Mango (Mangifera indica L.) is an important tropical fruit being under cultivation for more than 4000 years all over India. Mango holds a special place in India, both culturally and economically. With 1.23 million hectares dedicated to mango cultivation and an impressive annual production of 10.99 million tons, India is the major producer in the global mango market. The country’s production accounts for 57.18% of the world’s total mango output, highlighting its pivotal role in global fruit supply. The major producing regions of mango include Uttar Pradesh, Maharashtra, Andhra Pradesh, Tamil Nadu, Karnataka and Gujarat. In Tamil Nadu, mango cultivation covers an area of approximately 147982.98 hectares, producing about 943367.84 metric tons (MT) annually (Department of Horticulture and Plantation Crops, 2023). Mango is high in vitamins, minerals and antioxidants and has been associated with a variety of health advantages, including potential anticancer effects, increased immunity, digestive health and eye health. According to the United States Department of Agriculture (USDA), one cup of chopped mango (99 calories) has 1.4 g of protein, 0.6 g of fat, 24.8 g of carbohydrates, 2.6 g of fibre, 22.6 g of sugars, 89 mg of vitamin A, 7 mg of vitamin K, 60 mg of vitamin C and 277 mg of potassium. At present, several farmers are installing drip irrigation system in the mango orchards. However, majority of the farmers lack awareness about the quantity of water, frequency and season of irrigation. There is no systematic application of water to mango. It is utmost important to standardise and optimise the irrigation and nutrients to promote farmers’ efficiency in mango production.
There are many reasons for the reduced yield. Low nutrient and water application are the important factors, which have totally been ignored. The crop needs more care towards meeting out the daily requirements of water and nutrition. The optimum canopy development, yield and quality parameter of fruits depend on proper irrigation and nutrition to the trees. Water and fertiliser play major roles for plant growth and development (Ravikanth et al., 2022).
Supplying nutrition and water requirement (WR) for mango trees in right combination is key to maximise the yield of mango. Fertigation ensures the supply of fertilisers directly to the plant roots (Patel and Rajput, 2000) and is achieved in all the fruit crops, including mango.
Other advantage of fertigation includes supplying the required fertilisers at the exact site and time of requirement. Thereby, the cost of fertilisers is also reduced and the environmental pollution due to excessive application of fertilisers is avoided. Adoption of fertigation technique by the mango growers is increasing day by day. Uniform and precise application of nutrients with water into effective root zone results in high yield and production of quality fruits. With this background, the aim of the current study is to evaluate different irrigation regimes and fertigation levels in ultra-high density planting (UHDP) for mango.
Investigation was undertaken at Jain Irrigation Systems Limited Farm, Udumalpet. The trial was carried out in 5-year-old cv. 'Alphonso' mango trees with a spacing of 3 m × 2 m under UHDP of mango grafts comprising a population of 1667 plants · ha−1 and fertiliser (Figure 1).

Field view under UHDP. UHDP, ultra-high density planting.
The treatments included four levels of nutrients and three levels of irrigation and their combinations as shown in Table 1
Treatments used in the experiment.
| S. No. | Treatment details |
|---|---|
| 1 | 75% Pan evaporation + 50% of RDF through fertigation (I1F1) |
| 2 | 75% Pan evaporation + 75% of RDF through fertigation (I1F2) |
| 3 | 75% Pan evaporation + 100% of RDF through fertigation (I1F3) |
| 4 | 75% Pan evaporation + 125% of RDF through fertigation (I1F4) |
| 5 | 100% Pan evaporation + 50% of RDF through fertigation (I2F1) |
| 6 | 100% Pan evaporation + 75% of RDF through fertigation (I2F2) |
| 7 | 100% Pan evaporation + 100% of RDF through fertigation (I2F3) |
| 8 | 100% Pan evaporation + 125% of RDF through fertigation (I2F4) |
| 9 | 125% Pan evaporation + 50% of RDF through fertigation (I3F1) |
| 10 | 125% Pan evaporation + 75% of RDF through fertigation (I3F2) |
| 11 | 125% Pan evaporation + 100% of RDF through fertigation (I3F3) |
| 12 | 125% Pan evaporation + 125% of RDF through fertigation (I3F4) |
Recommended dose of fertilisers for 5-year-old mango trees includes nitrogen of 120 g, phosphorus of 75 g and potash of 100 g · plant−1 · year−1. The schedule for N – nitrogen, P – phosphorus, K – potash (NPK) fertilisers is shown in Table 2. Split plot design was used for the experiment. Five trees were chosen at random for observation. The trial was carried out in 5-year-old mango trees cv. 'Alphonso' (Figures 2A–F).

