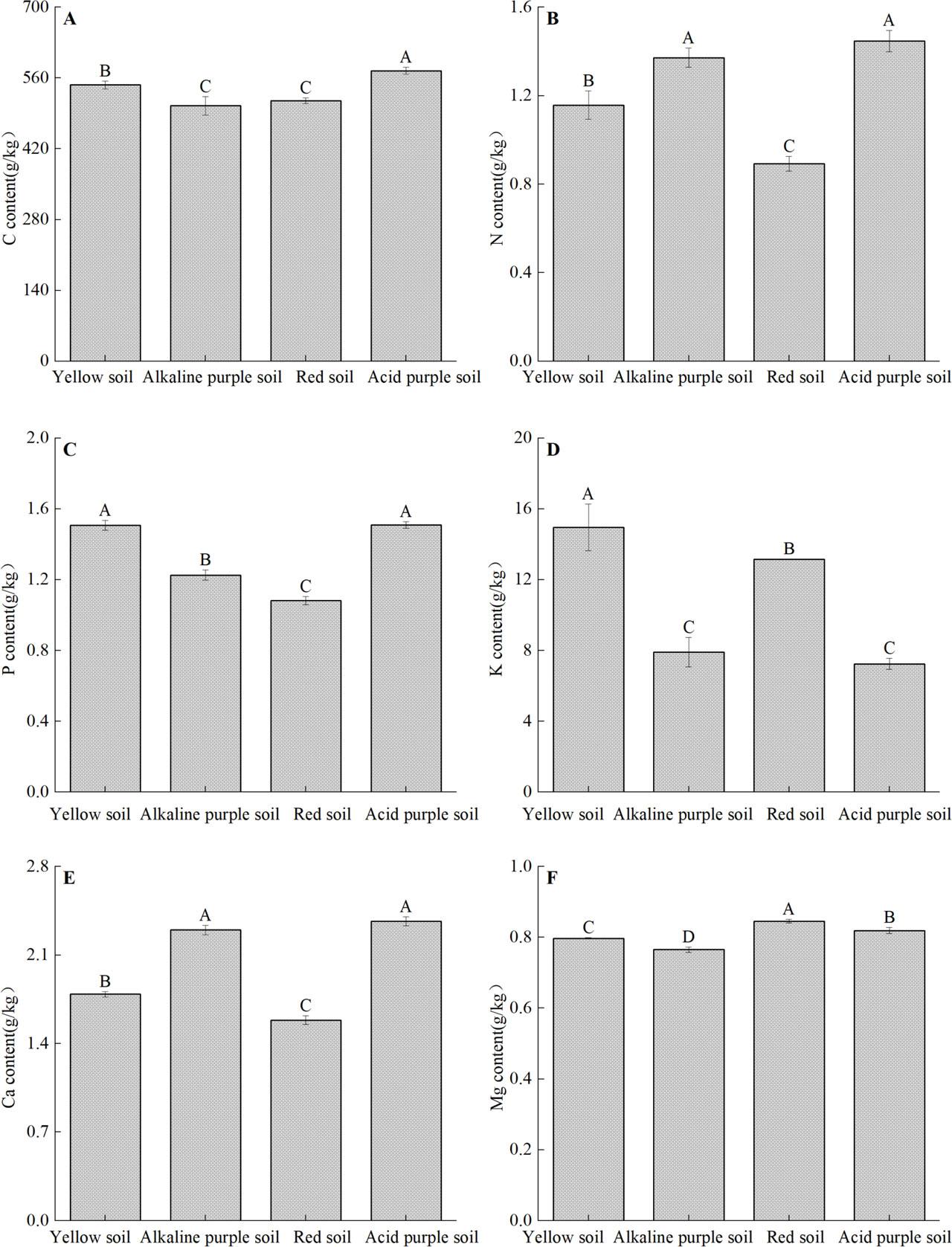
Figure 1.

