Raspberries (Rubus idaeus L.) occupy leading positions in terms of both area and volume of product consumption among berry crops in Ukraine. Its plantations are more than 5 thousand ha (Medvedeva et al. 2016). Despite the natural fluctuations of the market, the production of this berry does not lose volumes. Raspberries are a liquid commodity on the domestic and international markets (Archer et al. 2016). Given that fresh berries are perishable, the harvested crop is partly sold fresh, partly frozen and processed into raspberry juice, jams, etc. This allows to avoid losses and maximize the profits of enterprises.
Requirement both in the amount of raspberry products and in their range, caused by different varieties, cultivation and processing technologies, short plantation operating periods, require constant significant volumes of planting material, that is variety replacement.
Growing raspberries is a rapidly developing field. In the 21st century, technological progress and modern research offer new methods of obtaining planting material, propagation and cultivation of raspberries, which are more efficient, sustainable and productive (Leposavi et al. 2013; Foster et al. 2019; Neumann et al. 2020).
A promising direction in raspberry cultivation is the creation of new varieties. Over the past several decades, researchers have worked to create raspberry varieties that are more resistant to diseases and pests, with higher productivity and better marketable qualities (transportability, taste, aroma, etc.). New varieties are being introduced that can bear fruit twice during the growing season (remontant raspberry) and raspberry varieties that bear fruit continuously throughout the growing season. Such varieties are characterized by high productivity and flexibility regarding the time of harvest (Hyrije et al. 2019). New promising varieties are in high demand on the market and require, first of all, modern fast methods of propagation of planting material, with a high coefficient of productivity (Kaur 2015). The dominant role here belongs to microclonal reproduction (Kushnir and Sarnatska 2005; Clapa et al. 2008).
Along with the renewal of varieties, there is a constant need to establish new plantations of varieties that are used for a long period in production. This is due to significant degeneration of plantations. The main causes of this problem are environmental and viral degeneration. In addition to viruses, when growing organic products, the fight against other pathogens (fungi, bacteria) is complicated by a narrow set of approved means of control (Ward et al. 2012; Neumann et al. 2020).
In Ukraine, more than 30 viral diseases have been identified in raspberry plantations, which are the cause of loss of productivity and quality of the crop. Raspberry bushy dwarf virus (RBDV) is common (Barbara et al. 2001; Moore and Hoashi-Erhardt 2012; Ward et al. 2012). In Ukraine, this virus was detected in 43–58% of tested plantations, and there are varieties whose plantations are 100% infected (Medvedeva and Tryapitsina 2010). The virus spreads during flowering with pollen. More than 13 types of viruses cause mosaics, which are manifested in the form of necrosis, speckling and deformation of leaves. The disease can be caused by a single or several viruses together. The main vector of transmission is aphids, weevils, mites and a number of other insect pests (Totic 2014).
Therefore, it is urgent to improve existing methods and develop new technological methods and integrated technologies of large-scale high-quality and competitive domestic planting material suitable for organic production of berry products (Foster et al. 2019).
The aim of the study is to optimize trophic and hormonal determination of raspberry reproduction in vitro and post-aseptic adaptation ex vitro.
The research study was carried out on the remontant raspberry variety Delniwa of Polish selection. The owner of the variety is Niva Khodovla. The variety is registered in Ukraine – patent No. 200576 dated October 5, 2020 (Information...2020). The variety is obtained as a result of crossing the varieties Tulameen, Polana, Heritage, and Polka. This is an early variety of raspberry that bears fruit on one-year shoots, which is capable of multiple fruiting: cone-shaped berry, attractive bright red colour, dense and shiny. The berry is easily separated from the stalk, which increases the productivity of harvesting. The high quality of the fruits (Brix 11.3) characterizes the variety as a dessert variety. The variety is characterized by high resistance, and the fruits do not darken after harvesting and are suitable for transportation over long distances.
Laboratory studies were performed in the conditions of the Tevitta TM laboratory (Agrofirm “Blagodatne,” Cherkasy region). According to the technological process, experiments were laid out in four stages: introduction into aseptic culture, multiplication, induction of rhizogenesis, and post-aseptic adaptation, including photoautotrophic grafting.
