Figure 1

Figure 2

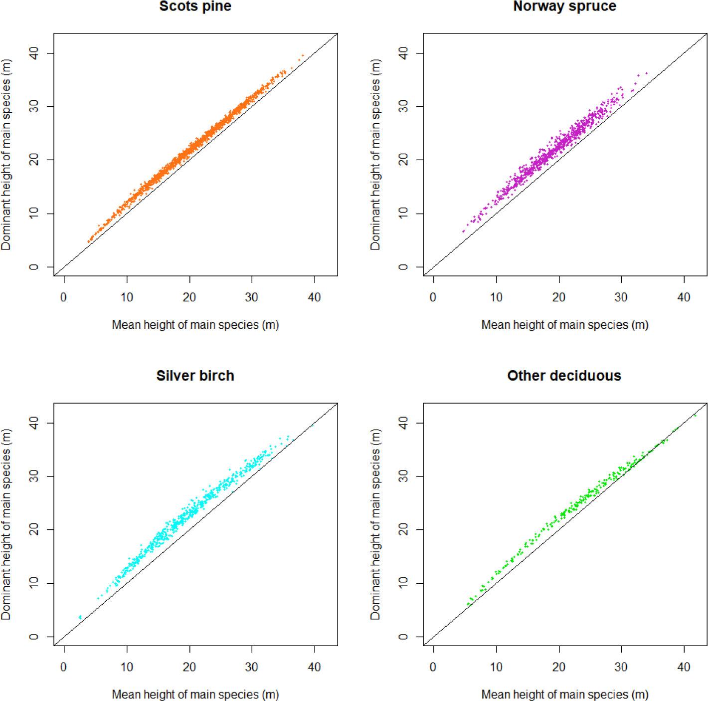
Figure 3

Figure 4

Figure 5

Figure 6

Figure 7

Figure 8

Figure 9

Figure 10

Height curve statistics specifications for Table 2_
| Height curve statistics |
|---|
| n – number on dominant trees; |
| me – arithmetic mean residual hmeasured – hpredicted (systematic error); |
| sde – quadratic mean residual hmeasured – hpredicted (random error); |
| p-value – t-test for hypothesis that mean residual is different from zero; |
| desc – despite excluding outliers and a moderate number of observations (n ≥ 16) in each cohort, the height curve was descending (parameter a < 0 for models 2 and 3, parameter b < 0 for model 4) in the case of some cohorts. |
Values of species-specific coefficients for height curve models 4, 5 and 6_
| Model | Coefficient | Scots pine | Norway spruce | Silver birch | Other deciduous |
|---|---|---|---|---|---|
| 5 | asp | 0.30201 | 0.44325 | 0.27936 | 0.27936 |
| 6 | asp | 0.32044 | 0.44103 | 0.39554 | 0.25803 |
| 6 | bsp | 0.00434 | 0.00643 | 0.00629 | 0.00582 |
| 4, 6 | csp | 1.48076 | 1.37255 | 1.32998 | 2.04430 |
Species-specific coefficients for regression model (9)_
| Coefficient | Scots pine | Norway spruce | Silver birch | Other deciduous |
|---|---|---|---|---|
| a0 | 2.0494 | 3.3661 | 3.0474 | 1.7910 |
| a1 | −0.0964 | −0.1231 | −0.0824 | −0.1108 |
| a2 | −15.686 | −14.070 | −34.854 | −15.215 |
Fit statistics of the height curve models (2–6) for dominant trees based on experimental data_ (n – number of trees; me – mean residual; sde – mean square residual; p-value – p-value of t-test; desc – number cohorts with a descending height curve)_
| Statistic | Scots pine | Norway spruce | Silver Birch | Other deciduous | All species |
|---|---|---|---|---|---|
| n | 5165 | 914 | 426 | 76 | 6581 |
| Model (2) me | −0.08 | −0.17 | −0.18 | −0.23 | −0.10 |
| Model (2) sde | 1.37 | 1.18 | 1.38 | 1.41 | 1.35 |
| Model (2) p-value | <0.001 | <0.001 | 0.008 | 0.165 | <0.001 |
| Model (2) desc | 5 | 0 | 1 | 0 | 6 |
| Model (3) me | −0.07 | −0.13 | −0.15 | −0.21 | −0.09 |
| Model (3) sde | 1.37 | 1.18 | 1.38 | 1.40 | 1.35 |
| Model (3) p-value | <0.001 | 0.001 | 0.025 | 0.188 | <0.001 |
| Model (3) desc | 5 | 0 | 1 | 0 | 6 |
| Model (4) me | −0.01 | −0.08 | −0.11 | 0.01 | −0.03 |
| Model (4) sde | 1.37 | 1.17 | 1.37 | 1.35 | 1.34 |
| Model (4) p-value | 0.602 | 0.044 | 0.113 | 0.937 | 0.127 |
| Model (4) desc | 5 | 0 | 1 | 0 | 6 |
| Model (5) me | −0.09 | −0.61 | −0.14 | −0.44 | −0.17 |
| Model (5) sde | 1.47 | 1.45 | 1.51 | 1.49 | 1.47 |
| Model (5) p-value | <0.001 | <0.001 | 0,060 | 0,009 | <0.001 |
| Model (6) me | −0.03 | −0.05 | −0.23 | 0.02 | −0.04 |
| Model (6) sde | 1.47 | 1.32 | 1.52 | 1.37 | 1.45 |
| Model (6) p-value | 0.142 | 0.301 | 0.002 | 0.896 | 0.013 |