Figure 1.

Figure 2.

Figure 3.

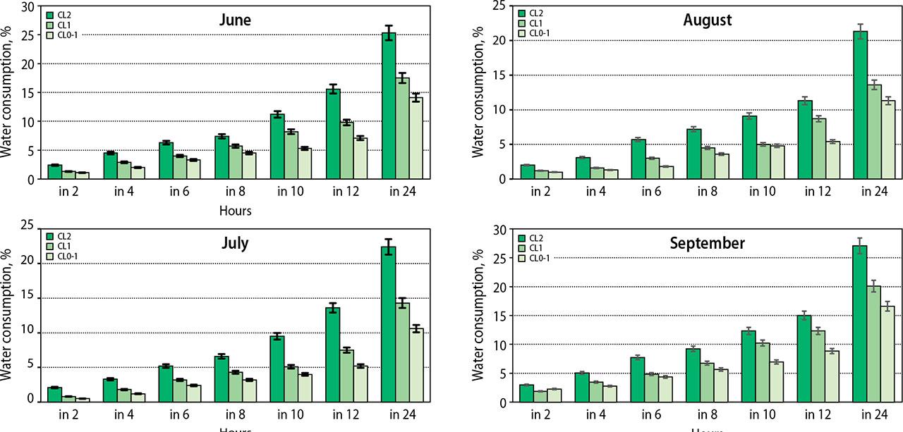
Figure 4.

Soil moisture on test sites in the Viyskovyi ravine (%)
| Month | Depth, cm | Thalweg, CL2 | Middle part of the slope, CL1 | Upper part of the slope, CL0–1 |
|---|---|---|---|---|
| May | 10 | 19.21±0.18 | 17.32±0.15 | 17.24±0.14 |
| 40 | 23.42±0.20 | 20.45±0.23 | 20.31±0.22 | |
| June | 10 | 22.42±0.29 | 15.31±0.17 | 12.08±0.14 |
| 40 | 23.50±0.33 | 18.79±0.19 | 17.14±0.20 | |
| July | 10 | 18.36±0.12 | 10.13±0.16 | 9.26±0.13 |
| 40 | 21.63±0.28 | 13.77±0.18 | 11.51±0.15 | |
| August | 10 | 13.43±0.13 | 7.28±0.15 | 5.72±0.12 |
| 40 | 19.65±0.17 | 12.69±0.17 | 8.31±0.16 |
Moisture content of Pinus pallasiana needles during the growing season under different soil moisture conditions (% of raw mass)
| Site | Month | ||||
|---|---|---|---|---|---|
| V | VI | VII | VIII | IX | |
| CL2 | 60.21±0.51 | 58.21±0.47 | 57.40±0.32 | 55.42±0.53 | 58.77±0.60 |
| CL1 | 57.36±0.48a | 54.11±0.68a | 51.74±0.34a | 50.11±0.40a | 52.30±0.52a |
| CL0–1 | 54.02±0.62a.b | 51.24±0.39a.b | 49.39±0.42a.b | 47.14±0.85a.b | 49.18±0.48a.b |
Midday water deficit of Pinus pallasiana needles under different forest growth conditions from mass at full saturation (%)
| Month | Site | Percentage of the results from CL2 | |||
|---|---|---|---|---|---|
| CL2 | CL1 | CL0–1 | CL1 | CL0–1 | |
| V | 4.23±0.51 | 7.46±0.47a | 9.21±0.60a | 176.36 | 217.73 |
| VI | 7.21±0.64 | 11.12±1.12a | 16.32±0.84a.b | 154.23 | 226.35 |
| VII | 10.12±0.85 | 17.23±0.90a | 23.24±1.30a.b | 170.25 | 229.64 |
| VIII | 13.21±1.12 | 23.56±0.68a | 29.31±1.17a.b | 178.35 | 221.87 |
| IX | 9.14±1.03 | 15.30±1.20a | 21.16±0.89a.b | 167.40 | 231.50 |