | 234 | |
| Hemp | Warp | Hemp | 28 tex | 220 | 249 |
| Weft | Hemp | 28 tex | 203 | 237 | |
| Linen/Hemp | Warp | Linen | 28 tex | 220 | 252 |
| Weft | Hemp | 28 tex | 203 | 235 |
The linear density of all the fabric’s warp and weft threads investigated was 28 tex. The linear density of fabric is a measure of its thickness, and in this situation, all fabrics were of the same thickness. The unfinished linen, hemp, and blended linen/hemp fabrics had warp and weft settings of 220 dm−1 and 203 dm−1, respectively. It ensured that the structure of all the unfinished fabrics was identical. However, the warp and weft settings of the finished fabrics were a little different. The finished linen fabric’s warp and weft settings were 251 dm−1 and 234 dm−1, respectively. The warp setting in the finished hemp fabric was 249 dm−1 and the weft setting 237 dm−1. The warp setting in the finished linen/hemp blended fabrics was 252 dm−1 and the weft setting 235 dm−1. However, these differences are not significant, and it can be said that the settings of the finished fabrics are similar.
The unfinished fabrics went through washing, dyeing, and mechanical softening processes. As part of the finishing process, fabrics were washed, dyed, rinsed, softened, dried and treated with enzymes. The schematic process is shown in Fig. 3.

Schematic diagram of finishing process and additional technological operations
All of the treatments were carried out using BRONGO LC-150 (Brongo, Valencia, Italy) equipment. This machine has a number of automated operations that allow it to handle all treatments rapidly and efficiently. The treatments increased the appeal and durability of the fabric, as well as its ability to withstand wear and tear. The textiles were washed for 10–15 minutes at 65°C and then dyed for 75–120 minutes at 60°C. For dyeing, Novotron reactive dyestuff (Hausmann, Zurich, Switzerland) was utilized. Reactive dyestuff was chosen for its ability to adhere to the fabric and create long-lasting color. For each treatment, optimal temperatures and durations were maintained to ensure that the fabric was adequately treated. After dying, the fabrics were rinsed with cold water twice and with hot water twice. Each rinse took five minutes. Any extra dye was removed by rinsing with cold water, while the hot water rinse set the color. Softening was then performed in an acidic atmosphere at 40°C for 15 minutes. The softening agent utilized was Everzol (Eeverlight Chemical Industrial Corp., Taipei, Taiwan). A softening agent called Everzol made the fabric softer and smoother by neutralizing any alkalinity in the dye. Drying was done for 15 minutes at a temperature of 60°C. Furthermore, the fabrics were also treated with enzymes to prevent pilling and improve end-use qualities and dried under the same conditions.
Enzymatic treatment (biopolishing) was carried out in the same universal machine BRONGO LC-150 using the enzyme BEIZYM UL (CHT, Tubingen, Germany) in an acidic environment (pH 4.5–5) and at a temperature of 20°C. The treatment lasted for 20 minutes. It was required to rinse the fabric in hot water (80°C) following enzymatic treatment.
In compliance with Standard LST EN ISO 139:2006 “Textiles Standard Atmospheres for Conditioning and Testing”, the samples were left for a whole day, and the experiments were performed under standard conditioning and testing environment at a temperature of (20 ± 2)°C and relative humidity of (65 ± 4)%.
The samples to be studied were placed on the shelf, which has a level horizontal surface and is air-permeable.
A Martindale pilling and abrasion tester MESDAN-LAB, Code 2561E (SDL AT-LAS, London, England) was used to determine the pilling resistance of woven fabrics (Fig. 4). The experiment was carried out in accordance with the standard LST EN ISO 12945-2:2000 “Textiles. Determination of fabric propensity to surface fuzzing and to pilling, Part 2: Modified Martindale Method”. Three pairs of circular samples were cut from the fabrics under investigation, three of which were placed on the holders and the other three on the pilling table.