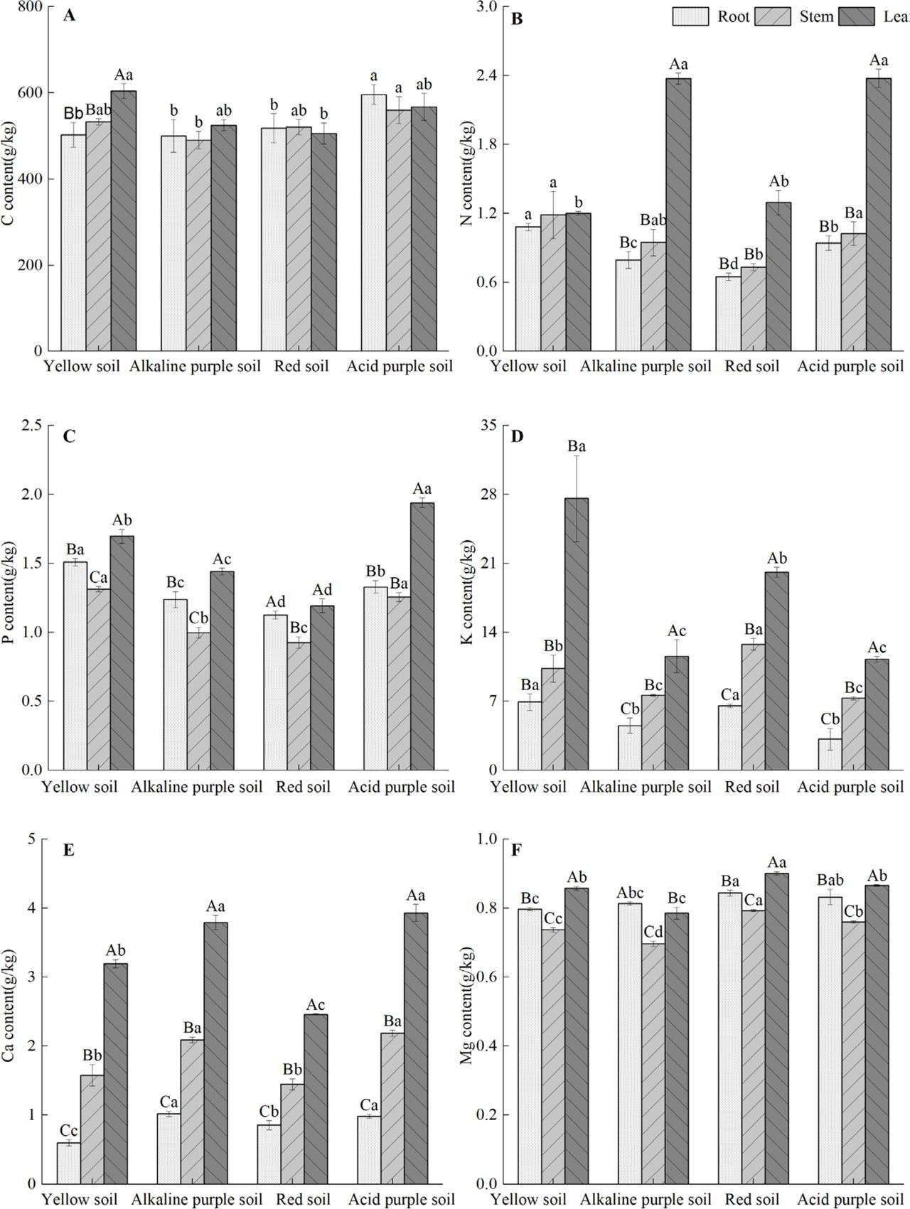
Figure 2.

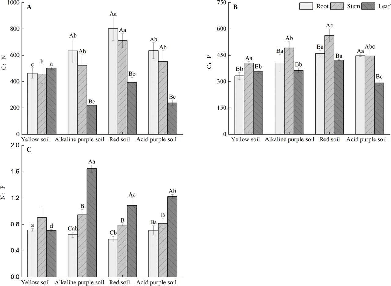
Figure 3.

Figure 4.

Figure 5.

Figure 6.

Basic physical and chemical properties of four soil types (means ± SE, n = 3)_
| Soil type | pH | Organic matter (g·kg−1) | Bulk density (g·cm−3) | Total nitrogen (g·kg−1) | Total phosphorus (g·kg−1) | Total potassium (g·kg−1) |
|---|---|---|---|---|---|---|
| YS | 4.79B±0.12 | 33.50A±0.64 | 1.32A±0.07 | 1.89A±0.11 | 0.08C±0.00 | 2.21B±0.09 |
| ACS | 5.12A±0.14 | 35.51A±0.74 | 1.29A±0.04 | 1.67A±0.09 | 0.83A±0.03 | 2.49B±0.06 |
| RS | 5.14A±0.16 | 16.64C±0.66 | 1.30A±0.06 | 1.14B±0.07 | 0.07C±0.00 | 3.15A±0.08 |
| ALS | 8.67A±0.23 | 20.99B±0.91 | 1.25B±0.08 | 1.65A±0.15 | 0.30B±0.01 | 3.56A±0.10 |
Two-dimensional variance analysis of effects of soil types, organs and their interactions on biomass, nutrient element, C:N, C:P, and N:P ratios_
| Factor | Biomass | C | N | P | K | Ca | Mg | C:N | C:P | N:P |
|---|---|---|---|---|---|---|---|---|---|---|
| Soil types | *** | *** | *** | *** | *** | *** | *** | *** | *** | *** |
| Organ | *** | ns | *** | *** | *** | *** | *** | *** | *** | *** |
| Soil types* Organ | *** | ** | *** | *** | *** | *** | *** | *** | *** | *** |