A sterile culture was obtained using the Blanidas 300 preparation (Matskevych et al. 2019b). Cultivation of plant objects in vitro (meristems, shoot explants, regenerants) was carried out in glass containers with a total volume of 200 ml filled with a 20% artificial nutrient medium (Fig. 1).

Cultivation of raspberry in vitro in containers with a volume of 200 ml
The containers were covered with transparent polypropylene lids resistant to autoclaving. Classical MS was used for cultivation according to the prescription of Murashige and Skoog (1962), as well as previously developed and tested own nutrient media for raspberry M1 (Kravchenko et al. 2023) and kiwifruit MK (Matskevych et al. 2023). The chemical composition of nutrient media is given in Table 1.
The composition of nutrient media
| Component | Quantity, mg/l | ||
|---|---|---|---|
| MS | M1 | MK | |
| NH4NO3 | 1650.00 | 1250 | 417.00 |
| KNO3 | 1900.00 | 1100 | 367.00 |
| MgSO4 × 7H2O | 370.00 | 770 | 257.00 |
| KH2PO4 | 170.00 | 970 | 324.00 |
| Ca(NO3)2 × 4H2O | – | 440 | 293.00 |
| CaCl2 × 2H2O | 440.00 | – | – |
| FeSO4 × 7H2O | 27.80 | – | 18.54 |
| Na2MoO4 × 2H2O | 37.30 | – | 24.70 |
| Ferrilene 4.8 Orto–Orto | – | 183.4 | – |
| H3BO3 | 6.2 | ||
| MnSO4 × H2O | 22.3 | ||
| CoCl2 × 6H2O | 0.025 | ||
| CuSO4 × H2O | 0.025 | ||
| ZnSO4 × 7H2O | 8.6 | ||
| Na2MoO4 × 2H2O | 0.25 | ||
| KJ | 0.83 | ||
| Thiamine-HCl | 1.6 | ||
| Pyridoxine-HCl | 0.5 | ||
| Vitamin C | 2.0 | ||
| Nicotinic acid | 1.0 | ||
| Mesoinosit | 100 | ||
| Glycine | 0.5 | ||
| Adenine | 0.2 | ||
| Saccharose | 30,000 | ||
| Agar | 7,000 | ||
| pH 5.6 | |||
Synthetic hormones were added to the media depending on the experimental schemes: cytokinins (benzylaminopurine, kinetin) and auxin (indolyl butyric acid). The carbohydrate sugar sucrose was added as a source of heterotrophic nutrition.
Predatory plants (Drosera, Dionaea, Nepenthes) were used for biological control. Mother plants of these plants were grown in vitro. Then, they were propagated together with the raspberries. In the calculation, one adult insectivorous plant per cassette was placed.
Post-aseptic adaptation with simultaneous reproduction was carried out by the photoautotrophic method (Fig. 2) in bioreactors with a mixture of air, carbon dioxide and distilled water (Arencibia et al. 2013; Nguyen et al. 2015; Matskevych et al. 2023). For this purpose, in vitro regenerants and ex vitro cuttings were planted on perlite filled with a solution with the following composition (in mg/l): NH4NO3 – 1250; KNO3 – 1100; KH2PO4 – 970; MgSO4 × 7H2O – 770; Ca(NO3)2 × 4H2O – 440; Ferrilene 4.8 Orto–Orto – 183.4; AgNO3 – 5.

Microclimate maintenance scheme for photoautotrophic nutrition
Cultivation temperature is 24±2°C. The photoperiod is 16 hours; lighting intensity: in vitro 2500 lux and ex vitro 11000 lux; humidity: in vitro 65–75% and ex vitro initially 80–90% with a decrease to 60%.
The number of repetitions in space is 5 and in time is 3. For one spatial repetition, one culture container (in vitro) and one greenhouse cassette (ex vitro) were taken. A microshoot with three or more leaves at least 10 mm high was considered a full-fledged shoot in the conglomerate.
Research was conducted taking into account the requirements of the Convention on Biological Diversity (1992). Mean biometric values X and their errors m were calculated using Statistica 8.0 software package (Weiss 2007).