Martindale abrasion and pilling tester MESDAN-LAB, Code 2561E (SDL AT-LAS, London, England)
After passing a specific number of cycles outlined in the standard, two experts visually examined each sample. According to the standard, the number of cycles after which the tester must be stopped is 125, 500, 1000, and 2000 cycles. A total of 2000 cycles is considered sufficient if the abraded samples have an appearance grade of 4 or lower after 2000 cycles. All investigations using woven textile samples complied with this requirement. After evaluating each sample’s appearance, the pilling grade was determined, and the average result was calculated. The pilling grades are described in Table 2.
Visual evaluation of the pilling test
| Grade | Description |
|---|---|
| 5 | Remains unchanged. |
| 4 | Partially formed or slightly fluffed-up pills |
| 3 | Moderate pilling or pills of various sizes cover a section of the sample’s surface. |
| 2 | Prominent pilling or pills of various sizes cover a significant amount of the sample’s surface. |
| 1 | Extremely noticeable pilling or pills of various sizes encompass the entire sample’s surface. |
The samples were evaluated based on the changes in the fabric’s surface. The fabric with no surface changes was graded as 5, indicating that it had excellent pilling performance. The lowest grade of 1 indicated that the fabric had minimal pilling performance, with highly noticeable pill formation on the fabric surface.
All fabrics were weighed with an electronic balance - KERN EW150-3M (Kern & Sohn GmbH, Balingen, Germany) before and after the pilling test.
The mass loss was calculated according to Equation 1.
According to the situational analysis, pilling resistance has an important effect on the fabric’s durability. The pilling resistance of unfinished and finished linen, hemp, and linen/hemp blended fabrics was evaluated through a comprehensive analysis. The results included a comparison of pilling resistance among the unfinished and finished fabrics, allowing for an investigation of the impact of the finishing procedure on this particular attribute. In addition, the overall pilling resistance of the woven fabric was improved by blending linen and hemp. Additionally, an enzymatic treatment was applied to all fabrics under investigation in an attempt to increase their resistance to pilling. Following treatment, the pilling resistance of all treated fabrics was evaluated, and comparisons were made to the results obtained for finished fabrics. The objective of this comparison was to determine which fabric showed the greatest improvement in pilling resistance after enzymatic treatment.
The pilling resistance was assessed by performing a pilling test on unfinished and finished linen, hemp, and linen/hemp blended textiles in accordance with the standards mentioned in the methodology.
The pilling characteristics of unfinished as well as finished samples of linen, hemp, and linen/hemp fabric at various cycle intervals are presented in Table 3.
Samples of unfinished and finished fabrics during the pilling resistance test after a specific number of cycles
| Number of cycles | 0 cycles | 500 cycles | 2000 cycles |
|---|---|---|---|
| Unfinished linen fabric | |||
| Finished linen fabric | |||
| Unfinished hemp fabric | |||
| Finished hemp fabric | |||
| Unfinished blended fabric | |||
| Finished blended fabric |
It can be seen that at 500 cycles, the fabric’s surface became fluffier, and some pills started to appear on the surface of the fabrics. Following 2000 cycles, it was observed that a distinct pill formation had occurred across the entire surface of all the fabrics. These results showed that the appearance of the samples was getting worse during the pilling test. Thus, the appearance of all the fabrics can change significantly during the real wearing process and a garment made from these fabrics will not be able to be worn for a long time.
The fabrics were then visually inspected and graded to determine their pilling resistance. The pilling grades of the fabrics investigated are displayed in Table 4. The statistical characteristics of the results cannot be calculated, because the grade value is established as a score, whose value is conventional and depends on the appearance of the fabric. According to the standard, the general value of all the grades is not the average of all three elementary values, but the dominant value of the grade.
