European ash (Fraxinus excelsior L.) is an extrazonal, widespread native European tree. As a climax component of broadleaved forests, it occurs in the middle belt of Europe (Dobrowolska et al. 2011). It prefers high rainfall, extended vegetation period, and fertile, moist soils (Kerr and Cahalan 2004). However, in the last three decades, ash stands have been retreating. The main cause of ash decline is the ascomycete fungus Hymenoscyphus fraxineus (T. Kowalski) Baral, Queloz & Hosoya (Baral et al. 2014). It is widespread in Europe and causes up to 85% or 69% mortality rates in plantations and woodlands, respectively (Coker et al. 2019). The most severe disease symptoms occur in fertile and moist ash-dominated forests (Marçais et al. 2017). In contrast, the lowest mortality rates appear in mesic habitats (Davydenko and Meschkova 2017; Turczański et al. 2020b) and in forests with low ash populations or isolated trees (Grosdidier et al. 2020). Generally, the most vulnerable are young trees (Skovsgaard et al. 2010), wherein regeneration presents less severe symptoms and its susceptibility to the disease is associated with site conditions (Pušpure et al. 2017; Turczański et al. 2021, 2022) and the densities of H. fraxineus spores (Timmermann et al. 2011).
Tree’s natural regeneration is vulnerable to environmental factors, and among the most important can be found, e.g. the overstory and understory species composition, shrub cover, light availability (Beckage et al. 2005; Dyderski and Jagodziński 2020), soil moisture and fertility (Ellenberg 1996; Modrý et al. 2004). The highest densities of ash regeneration occur in neutral to alkaline soils with over 50% base saturation in topsoil horizons, shallow groundwater levels, and high soil nitrogen content (Diekmann 1996; Dufour and Piegay 2008). Ash regeneration can achieve relatively high densities from 12700 to 150000 ind. ha−1 (Tabari and Lust 1999; Střeštík and Šamonil 2006). Crucial drivers are high strata cover and seed availability described by the distance (Willis et al. 2016).
Considering ash natural regeneration possibilities (e.g., Tabari and Lust 1999), as well as ash die-back threats (e.g., Pušpure et al. 2017; Erfmeier et al. 2019), we assumed that it is crucial to highlight the sites that may serve as a niche for ash natural regeneration. Thus, an important and not yet investigated factor will be the information about the densities, browsing, and proportion of damaged ash saplings within two spatial-related groups of theoretically non-optimal sites for ash growth, i.e. in mixed broadleaved (pine-ash) forests with various shares of mature ash and pine trees, as well as in adjacent mixed coniferous (pine-dominated) forests without ash in overstory but with ash regeneration.
We hypothesized that the non-optimality of sites assessed by soil chemistry, e.g., soil reaction, contents of calcium carbonate (CaCO3), total nitrogen (N), soil organic matter (SOM), C:N ratio, as well as forest strata cover, will impact ash regeneration as some of these factors influence ash density and the intensity of damage caused by ash dieback. Moreover, we hypothesized that soil acidity, soil moisture, and the proportion of Scots pine would be the most important limiting factors for ash regeneration. We also expected that browsing would affect ash regeneration density.
The study was conducted in the Babki (52°27′23.2”N 17°04′43.7”E), Łopuchówko (52°30′22.4”N 16°57′12.3”E) forest districts and the Poznań municipal forests (52°23′58.9”N 17°02′00.3”E), Western Poland. Within the chosen study site, the share of European ash does not exceed 1% (poznan.lasy.gov.pl). However, as a dominant or admixture tree, it occurs in a wide fertility gradient. Interestingly, it is rarely found as a slight share or admixture in mixed broad-leaved forests with different proportions of pine trees and can regenerate naturally within small patches in neighbouring mixed coniferous forests. Within these sites, soils are dominated by Arenosols and arenic Cambisols (Forest Data Bank).
The area is characterized by a warm temperate climate, fully humid with warm summer (Cfb) (Rubel and Kottek 2010). The mean annual temperature is 9.7°C and ranges between 1°C and 20°C throughout the year, rarely dropping to −18°C or rising to as high as 37°C. The average annual precipitation is relatively low − 649 mm (Climate-Data.org.).
We conducted our study between March and October 2021–2022 within 40 study plots grouped in ten sites. The rare presence of pine-ash forests limited the number of plots. However, recent studies revealed that such a number is sufficient to draw conclusions on ash regeneration patterns (Jochner-Oette et al. 2021; Turczański et al. 2021, 2022). The sites were established within the pine-ash and neighbouring pine-dominated forests, which do not represent typical conditions for ash growth (Fig. 1). These conditions relate to overstory composition – different shares of Scots pine (5–90%), and soil environment – Brunic Arenosols (ochric) or Dystric/Calcaric/Fluvic Cambisols (arenic, ochric, colluvic) characterised by low soil moisture, soil organic matter (SOM) and total nitrogen content (N), as well as high acidity (pH <5) and sandy soil texture (Tab. S1).