Microclonal propagation technologies can be without meristem cultivation at the first stage (Matskevych et al. 2023). This accelerates the production of a sterile culture for rapid aseptic propagation. At the same time, there is a risk of multiplying material with a latent infection. This is partly solved by the selection of healthy donors of primary explants. Primary explants in such cases are non-lignified cuttings isolated from a shoot or bud (Matskevych et al. 2019a). Compared to meristem explants, such explants have larger sizes and partially formed organs and tissues, for example, conductive ones. We compared the terms of obtaining primary regenerants from different types of primary explants (meristem, bud, shoot stem) on three variants of the nutrient medium (Tab. 2). A regenerant with a height of more than 30 mm and a number of internodes of at least three was considered formed.
Duration of plant regeneration in vitro from different types of primary explants, days
| Type of explant | Medium | ||
|---|---|---|---|
| MS | M1 | MK | |
| Meristem | 63 ± 7.2 | 57 ± 8.1 | 61 ± 7.0 |
| Bud | 39 ± 3.9 | 33 ± 4.8 | 30 ± 4.1 |
| Shoot stem | 34 ± 4.7 | 32 ± 4.2 | 30 ± 3.8 |
The difference in terms caused by the influence of the medium on the rate of regeneration in vitro from primary regenerants, which later became mother plants, that is, donors of explants for grafting in aseptic conditions, was within statistical deviation. For all three types of explants, there is a tendency to decrease the regeneration period on medium M1. A significant difference was established in terms of regeneration depending on the type of explant. The shortest period for the reproduction of plants in vitro from primary regenerants was established on the variant with shoot explants (30–34 days). The longest period is on the variant with meristem explants (57–63 days).
The option using meristem explants was also inferior in terms of such an indicator as “yield of regenerants from primary explants”. From meristem explants, 2.3% of regenerants were obtained compared to 18.4% and 54.3% from bud and shoot explants, respectively (Tab. 3). To obtain regenerants of meristem origin, the largest number of transfers was also necessary – an average of 2.7 transfers (pieces) compared to 1.9 and 1.5 transfers on variants using buds and cuttings, respectively.
The influence of the type of primary explants on the number of transfers and the yield of regenerants in vitro, medium M1
| Type of explant | Number of transfers, pieces | Yield of regenerants from primary explants, % |
|---|---|---|
| Meristem | 2.7±0.4 | 2.3±1.1 |
| Bud | 1.9±0.3 | 18.4±3.6 |
| Shoot stem | 1.5±0.3 | 54.3±4.1 |
In our opinion, in case of significant infection of the source material, despite the greater expenditure of time and resources, reinfection of raspberries and a number of other crops in open, closed soil, the meristem method in combination with diagnostics increases the safety (virusless) of the planting material. Shortening the time of the first stage by two months in comparison with the risks of loss of quality (infection) is in most cases unjustified (Medvedeva & Tryapitsina 2010).
The influence of the nutrient medium on the technological indicators of the multiplication stage (multiplication coefficient, period between passages) in contrast to the stage of introduction into aseptic conditions was significant (Tab 4). In previous studies on other cultures, it was established that reliable signs of the influence of the nutrient medium, namely, trophic and phytohormonal determinants, are fully manifested after the third to fourth passages (Matskevych et al. 2019b). Therefore, the calculations in this experiment were carried out after the fifth grafting using the method of overlapping generations.
The influence of the nutrient medium on the rate of raspberry multiplication in vitro (BAP 1.0 mg/l, fifth passage)
| Indicator | Medium | ||
|---|---|---|---|
| MS | MK | M1 | |
| Multiplication coefficient | 4.7 ± 0.3 | 2.1 ± 0.3 | 5.6 ± 0.3 |
| Regeneration period, days | 32.0 ± 4.4 | 49.0 ± 4.9 | 24.0 ± 3.2 |
As is known, at the stage of introduction into aseptic conditions, adaptation to in vitro plant objects takes place better in media with a low content of nutrients (Matskevych et al. 2023). Therefore, at the first stage (introduction into aseptic culture), the best medium for cultivation was a medium with a much lower content of mineral salts (MK). At the same time, raspberry evolutionarily originates from soils with a relatively sufficient level of trophicity. This culture has developed an intensive type of metabolism, which is characterized by rapid metabolism of nutrients. Therefore, after adaptation to in vitro conditions at the stage of multiplication, regenerants on M1 and MS media were characterized by better biometric indicators, which are media for plants with intensive metabolism. Although for in vitro propagation of raspberry Citria, Clapa et al. (2008) recommend MS medium with 0.7 mg/l BAP, and for rooting – MS without hormones, our studies confirmed the effectiveness of M1 and MS media for propagation of raspberries of the Delniwa variety.