Grade of pilling for both unfinished and finished fabrics
| Raw material | Number of samples | Number of cycles | |||||||
|---|---|---|---|---|---|---|---|---|---|
| 125 cycles | 500 cycles | 1000 cycles | 2000 cycles | ||||||
| Expert 1 | Expert 2 | Expert 1 | Expert 2 | Expert 1 | Expert 2 | Expert 1 | Expert 2 | ||
| Unfinished linen | 1 | 3.5 | 3.5 | 2.5 | 2.5 | 2.0 | 2.0 | 1.0 | 1.0 |
| 2 | 3.5 | 3.5 | 2.0 | 2.0 | 2.0 | 2.0 | 1.0 | 1.0 | |
| 3 | 3.0 | 3.0 | 2.0 | 2.0 | 2.0 | 2.0 | 1.0 | 1.0 | |
| Unfinished hemp | 1 | 4.0 | 4.0 | 3.5 | 3.5 | 3.0 | 3.0 | 2.0 | 2.0 |
| 2 | 4.0 | 4.0 | 3.5 | 3.5 | 3.0 | 3.0 | 2.0 | 2.0 | |
| 3 | 4.0 | 4.0 | 3.5 | 3.5 | 3.0 | 3.0 | 2.0 | 2.0 | |
| Unfinished linen/hemp | 1 | 3.5 | 3.5 | 3.0 | 3.0 | 2.5 | 2.5 | 2.0 | 2.0 |
| 2 | 3.5 | 3.5 | 3.0 | 3.0 | 2.5 | 2.5 | 2.0 | 2.0 | |
| 3 | 3.5 | 3.5 | 3.0 | 3.0 | 2.5 | 2.5 | 2.0 | 2.0 | |
| Finished linen | 1 | 4.0 | 4.0 | 3.0 | 3.0 | 2.5 | 2.5 | 2.0 | 2.0 |
| 2 | 4.0 | 4.0 | 3.0 | 3.0 | 2.5 | 2.5 | 2.0 | 2.0 | |
| 3 | 4.0 | 4.0 | 3.0 | 3.0 | 2.5 | 2.5 | 2.0 | 2.0 | |
| Finished hemp | 1 | 4.5 | 4.5 | 4.0 | 4.0 | 4.0 | 4.0 | 3.0 | 3.0 |
| 2 | 4.0 | 4.0 | 4.0 | 4.0 | 4.0 | 4.0 | 3.5 | 3.5 | |
| 3 | 5.0 | 5.0 | 4.0 | 4.0 | 4.0 | 4.0 | 3.5 | 3.5 | |
| Finished linen/hemp | 1 | 4.0 | 4.0 | 3.5 | 3.5 | 3.0 | 3.0 | 2.5 | 2.5 |
| 2 | 4.0 | 4.0 | 3.5 | 3.5 | 3.0 | 3.0 | 2.5 | 2.5 | |
| 3 | 4.0 | 4.0 | 3.5 | 3.5 | 3.0 | 3.0 | 2.5 | 2.5 | |
The unfinished hemp and linen fabrics, in particular, regularly demonstrated lower pilling grades than their finished equivalents across the prescribed cycle intervals. The linen/hemp blended fabric likewise complies with this pattern, exhibiting lower average pilling grades in its unfinished condition. Thus, it can be stated, that finishing processes, such as washing, dying and softening improve the pilling resistance of all the fabrics, because the fabrics become denser, heavier and softer than unfinished fabrics. At the same time, the structure of finished fabric becomes more compact, and consequently its pilling performance becomes better.
A column diagram of pilling grades was drawn concerning the kind of fabric based on the average grades of three samples from Table 4 to examine the pilling resistance of all the textiles researched. The diagram is depicted in Figure 5. The evaluation of the pilling resistance of the fabrics that were tested does not include any statistical parameters, as can be observed. This is because pilling resistance is evaluated based on grades rather than other values that are measured. Nevertheless, because of this, it is not possible to establish the statistical characteristics.

Graph of pilling performance of unfinished and finished fabrics investigated
According to the graph (Fig. 5), unfinished hemp fabric has the highest pilling resistance in comparison to linen fabric at about 1.0 grade and to blended linen/hemp fabric at about 0.5 grade at all stages of the pilling test. The results of the finished fabrics are distributed similarly, i.e., the pilling grades are lower from 0.5 grade after 125 cycles to 1.5 grade after 2000 cycles for linen fabrics and from 0.5 grade after 125 cycles to 1.0 grade after 2000 cycles for blended linen/hemp fabric. Also, it can be seen that the finishing process improves the pilling performance of the fabrics of all raw materials, from 0.5 grades for linen and blended fabrics, to 0.5–1.5 grades for hemp fabric. The reason for such results can be that hemp yarn is made from long fibres, and its surface becomes plainer than that of other fibre yarns during the pilling process. Thus, the results of the pilling test for hemp fabric are the highest, and for linen fabric the lowest. The blended fabric’s pilling resistance occupies an intermediate position between the other two fabrics, i.e., the blending of linen and hemp fibres in one fabric improves the pilling performance of linen fabric.