Ash natural regeneration within pine-ash forest (A), soil profile of Arenic Cambisol (B)
We established the first two plots (out of four) within each site where the mature ash trees were present (pine-ash forest with 5–40% ash proportion). In the following step, in the vicinity of these plots, we found the next two plots without mature ash but with ash regeneration (Fig. 2). To avoid the influence of seed dispersal limitation, these two plots were established randomly at a maximum distance of 60 m from the seed source, i.e. from the last mature ash tree growing in pine-ash forest. The limit was based on the results of previous works confirming the influence of distance from the seed source on the densities of ash regeneration (Semizer-Cuming et al. 2021; Turczański et al. 2022). Each plot was a circle (r = 2.82 m, 25 m2) with sufficient size for capturing regeneration (e.g., Taylor and Halpern 1991; Dyderski et al. 2018; Pastório et al. 2018). We did not place plots at the edge of stands to avoid edge effects, as well as in the gaps or their vicinity, to maintain the canopy cover >50%. This helped us maintain a lower canopy cover gradient, excluding sites where soil-related factors could be masked by increased light availability, favouring ash regeneration in gaps and edges (Dobrowolska et al. 2011). The age of ash in over-story ranged from 53 to 106 years (Forest Data Bank). We decided not to use transects, used in studies accounting for dispersal limitation, as we focused rather on variability within soil conditions known to be wide among the investigated ash stands (e.g., Turczański and Bukowski 2022).

Scheme of study plots establishment. Circles indicate study plots (25 m2) established in pine-ash forest (first two plots) and pine forest without ash in overstory but with ash regeneration. The last two plots in pine forest were located up to a maximum distance of 60 m from mature ash trees (seed source) growing in pine-ash forest. Mature ash trees are marked in grey colour
Although the study plots within a particular site were in proximity and had similar soil conditions (soil groups assessed according to IUSS WRB 2022, ground-water table level >1.8 m, sandy soil texture, and non-carbonate upper horizons), they differed in terms of ash and pine shares in the overstory, and therefore soil features in the upper soil horizons (at a depth of 20 cm) i.e., soil pH, SOM, SOC, C:N ratio, soil nutrients or soil moisture. Thus, we used them as separate observations. Moreover, in each plot, we noted mature ash and pine tree shares and visually estimated covers of the canopy (circle 400 m2), as well as shrub, herb, and moss layers (circle 25 m2) with an accuracy of 5%.
Within each study site, we dug a soil profile up to 100 cm depth, deepened by soil drill up to 200 cm or to the groundwater level. In addition, we drilled the soil in the middle of all 40 plots to catch soil variability. Subsequently, we sampled ca. 200 g of soil from genetic horizons to define the reference soil groups, principal, and supplementary qualifiers following the IUSS Working Group WRB (2022) (Tab. S1).
Additionally, within each plot, we took four soil samples from a depth of 20 cm (in total, 160 samples) and two forest litter (80 samples). The depth of soil sampling refers to the ability of saplings to develop a root system in the topsoil layers. The samples were collected systematically, halfway from each study plot centre along cardinal directions. In each soil sample, we investigated soil organic matter (SOM %), CaCO3 content (%), soil pH, total nitrogen content (N %), soil organic carbon (SOC %), C:N ratio, soil texture class, as well as calcium (Ca %), sodium (Na %), and potassium (K %). SOM was determined by the loss on ignition method (Lityński et al. 1976). CaCO3 was analyzed using Scheibler’s volumetric method (Şenlikci et al. 2015). Soil and litter reactions were measured in distilled water using the potentiometric method (Lityński et al. 1976; Nelson and Sommers 1996). Total N was analysed using Kjeldahl’s method (Nelson and Sommers 1996). SOC was measured using Turin’s method (Ostrowska et al. 1991). Soil texture was assessed by Casagrande’s aerometric method modified by Prószyński (Lityński et al. 1976). The Ca, Na, and K contents were evaluated by atomic absorption spectrometry analysis – AAS Varian 55B N.
In the centre of each plot, we measured summer ground-water by drilling the soil with soil drill up to a water table or 200 cm depth. The survey was done twice, i.e. in July 2021 and 2022. Based on these measurements, we calculated the mean level of the groundwater (Tab. S1). We also determined the volumetric soil moisture (%) using the Teros 10 soil moisture sensors and data loggers ZL6 basic. The sensors were placed in the soil at a depth of 20 cm and connected with data loggers for continuous measurement. Sensors recorded soil moisture with a 60 min. frequency. We attached the sensors in the centre of 10 plots – one per site. To maintain the comparability of the results within each site, we chose the plot whose distance from the others did not exceed 20 m. In the case of remaining plots within the given site, we used a portable moisture meter HH2 with Theta Probe type ML2x to measure the volumetric soil moisture content once every week. We used these measurements to calculate the mean soil moisture for two periods of 2022, i.e. spring (mean value of soil moisture for March–May) and summer (mean value of soil moisture for June–August).