View of fertigation equipment. (A) Main line. (B) Sub-line showing different fertigation levels. (C) Water-soluble fertilisers used for fertigation. (D) Fertigation on run. (E) On-line emitters. (F) Drippers in use discharging water.
Stages of fertiliser application.
| Nutrient | Stages of fertiliser application | ||||
|---|---|---|---|---|---|
| Immediately after pruning (July–Aug–Sep) (%) | Pre-flowering (Oct–Nov–Dec) (%) | Reproductive stage (Jan–Feb–Mar) (%) | Fruit improvement (Apr–May) (%) | Total percentage (%) | |
| Nitrogen | 25 | 40 | 20 | 15 | 100 |
| Phosphorus | 40 | 30 | 20 | 10 | 100 |
| Potash | 25 | 20 | 25 | 30 | 100 |
Irrigation water was applied through drip irrigation system as per the treatment schedule (Figure 3). To create a stress period during pre-flowering stage, the irrigation was not provided in December and WR of mango under UHDP was calculated by using the following formula:
B = Crop factor (Kc) (vegetative stage 0.75, flowering and fruiting stage 1.0)
C = Gross area per tree (area allotted to each tree based on spacing)
D = Canopy factor (Kp) proportion of the area covered by foliage
E = Efficiency of the drip irrigation (90%).