With the aim of improving the pilling resistance of linen fabrics individually, the blending of linen with hemp fibres was employed, and it was found that linen exhibited better pilling performance when blended with hemp both before and after finishing. This is because blended textiles provide pilling resistance by integrating diverse fibre qualities. Blending natural fibres with another long-lasting natural fibre helps to maintain a smooth fabric surface over time. Blended fabrics reduce the possibility of pilling caused by repetitive rubbing by reducing friction between the threads. Moreover, the enhanced pilling resistance of these fabrics contributes to their durability, preventing the formation of fibers and pills on the surface of the fabrics. In order to avoid pilling, it is suggested to develop blended materials to minimize wear and friction in specific regions.
The results obtained are consistent with the findings from [20] on the pilling resistance of textiles made of the same raw material. It was also determined by the authors that hemp fabric has the highest value of all the properties of this fabric, and that all the textiles under investigation have greater pilling resistance upon finishing. Reference [21] describes the investigation of some end-use properties of blended linen, hemp and cotton fabrics. The use of these blends is an interesting fact because authors also suggest using a blend of linen and hemp to improve the pilling resistance of linen woven fabrics. It was also shown in [22] that fabric composed of longer hemp fibers resists pilling better than fabric composed of shorter cotton fibers. The fabric structural parameters, as well as the magnitude of fancy yarns’ effects with linen components can influence the pilling and abrasion resistance of linen and linen/polyester fabrics [25, 26, 37]. Research [28] agrees with current results because simple industrial washing improves the end-use properties of blended hemp/linen denim fabric. Even the existence of hemp fiber or hemp woven fabric in the composition of reinforced biocomposites upgrades the physical and mechanical properties of hemp/sisal, hemp/Kevlar, flax/jute, and flax/PLA composites [29,30,31,32,33,34,35,36]. These findings are consistent with current results that showed similar tendencies for linen and hemp fabrics.
With the goal of improving the pilling strength of finished linen, hemp, and linen/hemp blended fabrics, the finished fabrics investigated were additionally treated enzymatically with an enzyme called “BEIZYM UL”. Later, the pilling performance was evaluated for the treated fabrics.
Table 5 shows the pilling properties of treated linen, hemp, and linen/hemp fabric at different cycle intervals. It was discovered that when the number of cycles increased, specific changes occurred in the materials, but at the end of the test (after 2000 cycles), the number of pills was lower than that of fabrics without enzymatic treatment. Thus, it can be stated that enzymatic treatment improves the appearance of all the fabrics under wearing of the garment made from these fabrics.
Samples of chemically treated finished fabrics during the pilling resistance test after a specific number of cycles
| Number of cycles | 0 cycles | 500 cycles | 2000 cycles |
|---|---|---|---|
| Finished linen fabric after treatment | |||
| Finished hemp fabric after treatment | |||
| Finished blended fabric after treatment |
The enzymatically treated fabrics were then visually inspected and graded to determine their pilling resistance. The pilling grades of the finished fabrics before treatment and after treatment are displayed in Table 6. The errors, confidence interval and standard deviation or other statistics were not calculated, because the grade was established not as numerical value but according to a description of the appearance, and it is conventional. According to the standard, even the average value is not calculated.