Among the compared options, the highest multiplication indicators, namely a high reproduction ratio (when dividing the mother plant) and a shorter period between passages, were set on the M1 medium. The difference between regenerants on M1 and MS media, in our opinion, is possible due to a better ratio of power elements in the option with M1. For example, raspberries require a higher iron chelate content than MS (Matskevych et al. 2023). Therefore, M1 medium was used in further studies.
Growth, including the formation of a conglomerate of microshoots, in addition to trophic elements, is determined by both endogenous and exogenous hormones. Their optimal amount depends on a number of factors, in particular, the concentration of hormones in explant donors. Both plant-synthesized hormones and those absorbed from the nutrient medium accumulate (Ibrahim 2022). Therefore, the absence of a pronounced determining effect, the effectiveness or phytotoxicity of synthetic hormones in the nutrient medium depends on the content of similar substances in the composition of the explants (Magyar-Tábori et al. 2021).
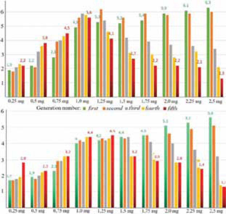
To identify the effect of phytohormones of the cytokinin class on plants that were maintained in the collection on medium M1 with a low content of these substances (BAP 0.10 mg/l, kinetin 0.15 mg/l against the background of the addition of adenine 0.2 mg/l, indolyl oil acid 0.25 mg/l), their influence on the formation of microshoots in the conglomerate during five cutting generations was analysed (Fig. 3). Since grafting was carried out by dividing the conglomerate into separate microshoots, the number of microshoots corresponded to the multiplication factor.

The influence of different concentrations of 6-benzylaminopurine (a) and kinetin (b) on the coefficient of multiplication of raspberries in vitro
During the first passage, with an increase in the concentration of cytokinins, a tendency to increase the multiplication coefficient was observed. Thus, when using BAP from 1.75 to 2.5 mg/l, this indicator increased from 5.4 to 6.3 compared to the indicator of 1.9 in the option with the addition of the smallest amount of the hormone (0.25 mg/l). When adding kinetin in amounts from 1.75 to 2.5 mg/l, the coefficient increased from 4.5 to 5.6 compared to the indicator of 1.7 in the option with the addition of 0.25 mg/l of this hormone. That is, in plants that were cultivated for a long time (including grafting) in the collection on media with a low content of cytokinins, in the first passage, there was an intensive awakening of axillary buds. As a result, a conglomerate of more microshoots was formed. This is one of the reasons for the effectiveness of using “unloading” media with reduced or changed content of mineral elements and/or reduced content of phytohormones (Matskevych et al. 2019b; Zilani et al. 2022).
However, at a cytokinin concentration of 2.0 mg/l from the second passage and at a concentration of 1.75 mg/l from the third passage, there was a decrease in the number of microshoots. With each subsequent grafting in options with the addition of such concentrations of cytokinins, the number of microshoots decreased. Visually, in the fourth passage, at concentrations above 2.0 mg/l, all plants showed signs of tissue hyperhydration, characteristic of an excess of cytokinins (Matskevych et al. 2023), and lost their morphogenic potential.
When BAP was added in concentrations of 0.25–1.0 mg/l for five passages, the number of micro-shoots increased. The highest concentration at which there was no reduction in the reproduction ratio was 1.25 mg/L. The highest indicators of the multiplication factor at the fifth passage were when BAP 1.0 mg/l (5.6) and kinetin 1.25 mg/l (4.5) were added.
Plants that were grafted for five passages on a medium containing BAP 0.25 and 1.0 mg/l and kinetin 0.25 and 1.25 mg/l were grafted for the induction of rhizogenesis on a medium with an increase content of indolylbutyric acid. Cultivation of donor plants for five passages on media with different concentrations of cytokinins affected the rhizogenesis of regenerants (Tab. 5).