We assessed the density and health status of ash regeneration within each plot (Tab. S2). We based it on our previous study, including the division into two groups, i.e. saplings <0.6 m and 0.6–1.3 m in height (Turczański et al. 2022). In the analysis, we did not account for seedlings that emerged in the current year (usually <5 cm height) due to a high level of mortality during the first year of life. We distinguished them from one year old and older individuals by the presence of cotyledons and different morphology of juvenile leaves (Thomas 2016). We determined the health condition by assigning the saplings into five categories: healthy (1), dead (2) or alive (3) with stem lesions caused by H. fraxineus, alive with a dead top (4), and dead without symptoms of the pathogen (5) (e.g., Kowalski and Czekaj 2010; Turczański et al. 2021). During the assessment, we distinguished the symptoms of the pathogen from the effects of browsing. Namely, if there was a trace of grazing of the main or side shoot, we classified it as ‘browsed’, but when the highest bud was present but dead – as ‘alive with a dead top’. The plants with at least one of the symptoms (2–4) were recognized as ‘disease-damaged’. Moreover, due to the lack of necrotic lesions and discoloured stem cross-section caused by fungi (e.g., Kowalski et al. 2017) in saplings included in the fifth category, we linked their mortality with low soil moisture and classified them as ‘drought-damaged’. Deer browsing was assessed only on living ash saplings. We surveyed ash regeneration in July and August as the browsing and damage symptoms are most visible during the growing season (Kowalski and Czekaj 2010).
We analyzed data using R software version 4.0.1 (R Core Team 2021). Prior to analyses, we checked collinearity within our dataset. As variables describing soil chemical composition were strongly correlated (Tab. S3), we assessed their dependency using Principal Components Analysis (PCA) after scaling (dividing by SD) and centring (subtracting mean) of all variables (Fig. 3). The PCA revealed that soil pH is related to most of the analyzed factors; therefore, in further analyses, we decided to use soil pH as a variable that is the easiest to measure and commonly used in forest ecology (Falkengren-Grerup et al. 2006; Hong et al. 2019). Due to the strong correlation between soil pH and ash proportion in overstory (r=0.844: Tab. S3), we decided not to account for ash proportion in the stand to avoid collinearity. Instead, interpreting the effects of soil variability, we are conscious that the trend might be affected by dispersal limitation related to distance from propagule pressure (Turczański et al. 2022). However, as the maximum distance to the propagule source did not exceed 60 m, we assumed a lack of dispersal limitation.
We used generalized linear mixed-effects models (GLMMs) to quantify the effects of hypothesized factors on ash regeneration density, browsing, and damage. We ensured a lack of collinearity using variance inflation factors calculated using car::vif() function (Fox and Weisberg 2011) and ensuring that their values are ≤5, as this value is often used as a reasonable threshold between omitting some significant drivers and splitting effect sizes among collinear factors (Tab. S3, S4). We accounted for spatial dependence using the ID of plots set as a random intercept. We developed GLMMs using the glmmTMB package (Brooks et al. 2017). We estimated the density of ash regeneration using GLMM Poisson distributions, as the dependent variable was discrete, and we did not find problems with overdispersion and zero-inflation, which required more robust distributions. We checked these assumptions using formal tests implemented in the DHARMa package (Hartig 2020), ensuring that the dispersion and zero-inflation parameters did not differ statistically significantly from 1.0.

Result of Principal Components Analysis for soil chemistry variables
We estimated the proportions of browsing and damage in both height groups using GLMMs, assuming beta distributions of the response variable and zero inflation. In zero-inflation GLMMs, the model estimates two components – count component (i.e. estimate of the response size, based on particular distribution) and zero inflation component (i.e. estimate of non-zero outcome probability). We used all hypothesized predictors in count component, and as zero-inflation driver we assumed soil pH, also correlated with ash proportion in the stand.
Developing GLMMs, we included all hypothesized variables in global models. Then we reduced it, aiming to decrease Akaike’s Information Criterion, adjusted for a small sample size (AICc), and calculated using the MuMIn::dredge() function (Bartoń 2017). We visualized results using marginal effects, i.e. predicted outcome of a particular fixed-effect only, assuming all other hypothesized factors at constant (mean) level. We presented marginal effects to show explicit effects of particular predictors excluding random effects, to conclude about their significance and effect size. We used ggeffects package to calculate and graphically show marginal effects (Lüdecke 2018). For Poisson GLMMs, we reported the amount of variability explained by fixed effects only and random effects using marginal and conditional coefficients of determination (Nakagawa and Schielzeth 2013) using the MuMIn::r.squaredGLMM() function (Bartoń 2017). However, due to low stability of that function in case of Beta GLMMs, we did not manage to provide these values. Mean values are followed by ±SE.
Ash saplings <0.6 m height were present in 90% of plots, and the density ranged from 0 to 56 ind. 25 m−2 (0 to 22400 ind. ha−1), with an average of 13.9±1.9 ind. 25 m−2 (5560±760 ind. ha−1). In contrast, ash saplings 0.6–1.3 m height occurred in 42.5% of plots, and the density ranged from 0 to 10 ind. 25 m−2 (0 to 4000 ind. ha−1), with an average of 1.2±0.3 ind. 25 m−2 (480±120 ind. ha−1). The proportion of disease-damaged saplings <0.6 m height ranged from 0.0 to 14.3%, with an average of 3.9±0.8%, and from 0.0 to 100.0%, with an average of 16.4±4.8% for saplings 0.6–1.3 m height. Within <0.6 m height saplings, we found from 0.0 to 33.3% of individuals damaged by drought, with an average of 10.1±1.4%, with no individuals in 0.6–1.3 m height saplings. The proportion of browsed saplings <0.6 m height ranged from 0.0 to 46.4%, with an average of 16.2±2.2%, and from 0.0 to 100.0%, with an average of 24.7±6.5% for saplings 0.6–1.3 m height.