Grade of pilling for finished fabrics before and after enzymatic treatment
| Raw material | Number of samples | Number of cycles | |||||||
|---|---|---|---|---|---|---|---|---|---|
| 125 cycles | 500 cycles | 1000 cycles | 2000 cycles | ||||||
| Expert 1 | Expert 2 | Expert 1 | Expert 2 | Expert 1 | Expert 2 | Expert 1 | Expert 2 | ||
| Finished linen fabric before treatment | 1 | 4.0 | 4.0 | 3.0 | 3.0 | 2.5 | 2.5 | 2.0 | 2.0 |
| 2 | 4.0 | 4.0 | 3.0 | 3.0 | 2.5 | 2.5 | 2.0 | 2.0 | |
| 3 | 4.0 | 4.0 | 3.0 | 3.0 | 2.5 | 2.5 | 2.0 | 2.0 | |
| Finished hemp fabric before treatment | 1 | 4.5 | 4.5 | 4.0 | 4.0 | 4.0 | 4.0 | 3.0 | 3.0 |
| 2 | 4.0 | 4.0 | 4.0 | 4.0 | 4.0 | 4.0 | 3.5 | 3.5 | |
| 3 | 5.0 | 5.0 | 4.0 | 4.0 | 4.0 | 4.0 | 3.5 | 3.5 | |
| Finished blended fabric before treatment | 1 | 4.0 | 4.0 | 3.5 | 3.5 | 3.0 | 3.0 | 2.5 | 2.5 |
| 2 | 4.0 | 4.0 | 3.5 | 3.5 | 3.0 | 3.0 | 2.5 | 2.5 | |
| 3 | 4.0 | 4.0 | 3.5 | 3.5 | 3.0 | 3.0 | 2.5 | 2.5 | |
| Finished linen fabric after treatment | 1 | 4.0 | 4.0 | 3.5 | 3.5 | 3.5 | 3.5 | 3.0 | 3.0 |
| 2 | 4.0 | 4.0 | 3.5 | 3.5 | 3.0 | 3.0 | 3.0 | 3.0 | |
| 3 | 4.0 | 4.0 | 3.5 | 3.5 | 3.0 | 3.0 | 3.0 | 3.0 | |
| Finished hemp fabric after treatment | 1 | 4.5 | 4.5 | 4.5 | 4.5 | 4.0 | 4.0 | 4.0 | 4.0 |
| 2 | 4.5 | 4.5 | 4.5 | 4.5 | 4.0 | 4.0 | 4.0 | 4.0 | |
| 3 | 4.5 | 4.5 | 4.5 | 4.5 | 4.0 | 4.0 | 4.0 | 4.0 | |
| Finished blended fabric after treatment | 1 | 4.5 | 4.5 | 4.0 | 4.0 | 3.5 | 3.5 | 3.0 | 3.0 |
| 2 | 4.5 | 4.5 | 4.0 | 4.0 | 3.5 | 3.5 | 3.0 | 3.0 | |
| 3 | 4.5 | 4.5 | 4.0 | 4.0 | 3.5 | 3.5 | 3.0 | 3.0 | |
Table 6 presents the average pilling grades after 125, 500, 1000, and 2000 cycles for finished fabrics made of linen, hemp, and linen/hemp blends before and after enzymatic treatment. The finished hemp and linen fabrics, in particular, regularly demonstrated lower pilling grades than the treated fabrics across the prescribed cycle intervals. The linen/hemp blended fabric likewise complies with this pattern, exhibiting lower average pilling grades before treatment. Thus, the pilling performance becomes better (the pilling grades become higher) for all the fabrics after the enzymatic treatment, because this kind of finishing improves the surface of the fabrics by making it smoother, removing the fluff from the surface of the fabric. Because of that reason, the pilling grades of the treated fabrics becomes higher.
The column diagram was plotted using the pilling grades obtained from Table 6. The diagram is presented in Fig. 6.

Graph of pilling performance of investigated finished fabrics before and after treatment
The graph indicates that the pilling performance was further enhanced by treating the finished fabrics with the enzyme. After 125 cycles, this improvement is not visible, but it becomes high with the increase in the number of cycles. For example, at the end of the pilling test, the pilling resistance rises to 1.0 grade for linen fabric and 0.5 grade for hemp and blended linen/hemp fabrics. Thus, the finishing has the greatest influence on linen fabric pilling resistance and the least on hemp fabric pilling resistance, because the difference between the pilling resistance of hemp fabric with the usual finishing changes more than that of hemp fabric with the additional enzymatic treatment. Such a result can be because the hemp fiber is longer than linen fiber and the surface of the hemp fabric is smooth enough even after the usual finishing. Because of this reason the surface and pilling resistance of the fabric change less after the additional enzymatic treatment. Thus, it can be recommended to use the enzymatic treatment for linen and blended fabrics, but not for hemp fabrics.