Effect of different irrigation regimes and fertigation levels on flowering, fruiting in tree and fruits.
The following observations were recorded at regular intervals after the calibration/acclimation period:namely height of the tree trunk (m), trunk girth (cm), spread of tree (m), onset of flowering and date of full bloom, fruit set percentage (Figure 3), panicle number (m2), canopy volume, total fruit weight (g), length of fruits (cm), number of fruits per tree and fruit yield (g).
The pooled mean data taken from the study (initial trial and confirmatory trial) were observed using a rigorous process of analysis and interpretation (Panse and Sukhatme, 1985). The statistical data were analysed with 5% (0.05) probability and the results were interpreted based on the methods of Gomez and Gomez (1984). Subsequently, to facilitate a more comprehensive and sophisticated examination of the obtained dataset, the statistical R Studio IDE is developed by Posit, PBC, 250 Northern Ave Ste 420, Boston.
The height of mango trees was significantly increased by fertigation, drip irrigation and its interaction. Among the main plot treatments, the maximum height (2.46 m and 2.57 m) was recorded with I2 (100% Pan evaporation) during flowering and harvesting stages significantly followed by I3 (125% Pan evaporation). Among the sub-plot treatments, the maximum height (2.37, 2.49 and 2.61 m) was recorded with F4 (125% fertiliser recommended for mango by fertigation) during vegetative, flowering and harvesting stages followed by F3 (100% fertiliser recommended for mango). Interaction among irrigation and fertigation levels was significant only at harvesting stage and the maximum height (2.68 m) was recorded with I2F4 (100% Pan evaporation and 125% fertiliser recommended for mango) (Table 3). Trunk girth exhibited significance only for irrigation and fertigation levels at vegetative, flowering and harvesting stages (Table 4). I2 (100% Pan evaporation) registered the maximum girth (25.62, 26.43 and 27.43 cm) among the main plots, while F4 (125% fertiliser recommended for mango) recorded the maximum girth (25.70, 26.56 and 27.63 cm) among sub-plots. Vishwanath et al. (2008) specified that drip irrigation at consistent intervals maintains stable hydration regimes in the field, allowing the root system to be active for a long period of time. Constant hydration in the soil also enhances nutrient availability and translocation, which speeds up vegetative plant growth and maintains ideal moisture and temperature at optimal levels (Mishra et al., 2008; Singh et al., 2012; Ravikanth et al., 2022).
Influence of irrigation regimes and fertigation on tree height (m) at different stages.
| I | Vegetative stage | Flowering stage | Harvesting stage | |||||||||
|---|---|---|---|---|---|---|---|---|---|---|---|---|
| I1 | I2 | I3 | Mean | I1 | I2 | I3 | Mean | I1 | I2 | I3 | Mean | |
| F1 | 2.19 | 2.29 | 2.24 | 2.24 | 2.28 | 2.37 | 2.29 | 2.31 | 2.40 | 2.46 | 2.41 | 2.42 |
| F2 | 2.23 | 2.32 | 2.28 | 2.28 | 2.31 | 2.41 | 2.32 | 2.35 | 2.43 | 2.52 | 2.46 | 2.47 |
| F3 | 2.26 | 2.37 | 2.34 | 2.32 | 2.34 | 2.48 | 2.46 | 2.43 | 2.45 | 2.61 | 2.59 | 2.55 |
| F4 | 2.30 | 2.42 | 2.40 | 2.37 | 2.40 | 2.55 | 2.53 | 2.49 | 2.49 | 2.68 | 2.65 | 2.61 |
| Mean | 2.25 | 2.35 | 2.32 | 2.33 | 2.46 | 2.40 | 2.44 | 2.57 | 2.53 | |||
| I | F | I × F | I | F | I × F | I | F | I × F | ||||
| SEd | 0.03 | 0.02 | 0.04 | 0.01 | 0.02 | 0.03 | 0.01 | 0.01 | 0.02 | |||
| CD (0.05) | NS | 0.03 | NS | 0.04 | 0.04 | NS | 0.03 | 0.03 | 0.05 | |||
I = irrigation, F = fertigation.
Influence of irrigation and fertigation on trunk girth (cm) at different stages of mango tree.
| I | Vegetative stage | Flowering stage | Harvesting stage | |||||||||
|---|---|---|---|---|---|---|---|---|---|---|---|---|
| I1 | I2 | I3 | Mean | I1 | I2 | I3 | Mean | I1 | I2 | I3 | Mean | |
| F1 | 22.57 | 24.79 | 23.92 | 23.76 | 23.38 | 25.56 | 24.73 | 24.56 | 24.33 | 26.42 | 25.59 | 25.45 |
| F2 | 24.09 | 25.68 | 24.49 | 24.75 | 24.77 | 26.39 | 25.24 | 25.47 | 25.68 | 27.31 | 25.96 | 26.32 |
| F3 | 24.68 | 25.88 | 24.96 | 25.17 | 25.51 | 26.79 | 25.85 | 26.05 | 26.47 | 27.88 | 26.93 | 27.09 |
| F4 | 25.10 | 26.12 | 25.87 | 25.70 | 25.97 | 26.97 | 26.73 | 26.56 | 26.92 | 28.11 | 27.86 | 27.63 |
| Mean | 24.11 | 25.62 | 24.81 | 24.91 | 26.43 | 25.64 | 25.85 | 27.43 | 26.59 | |||
| I | F | I × F | I | F | I × F | I | F | I × F | ||||
| SEd | 0.34 | 0.31 | 0.57 | 0.35 | 0.32 | 0.59 | 0.37 | 0.33 | 0.62 | |||