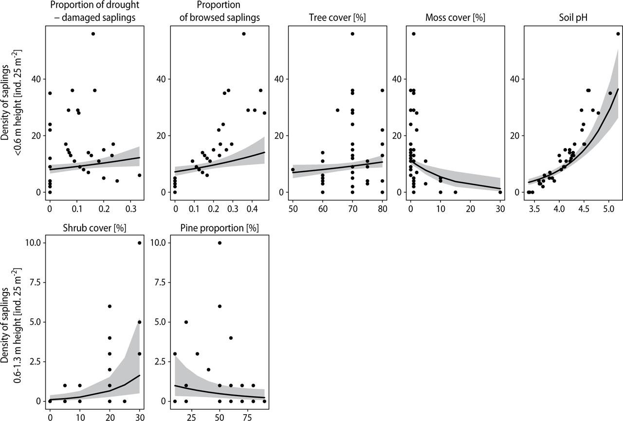
Ash sapling’s density (<0.6 m height) increased with increasing proportion of drought-damaged and browsed saplings, soil pH, and tree cover (Tab. 1, Fig. 4). Fixed effects explained 93.6% of variability while random effects explained <0.1%. We found the highest effect size for soil pH: its decrease from 5.1 to 3.4 reduced density from 36.5 to 3.5 ind. 25 m−2. Increased proportions of browsed (from 0.00 to 0.46) and drought-damaged (from 0.00 to 0.33) saplings increased density from 7.5 to 12.2 and from 7.5 to 14.1 ind. 25 m−2, respectively. Increase in tree layer cover from 50 to 80%, increased density from 6.9 to 10.7 ind. 25 m−2, while the increase in moss cover from 0% to 10% decreased density from 10.4 to 5.4 ind. 25 m−2, up to 1.3 ind. 25 m−2 in plots with 30% cover. Ash 0.6–1.3 m height saplings density increased with increasing shrub layer cover and pine proportion. Fixed effects explained 40.3% of variability, while random effects 21.8%. However, due to low overall density, effect sizes were low.
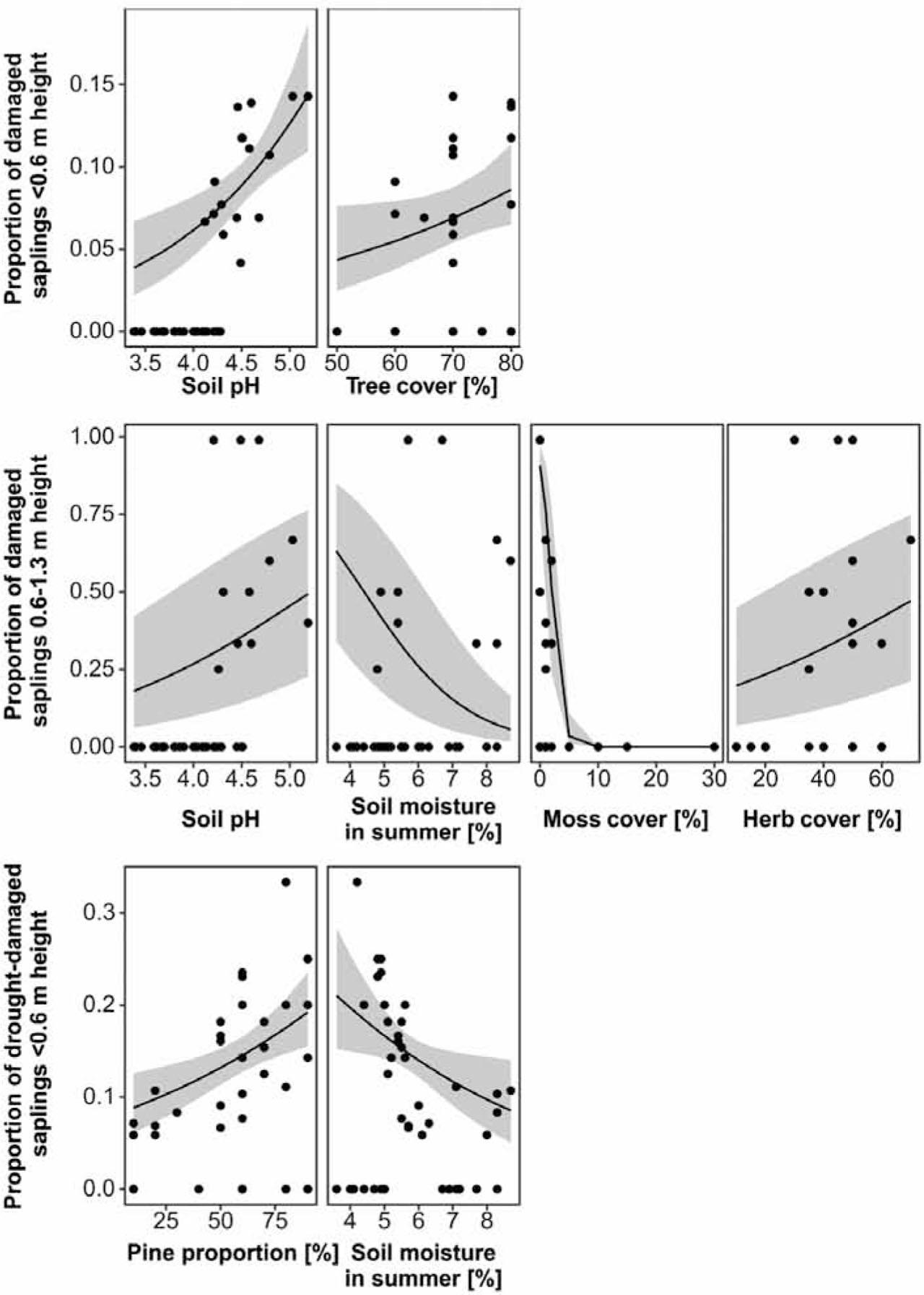
The proportion of disease-damaged saplings <0.6 m height increased with increasing soil pH and tree layer cover (Tab. 2, Fig. 5). An increase in tree layer cover from 50% to 80% doubled that proportion from 0.04 to 0.09, while the increase in soil pH from 3.4 to 5.1 increased the proportion from 0.04 to 0.14. The proportion of damaged saplings of 0.6–1.3 m height decreased with increasing summer soil moisture and moss layer cover and increased with increasing herb layer cover and soil pH. An increase in soil pH from 3.4 to 5.1 increased that proportion from 0.18 to 0.49, while the increase of herb layer cover from 10% to 70% – from 0.19 to 0.47. The increase in moss layer cover from 0% to 2% decreased that proportion from 0.97 to 0.50, and to 5% – to 0.03, while the increase in summer soil moisture from 3.6% to 8.6% – from 0.63 to 0.06. The proportion of drought-damaged saplings <0.6 m height increased with increasing pine proportion and decreased with increasing summer soil moisture. An increase in pine proportion from 10% to 90% increased that proportion from 0.09 to 0.19, while increase in summer soil moisture from 3.6 to 8.6% decreased that proportion from 0.21 to 0.08.