The mass loss after the pilling test was established for the fabrics of different raw material and finishing (Fig. 7). From the diagram, it can be seen that the weight of unfinished fabrics varied the most, i.e. from 5.9 percent for hemp fabric up to 10.5 percent for linen fabric. The mass of finished fabrics changed less, i.e. 6.6 percent for linen fabric, 3.4 percent for hemp fabric and 4.9 percent for blended linen/hemp fabric. The mass loss after the enzymatic treatment remains the same in comparison to this after the usual finishing (the percentage changed within the limits of errors). The hairs and lint on unfinished fabrics are less attached to the surface of the fabric than on finished fabrics. Therefore, during the pilling test, they fray and separate from the surface of the fabric faster. For this reason, the mass loss of unfinished fabrics is higher than that of those after finishing. The highest mass loss was established for linen fabrics and the lowest – for hemp fabrics in all variants of finishing. Blended fabrics occupy an intermediate position in terms of mass loss. The mass loss was reduced by 37.2 percent for linen fabric, 42.4 percent for hemp fabric and 32.9 percent for linen/hemp fabric after finishing. Linen fiber is shorter than hemp fiber, so linen fabric from short fiber has more protruding fiber ends on the surface, which are easier to remove from the fabric during testing. Therefore, during the pilling test, the mass loss of linen fabric is greater than that of hemp fabric.

Diagram of the mass loss of the investigated fabrics with different types of finishing

ANOVA table for the influence of pilling resistance on the raw material and type of finishing
The results obtained are consistent with those published in [21], demonstrating that finishing techniques affect the end-use characteristics of fabrics made of cotton, hemp, and linen as well as those of blends of these fibres. Enzyme treatment also improves the resistance of bleached hemp fabric to pilling, as confirmed in reference [23]. While chitosan was the chemical utilized in another experiment [24], the use of chitosan improves hemp fabric’s ability to pill. Also, the wearing properties of linen fabrics can be improved using different functional finishing techniques and natural chemical materials [19]. Another research [27] showed the improvement of many physical and mechanical properties of hemp, ramie and linen fabrics using liquid ammonia pretreatment and crosslinking finishing. The wear resistance of linen fabrics can be reduced by treating them with fluorine-containing acrylate copolymer emulsion [38]. The results obtained line up with the findings of other researchers; only different kinds of treatment and chemicals were used in them [19, 21, 23, 24, 27, 38].
In order to find out whether the raw material and type of finishing (independent variables) affect the pilling resistance of the fabric (dependent variable), a two-way analysis of variance was applied using MatLab software.
First, the null hypothesis and alternate hypothesis were formulated, shown in Table 7.
Raised hypothesis for pilling resistance
| Null hypothesis (H0) | Alternate hypothesis (Ha) |
|---|---|
| There is no difference in the average yield for any raw materials. | There is a difference in the average yield by raw materials. |
| There is no difference in the average yield depending on the type of finishing. | There is a difference in the average yield for any type of finishing. |
| The effect of one independent variable on the average yield does not depend on the effect of the other independent variable. | There is an interaction effect between the group of materials and the type of finishing on the average yield. |
The ANOVA analysis table for the influence of pilling resistance on the raw material (“columns” in the table) and type of finishing (“rows” in the table) is presented in Fig. 7.
The results obtained show that the hypothesis, “There is no difference in the average yield for any raw materials” is rejected (pvalue = 0.0064<0.05), and the alternate hypothesis, “There is a difference in the average yield for any raw materials” is accepted. That means that raw materials influence pilling performance.
The second null hypothesis, “There is no difference in the average yield depending on the type of finishing” is also rejected (pvalue = 0.0012<0.05), and the alternate hypothesis, “There is a difference in the average yield for any type of finishing” is accepted. This result shows that the type of finishing influences pilling resistance.
However, the third null hypothesis, “The effect of one independent variable on the average yield does not depend on the effect of the other independent variable” is accepted because pvalue = 0.9784>0.05. This means that the raw material and the type of finishing independently affect pilling resistance.