| CD (0.05) | 0.95 | 0.65 | NS | 0.98 | 0.67 | NS | 1.02 | 0.69 | NS | |||
I = irrigation, F = fertigation.
Tree spread (EW) exhibited significance only for irrigation and fertigation levels at flowering and harvesting stages (Table 5). I2 (100% Pan evaporation) registered the maximum (2.17 and 2.39 m) tree spread (EW) among the main plots, while F4 (125% fertiliser recommended for mango) recorded the maximum (2.25 and 2.50 m) spread (EW) among the sub-plots. Tree spread (NS) exhibited significance only for irrigation and fertigation levels at vegetative, flowering and harvesting stages. I3 (125% Pan evaporation) registered the maximum (2.05, 2.22 and 2.33 m) tree spread (NS) among the main plots, while F4 (125% RDF) recorded the maximum (2.01, 2.22 and 2.33 m) spread (NS) among the sub-plots (Table 6). The observed increase in vegetative traits can be attributed to the higher uptake of nitrogen. When plants absorb more nitrogen, it often leads to the synthesis of complex nitrogenous molecules, such as amino acids and proteins. These molecules are crucial for the development of new tissues. As a result of fertigation, which enhances nutrient availability, plants may show increased height and trunk girth. This growth is likely due to the enhanced nutrient uptake, which supports the formation of new cells and overall plant vigour. Thus, the improved vegetative traits are a direct consequence of the more efficient nutrient utilisation facilitated by fertigation (Panwar et al., 2007; Rashmi et al., 2009; Chandrashekar et al., 2021).
Influence of irrigation regimes and fertigation on tree spread in east-west direction (m) at different stages.
| I | Vegetative stage | Flowering stage | Harvesting stage | |||||||||
|---|---|---|---|---|---|---|---|---|---|---|---|---|
| I1 | I2 | I3 | Mean | I1 | I2 | I3 | Mean | I1 | I2 | I3 | Mean | |
| F1 | 1.70 | 1.85 | 1.81 | 1.78 | 1.85 | 2.00 | 1.98 | 1.94 | 2.03 | 2.15 | 2.13 | 2.10 |
| F2 | 1.78 | 1.91 | 1.92 | 1.87 | 1.94 | 2.14 | 2.11 | 2.06 | 2.11 | 2.27 | 2.28 | 2.22 |
| F3 | 1.79 | 1.99 | 1.97 | 1.92 | 1.98 | 2.19 | 2.21 | 2.13 | 2.18 | 2.49 | 2.48 | 2.38 |
| F4 | 1.84 | 2.10 | 2.03 | 1.99 | 2.09 | 2.33 | 2.34 | 2.25 | 2.25 | 2.65 | 2.60 | 2.50 |
| Mean | 1.78 | 1.96 | 1.93 | 1.97 | 2.17 | 2.16 | 2.14 | 2.39 | 2.37 | |||
| I | F | I × F | I | F | I × F | I | F | I × F | ||||
| SEd | 0.10 | 0.07 | 0.15 | 0.03 | 0.04 | 0.06 | 0.03 | 0.05 | 0.08 | |||
| CD (0.05) | NS | NS | NS | 0.07 | 0.08 | NS | 0.07 | 0.11 | NS | |||
I = irrigation, F = fertigation.
Influence of irrigation and fertigation on tree spread in north-south direction (m) at different stages of mango.
| I | Vegetative stage | Flowering stage | Harvesting stage | |||||||||
|---|---|---|---|---|---|---|---|---|---|---|---|---|
| I1 | I2 | I3 | Mean | I1 | I2 | I3 | Mean | I1 | I2 | I3 | Mean | |
| F1 | 1.69 | 1.82 | 1.97 | 1.83 | 1.88 | 2.00 | 2.10 | 1.99 | 1.95 | 2.09 | 2.17 | 2.07 |
| F2 | 1.72 | 1.88 | 2.00 | 1.87 | 1.91 | 2.14 | 2.16 | 2.07 | 1.97 | 2.24 | 2.24 | 2.15 |
| F3 | 1.76 | 1.93 | 2.14 | 1.95 | 1.95 | 2.16 | 2.35 | 2.15 | 2.02 | 2.29 | 2.47 | 2.26 |
| F4 | 1.84 | 2.11 | 2.08 | 2.01 | 2.03 | 2.35 | 2.28 | 2.22 | 2.12 | 2.44 | 2.42 | 2.33 |
| Mean | 1.75 | 1.94 | 2.05 | 1.94 | 2.16 | 2.22 | 2.02 | 2.27 | 2.33 | |||
| I | F | I × F | I | F | I × F | I | F | I × F | ||||
| SEd | 0.06 | 0.04 | 0.08 | 0.05 | 0.04 | 0.08 | 0.03 | 0.03 | 0.05 | |||
| CD (0.05) | 0.16 | 0.08 | NS | 0.13 | 0.09 | NS | 0.08 | 0.06 | NS | |||
I = irrigation, F = fertigation.
Different irrigation regimes did not have significant effect on onset flowering and full bloom date (Figure 4, Figure 5). The plants receiving 100% fertiliser recommended for mango (F3) took the minimum number of days (190.96) for flowering. This is normally expected as a stress period of 1 month given before flowering might have nullified the effect of differential water regimes on vegetative growth. As in mango, the new flushes were formed after harvest which when attain sufficient maturity before October–November months would be able to bear a panicle terminally. However, among the different fertigation levels, F3 (100% fertiliser recommended for mango) and F4 (125% fertiliser recommended for mango) were able to have onset flowering than other fertigation levels. This may be due to better availability of nutrients to these plants at the vegetative growth which might have hastened the new flushes to mature sufficiently earlier by undergoing shoot bud initiation and differentiation.