Models of ash saplings density (per 25 m2), estimated using Poisson generalized linear mixed-effects models
| Independent variable | Predictor | Estimate | SE | z value | Pr(>|z|) |
|---|---|---|---|---|---|
| Saplings <0.6 m height density per 25 m2 | (intercept) | −4.257 | 0.816 | −5.216 | <0.001 |
| AICc = 205.6, AICc0 = 480.9 | proportion of drought-damaged saplings | 1.269 | 0.587 | 2.161 | 0.031 |
| RE SD < 0.0001 | proportion of browsed saplings | 1.443 | 0.531 | 2.720 | 0.007 |
| soil pH | 1.293 | 0.155 | 8.346 | <2e-16 | |
| tree layer cover | 0.014 | 0.008 | 1.881 | 0.060 | |
| moss layer cover | −0.072 | 0.024 | −2.966 | 0.003 | |
| pine proportion | −0.018 | 0.010 | −1.730 | 0.084 | |
| Saplings 0.6–1.3 m height density per 25 m2 | (intercept) | −1.158 | 0.986 | −1.174 | <0.001 |
| AICc = 91.2, AICc0 = 119.7 | shrub layer cover | 0.091 | 0.031 | 2.927 | 0.003 |
| RE SD = 0.8554 | oine proportion | −0.018 | 0.010 | −1.730 | 0.084 |
SE – standard error, z – test statistic, Pr(>|z|) – p-value, AICc – Akaike’s Information Criterion, with correction for small sample size, AICc0 – AICc of null model (intercept-only), RE SD – standard deviation of random effect (set of study plots)

Ash saplings density estimated using Poisson generalized linear mixed-effects models (Tab. 1). Dots represent measured values, line – prediction, grey area – 95% confidence interval for prediction
The proportion of browsed saplings <0.6 m height increased with increasing shrub layer cover and soil pH, while decreased with increasing pine proportion (Tab. 3, Fig. 6). An increase in soil pH from 3.4 to 5.1 increased browsing proportion from 0.11 to 0.31. In contrast, increased shrub layer cover from 0 to 30% increased browsing proportion from 0.14 to 0.21. An increase in pine proportion from 10 to 90% decreased browsing proportion from 0.21 to 0.15. The last two effects had low effect sizes. In contrast, the proportion of browsed saplings 0.6–1.3 m height increased with increasing summer soil moisture but decreased with increasing moss layer cover. It decreased with increasing moss layer cover from 0.95 at 0% moss cover to 0.51 at 2% and 0.01 at 5%. An increase in summer soil moisture from 3.6 to 8.6% increased browsing proportion from 0.04 to 0.75.