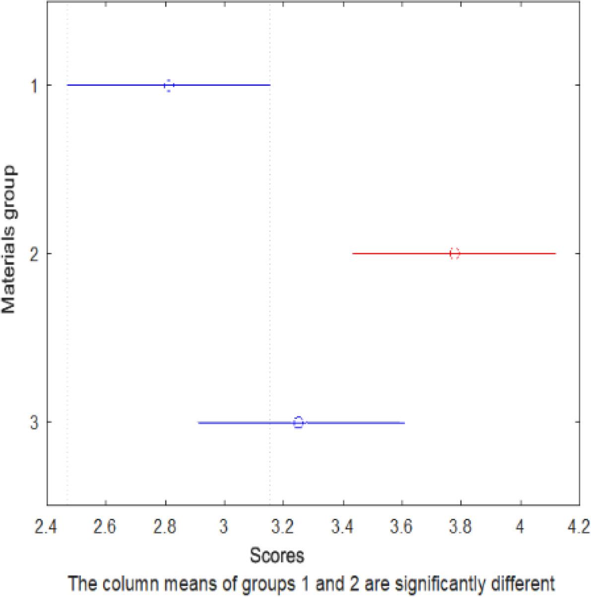
A multiple comparison test was performed to see how different raw materials affect the pilling performance (pvalue = 0.0064<0.05). The confidence intervals of linen, hemp, and blended linen/hemp fabrics are presented in Fig. 8. The average of the second group (hemp fabric) is statistically different from the rest of the groups (linen and blended fabrics). This means that the raw material affects pilling performance.

Confidence intervals of pilling resistance for different raw materials
Also, a multiple comparison test was performed to see how the type of finishing affects the pilling performance (pvalue = 0.0012<0.05). The confidence intervals of pilling resistance for fabrics after different types of finishing are shown in Fig. 9.

Confidence intervals of pilling resistance for different types of finishing: (1) unfinished fabric;,(2) finished fabric;(3) finished fabric after enzymatic treatment
The average of the first group (unfinished fabric) differs statistically from those of the other groups (finished fabric and finished fabric after enzymatic treatment). This means that the type of finishing influences pilling performance.
The end-use qualities of fabrics are crucial in terms of durability. It is vitally important to evaluate the fabric’s end-use properties. Pilling resistance was one of them. According to the research, hemp fabric is the most resistant to pilling. The pilling grades are lower from 0.5 grade after 125 cycles to 1.5 grade after 2000 cycles for linen fabrics and from 0.5 grade after 125 cycles to 1.0 grade after 2000 cycles for blended linen and hemp fabric. Therefore, a linen/hemp blend can significantly enhance linen fabric pilling resistance.
The finishing process improves the pilling performance of the fabrics of all raw materials, from 0.5 grades for linen and blended fabrics to 0.5–1.5 grades for hemp fabric. Additional enzymatic treatment using the enzyme BEIZYM-UL improved the material pilling resistance to 1.0 grade for linen fabric and 0.5 grade for hemp and blended linen/hemp fabrics. Finishing has the greatest influence on linen fabric pilling resistance and the least on hemp fabric pilling resistance because hemp fiber is longer than linen fiber; the surface of hemp fabric is smooth enough even after the usual finishing, and the surface and pilling resistance of the fabric change less after the additional enzymatic treatment.
The mass of unfinished fabrics is the highest and that of finished fabrics – the lowest. The mass loss after the enzymatic treatment does not change as compared to that after the usual finishing. During the pilling test, loose hair and lint are less stuck to the surface of the fabric and separate from it more easily. Thus, the mass loss of unfinished fabrics is higher than that of fabrics after finishing. The mass loss of linen fabrics was the highest and that of hemp fabrics – the lowest. Linen fiber is shorter than hemp fiber, so the protruding fiber ends on the surface of linen fabric are easier to remove. Therefore, the mass loss of linen fabric is higher than that of hemp fabric.
The ANOVA statistical analysis showed that raw materials influence pilling performance, the type of finishing influences pilling resistance, and the raw material and type of finishing independently affect pilling resistance.