Influence of irrigation and fertigation on onset flowering in mango.

Full bloom date in mango.
Fruit set is one of the major factors that influences the productivity in mango. Any water stress during this critical stage may lead to low productivity in mango (Kumar et al., 2008). Percentage of fruit set dramatically increased in the main plot and sub-plot treatments and their interaction levels (Table 7). In mango, highest fruit set was noticed in I2 (100% Pan evaporation) among the main plots (0.43%), while the highest fruit set was recorded with plants receiving 125% fertiliser recommended for mango (F4; 0.42%) among the sub-plots. Regarding the interaction effect, I2F4 (100% Pan evaporation and 125% fertiliser recommended for mango) registered the maximum fruit set (0.46%).
Influence of irrigation regimes and fertigation levels on the percentage of fruit set and number of panicles per m2 canopy area.
| I | Percentage of fruit set | Number of panicles/m2 | ||||||
|---|---|---|---|---|---|---|---|---|
| I1 | I2 | I3 | Mean | I1 | I2 | I3 | Mean | |
| F1 | 0.27 | 0.39 | 0.37 | 0.34 | 8.70 | 12.83 | 10.77 | 10.77 |
| F2 | 0.29 | 0.42 | 0.40 | 0.37 | 9.50 | 13.30 | 12.50 | 11.77 |
| F3 | 0.32 | 0.45 | 0.43 | 0.40 | 11.83 | 15.77 | 15.63 | 14.41 |
| F4 | 0.36 | 0.46 | 0.44 | 0.42 | 12.78 | 16.13 | 15.83 | 14.92 |
| Mean | 0.31 | 0.43 | 0.41 | 10.70 | 14.51 | 13.68 | ||
| I | F | I × F | I | F | I × F | |||
| SEd | 0.004 | 0.004 | 0.007 | 0.224 | 0.427 | 0.679 | ||
| CD (0.05) | 0.011 | 0.008 | 0.016 | 0.623 | 0.898 | NS | ||
I = irrigation, F = fertigation.
In the present study, with the increase in both irrigation and fertigation levels, there was a corresponding rise in the percentage of fruit set. This indicates that a consistent supply of water and nutrients through fertigation is crucial for optimising fruit production in mango trees. Uninterrupted water and nutrient availability significantly enhance fruit set, highlighting the importance of maintaining adequate irrigation and fertigation practices for successful mango cultivation (Dheware et al., 2020). The application of different doses of nitrogen, phosphorus, and potash to mango trees at various rates and combinations was tested, and potash was proven to be an important element in proper fruit set. Scholefield and Oag (1989) stated that mango fruit set ranged from 0.33% to 1.39% and optimal results were attained with better nutrient management techniques.
Every management method on an evergreen tree, such as mango, which is a terminal bearer in a previous season shoot, should produce more panicles per unit area, allowing for high productivity. Only the main plot and sub-plot treatments had a significant influence on the number of panicles per m2 canopy volume (Table 7). The maximum number of panicles per m2 canopy volume was noticed in I2 (100% Pan evaporation) among the main plots (14.51), while the maximum number (14.92) was recorded in plants which received 125% RDF (F4) among the sub-plots.
Fruits produced in single tree were significantly affected by treatments and are presented in Figure 6. Among the main plot treatments, I2 (100% Pan evaporation) produced the maximum number of fruits per tree (36.94) which was equivalent to that of I3 (34.06). Among the fertigation levels, F4 (125% fertiliser recommended for mango) produced the maximum number of fruits per tree (39.92) which was equivalent to that of F3 (100% fertiliser recommended for mango; 38.50).