The proportion of disease-damaged (two first rows) and drought-damaged (third row) saplings estimated using GLMM assuming zero-inflated beta distribution of dependent variable (Tab. 2). Dots represent measured values, line – prediction, grey area – 95% confidence interval for prediction
Models of the proportion of damaged saplings estimated using zero-inflated Beta generalized linear mixed-effects models
| Independent variable | Predictor | Estimate | SE | z value | Pr(>|z|) |
|---|---|---|---|---|---|
| Proportion of disease-damaged saplings <0.6 m height (count) | (intercept) | −7.571 | 1.456 | −5.201 | <0.001 |
| AICc = −37.8, AICc0 = 10.5 | tree layer cover | 0.024 | 0.012 | 1.996 | 0.046 |
| RE SD = 0.0001 | soil pH | 0.790 | 0.235 | 3.363 | 0.001 |
| (zero-inflated) | (intercept) | 62.167 | 25.851 | 2.405 | 0.016 |
| RE SD = 0.011 | soil pH | −14.673 | 6.115 | −2.400 | 0.016 |
| Proportion of disease-damaged saplings 0.6–1.3 m height (count) | (intercept) | 2.010 | 0.613 | 3.000 | 0.001 |
| AICc = −42.4, AICc0 = 47.3 | soil pH | 0.825 | 0.000 | 157,341.000 | <0.001 |
| RE SD = 1.668 | summer soil moisture | −0.660 | 0.000 | −129,175.000 | <0.001 |
| herb layer cover | 0.021 | 0.000 | 88,930.000 | <0.001 | |
| moss layer cover | −1.123 | 0.000 | −546,917.000 | <0.001 | |
| (zero-inflated) RE SD = 1.016 | (intercept) | 1.157 | 0.594 | 1.948 | 0.051 |
| Proportion of drought-damaged saplings <0.6 m height (count) | (intercept) | −1.256 | 0.675 | −1.860 | 0.063 |
| AICc = −32.0, AICc0 = −11.4 | summer soil moisture | −0.205 | 0.091 | −2.264 | 0.024 |
| RE SD = 0.1037 | pine proportion | 0.011 | 0.004 | 3.061 | 0.002 |
| (zero-inflated) | (intercept) | 8.044 | 4.603 | 1.748 | 0.081 |
| RE SD = 1.414 | soil pH | −2.227 | 1.146 | −1.942 | 0.052 |
SE – standard error, z – test statistic, Pr(>|z|) – p-value, AICc – Akaike’s I+nformation Criterion, with correction for small sample size, AICc0 – AICc of null model (intercept-only), RE SD – standard deviation of random effect (set of study plots)
Models of the proportion of browsed saplings estimated using zero-inflated Beta generalized linear mixed-effects models
| Independent variable | Predictor | Estimate | SE | z value | Pr(>|z|) |
|---|---|---|---|---|---|
| Proportion of browsed saplings <0.6 m height (count) | (intercept) | −4.526 | 1.490 | −3.038 | 0.002 |
| AICc = −46.3, AICc0 = 6.9 | shrub layer cover | 0.016 | 0.013 | 1.286 | 0.198 |
| RE SD = 0.2340 | soil pH | 0.742 | 0.337 | 2.200 | 0.028 |
| pine proportion | −0.005 | 0.004 | −1.208 | 0.227 | |
| (zero-inflated) | (intercept) | 825.000 | 454.600 | 1.815 | 0.070 |
| RE SD = 150.6 | pH | −208.500 | 114.900 | −1.814 | 0.070 |
| Proportion of browsed saplings 0.6–1.3 m height (count) | (intercept) | −1.680 | 1.097 | −1.531 | 0.126 |
| AICc = −5.7; AICc0 = 25.0 | moss layer cover | −1.526 | 0.426 | −3.584 | <0.001 |
| RE SD < 0.0001 | summer soil moisture | 0.823 | 0.211 | 3.892 | <0.001 |
| (zero-inflated) | (intercept) | 337.120 | 292.560 | 1.152 | 0.249 |
| RE SD = 30.35 | pH | −76.870 | 67.800 | −1.134 | 0.257 |
SE – standard error, z – test statistic, Pr(>|z|) – p-value, AICc – Akaike’s Information Criterion, with correction for small sample size, AICc0 – AICc of null model (intercept-only), RE SD – standard deviation of random effect (set of study plots)

The proportion of browsed saplings, estimated using generalized linear mixed-effects models assuming zero-inflated Beta distribution of dependent variable (Tab. 3). Dots represent measured values, line – prediction, grey area – 95% confidence interval for prediction
We revealed considerable natural regeneration of ash within pine-ash and adjacent pine-dominated forests. We noted the highest densities only for saplings of up to 0.6 m height growing on moderately acidic soils (Fig. 4; Tab. S1). Comparing the average densities with our previous studies conducted in optimal and suboptimal habitats, we can conclude that the number of individuals up to 0.6 m height was the highest in suboptimal sites (520 ind. 400 m−2), then theoretically in non-optimal pine-ash forests (222 ind. 400 m−2), and surprisingly, the lowest in optimal sites (145 ind. 400 m−2). The low number of ash regeneration in optimal sites was limited by light availability and high mortality rates caused by close distance to mother trees and probably a high number of H. fraxineus spores (Turczański et al. 2021, 2022). In non-optimal sites, the slight share of mature ash trees could enhance regeneration density. Although we found smaller densities of saplings at higher distances to seed source, we assume the survival rates can increase the establishment probability due to the lack of density-dependent mortality and unfavourable soil conditions for fungus development up to a point where ash meets its ecological limits.
The density of saplings up to 0.6 m height decreased with increasing soil acidity and moss cover. The highest abundance of saplings occurred in slightly acidic topsoil, while its proportion decreased when the acidity was lower than 4.0 pH (Fig. 4). These results correspond with Dufor and Piegay (2008) who found that ash regeneration density is low where the humus layer is more acidic and high soil acidity causes aluminium toxicity for ash trees, respectively.
Considering the saplings of 0.6–1.3 m height, a higher proportion occurred in pine-ash forests, where we also noted higher densities of younger ash regeneration (<0.6 m). Thus, we assume that within these sites, ash meets the limit of its effective establishment. In contrast, saplings of 0.6–1.3 m height occurred occasionally or were absent within the pine-dominated forests. Therefore, we conclude that despite the vicinity (up to 60 m) of the seed source, the chances of successful ash regeneration are negligible there. The main limiting factor is soil acidity resulting from a high proportion of Scots pine known for its impact on soil reaction (Augusto et al. 2002).
We recorded higher densities of both 0.6 m and 0.6–1.3 m height ash saplings in plots with higher tree or shrub cover, which decreases light availability in forest floor. It is consistent with ash requirements in juvenile stadium when the saplings are initially shade tolerant (Diekmann 1996). However, it contradicts our previous study conducted in ash-dominated and suboptimal sites, where we found an opposite trend (Turczański et al. 2021, 2022). We assume the differences are associated with soil environment and various tree and shrub strata species composition, especially with the proportion of Scots pine, which is negatively correlated with ash proportion (Tab. S3). In the present study set, tree cover increase was related to moderately fertile soils and a higher occurrence of broadleaved trees (pine-ash forests). On the contrary, within pine-dominated plots, the soil fertility decreased, and the tree cover was usually lower due to higher pine canopy openness (Jagodziński et al. 2019). Considering the shrub layer, the highest estimated cover did not exceed 30% and was more than twice lower than in optimal ash-dominated forests (Turczański et al. 2021). Thus, we assume that the light availability in the investigated stands with up to 60–70% tree cover and a moderate shrub layer cover can be sufficient for ash regeneration.
Our models suggest that the proportion of disease-damaged saplings was relatively low when considering saplings up to 0.6 m height. In contrast, regeneration of 0.6 m to 1.3 m height was more severely affected. Comparing the present study set with ash-dominated and suboptimal sites (Turczański et al. 2021, 2022), we found that the severity of the disease was lower. It may indicate that more ash saplings can withstand the infection up to a point where plants are more susceptible to disease and still can grow despite the unfavourable environmental drivers. It may be associated with tree species composition, including a slight share or absence of mature ash trees, resulting in lower fungus pressure. This way, it refers to the Janzen-Connell hypothesis of distance-dependent mortality (Connell 1971; Janzen 1970). Similar findings were revealed for ash saplings growing within suboptimal sites (Turczański et al. 2022). Finally, a low number of disease-damaged saplings could be triggered by low soil moisture or soil reaction – as some studies linked it with ash disease severity (e.g., Turczańskiski et al. 2020a; Cracknell et al. 2023; Marçais et al. 2023). In our study soil pH was strictly related to ash proportion in stand, which is in line with these findings. In saplings up to 0.6 m height, we found that the decrease of soil pH correlated with a lower proportion or even the lack of disease symptoms (Fig. 5). However, it is worth highlighting that soil reaction (below pH 4.0) significantly decreased the density of ash saplings, leading the species to its occurrence limit (Fig. 4).
Interestingly, our models revealed that the presence of disease-damaged saplings decreased with increasing summer soil moisture. It concerned taller saplings, while we did not find such correlation in smaller ones <0.6 m. This effect seems to contradict the studies on ash dieback, which link significant soil moisture to high disease severity. However, it probably results from a narrow and low range of soil moisture of up to ca. 8% found in the investigated non-optimal sites. Therefore, we assume it cannot be considered separately without comparing moisture levels in moist and fertile habitats where the trees are more severely damaged. Consequently, it is hard to unequivocally state whether soil moisture at that level can promote or not the ash disease. Hence, further studies on soil moisture are needed to understand its influence on ash dieback.
During assessing the damage symptoms, we found ca. 10% of dead regeneration up to 0.6 m height without visible symptoms of ash disease. Moreover, our models showed that the proportion of dead saplings increased with increasing Scots pine in the overstory and lowering the summer soil moisture (Fig. 5). It is worth highlighting that these two factors must be considered jointly with soil conditions found in the investigated study sites (Arenosols and Cambisols). These sites were characterised by low soil moisture caused by sandy soil texture and deep groundwater level, and a higher pine canopy openness directly influencing the moisture loss in the upper soil horizons, affecting a low soil water storage capacity. It is consistent with the results shown by Buhk et al. (2016), who found that sandy soils may exaggerate drought, and that the effect of sandy texture is coupled with lower nutrient availability. Considering the above, we decided to consider the dead saplings having no ash disease symptoms as drought-damaged. Our models showed that with decreasing the volumetric soil moisture below 6% (Fig. 5), the presence of drought-damaged saplings increased.