Influence of irrigation and fertigation levels on the number of fruits per tree.
The weight of fruits was significantly affected by main-plot and sub-plot treatments and their interaction levels (Figure 7). Among the main-plot treatments, I2 (100% Pan evaporation) produced the maximum mean fruit weight (266.88 g), while among the fertigation levels, F4 (125% fertiliser recommended for mango) produced the maximum mean fruit weight (265.39 g) followed by F3 (100% fertiliser recommended for mango) (262.63 g). Regarding the interaction effect, I2F4 (100% Pan evaporation and 125% fertiliser recommended for mango) registered the maximum fruit yield (284.50 g) followed by I2F3 (100% Pan evaporation and 100% fertiliser recommended for mango; 279.07 g). Length of mango fruits was considerably affected by main-plot and sub-plot treatments alone (Figure 8). Among the main-plot treatments, I2 (100% PE) produced the maximum fruit length (9.28 cm), while among the fertigation levels, F4 (125% fertiliser recommended for mango) produced the maximum fruit length (9.24 cm) followed by F3 (100% fertiliser recommended for mango; 8.93 cm). This again highlights that drip fertigation creates a continuous hydration regime in the soil, allowing the root to be active in the entire season, optimal nutrient availability and proper translocation of food materials and acceleration of the fruit development (Coelho and Borges, 2004; Thakur and Singh, 2004; Singh et al., 2006; Prakash et al., 2015).

Influence of irrigation and fertigation levels on total fruit weight (g).

Influence of irrigation and fertigation levels on length of the fruit.
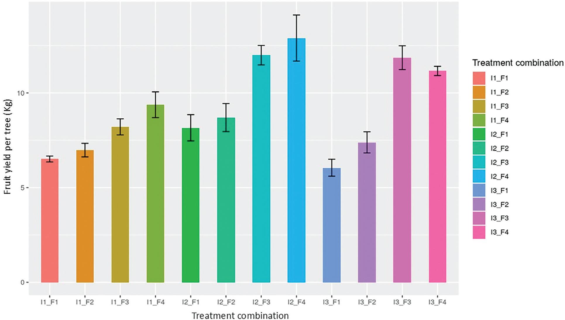
Mango fruit yield was significantly affected by the irrigation, fertigation and its interaction levels (Figures 9, 9A, 9B). Among the main-plot treatments, I2 (100% Pan evaporation) produced the maximum fruit yield per tree (10.44 kg) while among the fertigation levels, F4 (125 % fertiliser recommended for mango) produced the maximum fruit yield (11.14 kg) followed by F3 (100% fertiliser recommended for mango; 10.69 kg); however, they were equivalent to each other. Regarding the effect of interaction, I2F4 (100% Pan evaporation and 125% fertiliser recommended for mango) registered the maximum fruit yield (12.90 kg) followed by I2F3 (100% Pan evaporation and 100% fertiliser recommended for mango; 11.99 kg); however, they were found to be equivalent to each other. Similar results due to better utilisation of nutrients throughout the reproductive cycle of mango, resulting in higher fruit yield, were concluded by Kumar et al. (2008); Sivakumar (2007); Ramana et al. (2022); Parthiban et al. (2020).

Influence of irrigation and fertigation levels on fruit yield (kg).

Main-plot fruit yield.

Sub-plot fruit yield.
Twelve treatment combinations with irrigation and fertigation were carried out in Alphonso under UHDP. The Biometric and physiological characteristics were studied during the vegetative, blooming, and harvesting periods. In plant spread (EW), the highest value was recorded in the treatment at 100% Pan evaporation per day per plant along with 125% fertilizer recommended for mango by fertigation (I2F4) but in the case of plant spread at North-South, the highest value was recorded by the application of 125 per cent pan evaporation (PE) of water per day per plant along with 100 fertilizer recommended for mango by fertigation (I3F3) at all three stages. Similarly, length of mango fruit were found to be highest with the water treatment at 100 % Pan evaporation per day per plant along with 125 % fertilizer dose for mango by fertigation (I2F4). The treatment combinations, I2F4 (100 per cent PE and 125 per cent RDF) were effective in enhancing the fruit yield per tree (12.90 kg · tree−1). It can be concluded that irrigation at 100% Pan evaporation and 125% fertiliser for mango by fertigation (I2F4) in UHDP for mango cv. 'Alphonso' were found to be optimum for improving the productivity of Mango.