We assume that the susceptibility of ash to drought also derives from the forest strata cover. With increasing proportion of Scots pine in the overstory, the rate of drought-damaged saplings increased. It is biologically associated with pine canopy openness, allowing more light and heat to reach the forest floor (Jagodziński et al. 2019). Therefore, it influences the decrease of moisture in the upper soil horizons during severe droughts. We also assume that a high proportion of drought-damaged ash saplings up to 0.6 m height results from their shallow root systems. According to many studies, young saplings are more prone to environmental stress, i.e. drought and heat, but their tolerance increase with age and depends on species and site characteristics (Niinemets 2010). Beloui et al. (2022) revealed that drought damage on saplings increased from pioneer to non-pioneer species, and ash trees are the third most vulnerable species. Considering this, our findings raise concerns about the future survival rates of ash natural regeneration in the investigated forest habitats. However, it is still reassuring that most ash juveniles managed to survive the dry soil conditions. It alludes to Buhk et al. (2016) and Beloui et al. (2020), who found that some saplings can withstand drought conditions in sandy soils due to local environmental adaptation in their home range.
Our results showed that the highest browsing occurred within the plots in pine-ash forests, characterized by a lower proportion of pine trees in the overstory, lower soil acidity, higher soil moisture, and thus higher ash sapling density. Considering the above, we assume that the browsing intensity is associated with the number of ash saplings, as almost all of the mentioned factors also significantly affect ash density. It is consistent with our previous studies in ash-dominated and suboptimal stands, where we found positive relationships between browsing and density (Turczański et al. 2021, 2022). Therefore, we can simplify the browsing-density relationships as follows: the denser ash natural regeneration (food source) – the more intensive browsing. This is consistent with Bergquist’s (1998) and Janzen (1970) conclusions.
Our results also showed that the proportion of browsed saplings increased with increasing shrub cover. We assume that a higher coverage of the shrub layer enhanced the browsing because of greater opportunities for hiding and undisturbed feeding by deer. Moreover, we observed that the number of browsed ash saplings of 0.6–1.3 m height in most plots reached up to 100% of individuals. It relates to the preferences of deers who most often browse shoots at the height of their shoulders, i.e. 70 to 100 cm (Renaud et al. 2001; Konôpka et al. 2015).
Despite the results obtained, there are some confounding effects, however. Namely, it is unclear whether the damage of some ash saplings resulted from high soil acidity, drought or ash disease. Some younger plants could die quickly before the appearance of visible symptoms of ash disease or could be affected by all of the mentioned threats. Also, a small proportion of 0.6–1.3 m height saplings may constitute a limitation for clear conclusions. Nevertheless, we assume that the ash regeneration rate within the studied habitats should be attributed to low soil fertility, creating more or less non-optimal conditions for ash establishment. Moreover, soil fertility and species composition may also result in a low proportion of ash disease-damaged saplings. Thus, it contributes to the study by Havrdová et al. (2017) indicating the possible crucial role of soil chemistry in reducing ash petioles in stands with Pinus spp. or Abies spp., and results by Cracknell et al. (2023) highlighting the influence of individual tree neighbourhood effects within mixed-species forests on ash disease.
A low number of assessed saplings affected the results of our study. The same number of damaged or browsed individuals in low and high sapling densities results in different proportions. That density-dependent effect is two-way: browsing and damage affect density, while density is an effect of these actions, thus, we included that correlation in density models. However, when drawing conclusions, we were conscious of that limitation, resulting from low sapling densities that did not allow us to sample a similar number of saplings in each plot as we studied the edge of ash regeneration niche. For that reason, we faced a trade-off between assessing the proportions of browsed or damaged saplings on a small number of individuals or sampling a larger number of saplings from larger study plots. The latter would increase the heterogeneity of soil conditions regarding tree species effects on soil chemistry (Reich et al. 2005; Hobbie et al. 2007) in mixed stands.
In conclusion, we state that pine-ash forests can harbour ash regeneration. In these sites, ash regeneration can achieve comparable densities with optimal fertile habitats, and interestingly, it is less affected by ash die-back. In contrast, within pine-dominated forests located in the vicinity of pine-ash stands, the successful establishment of ash is negligible as it results from the low density of saplings. The major limiting factors are low soil pH, low soil moisture, and indirectly, but ecologically significant – Scots pine proportion. Our results are essential for predicting ash forests’ natural regeneration and recovery. Consequently, we recommend broadening the scope of ash conservation into pine-ash forests that can host ash natural regeneration and allow it to reproduce. Hence, silvicultural management should aim to support ash establishment by gradual regeneration cuttings. In the future, the conditions there (niches) may enable the species to survive the disease and form mixed stands where ash achieve satisfactory health status and productivity.