The influence of cultivation of donor plants during five passages on media with different concentrations of cytokinins on the rhizogenesis of regenerants
| Indicator | Cytokinin, mg/l | |||
|---|---|---|---|---|
| BAP 0.25 | BAP 1.0 | Kinetin 0.25 | Kinetin 1.0 | |
| Beginning of root formation, days | 19.0 ± 3.2 | 24.0 ± 3.7 | 13.0 ± 2.4 | 16.0 ± 2.9 |
| The length of the root system on the 30th day of cultivation, mm | 9.3 ± 3.0 | 4.2 ± 0.9 | 16.4 ± 3.1 | 14.1 ± 3.9 |
| The number of roots on the 30th day of cultivation | 9.2 ± 2.8 | 7.4 ± 2.2 | 7.3 ± 2.4 | 5.1 ± 1.8 |
Previous cultivation on media with higher concentrations of cytokinins caused the effect of reducing the intensity of rhizogenesis. Higher concentrations of these hormones caused a delay in the initiation of root formation and a decrease in the length and amount of roots. When comparing BAP and kinetin, it was found that the offspring of donors grown on medium with kinetin hasve earlier onset of root formation, longer roots, but a slight (within the average arithmetic deviation) decrease in the amount of roots. Regenerants were also visually distinguished by leaves with shorter, thicker petioles and larger leaf plates.
The influence of the determinants given to the ex-plant donors was also preserved during adaptation of the regenerated offspring ex vitro (Fig. 4). Progeny from donors grown on media with kinetin were visually characterized by less plant shedding during post-aseptic growing.

The determining effect of cytokinins on the offspring of donors raised on substances with cytokinin activity in quantities of 1 mg/l, where 1 – kinetin; 2 – BAP
Substrates have a significant influence on the viability and growth of ex vitro plants. In particular, comparing the adaptation of regenerants on substrates based on peat and perlite, a number of technological differences were established (Tab. 6).
Peculiarities of adaptation of regenerants depending on the basis of the substrate
| Indicator | The basis of the substrate | |
|---|---|---|
| Peat | Perlite | |
| Survival, % | 73.3 ± 6.0 | 89.3 ± 6.3 |
| Height of regenerants on the 30th day, mm | 76.5 ± 6.0 | 67.1 ± 5.3 |
| Inhabitation by insects, pieces/container | 23.1 ± 6.4 | 4.0 ± 1.7 |
On the peat substrate, survival was 73.3% compared to 83.9% on the perlite one. Losses of regenerants were caused by a number of reasons: difficulty in maintaining humidity at an optimal level (lower drain-ability of peat compared to perlite); peat as an organic substrate is inhabited by fungi (Matskevych et al. 2023) and insects, including their harmful larvae. Perlite as a mineral substance is an unsuitable medium for the settlement of fungi and other microorganisms compared to the organic substrate peat. Clapa et al. (2008) in their study with the raspberry cultivar Citria also established the benefits of acclimatization of rooted seedlings on perlite in closed plastic trays, confirming the effectiveness of our results.
In production conditions, it was also found out that in the event of extraordinary situations with watering (human factor, malfunction of control and measuring devices, etc.) on peat substrates (Fig. 5), due to excess moisture, the root system rots, the edges of the leaf plates first die, and if the roots are not regenerated (long-term excess of water), all the leaves and later the whole plant die. Excess moisture in peat promotes the formation of photosynthesizing microflora, including mosses and photosynthetic algae. This microflora is harmless to raspberry plants, but decay products have a toxic effect and are a source of food for fungi and insect larvae.

Negative consequences of excessive watering on peat substrates
In order to control insect infestation of humid chambers, an ecological approach was tested in controlling their quantity (Tab. 7), namely, a biomethod of placing insectivorous (predatory) plants from the genus Drosera in humid chambers (Fig. 6), Dionaea and Nepenthes.
Effectiveness of controlling the quantity of insects in humid chambers
| Number of insects | Control | Standard | Insectivorous plants | ||
|---|---|---|---|---|---|
| Drosera | Dionaea | Nepenthes | |||
| Peat substrate | |||||
| Beginning | 9±3.2 | 10±3.0 | 9±2.9 | 11±4.2 | 8±2.8 |
| End | 27±4.9 | 7±1.8 | 3±0.9 | 19±4.0 | 23±5.7 |
| Perlite substrate | |||||
| Beginning | 3±0.9 | 3±0.6 | 4±0.6 | 3±0.4 | 4±1.1 |
| End | 11±2.8 | 5±1.2 | 1±0.2 | 9±1.9 | 8±2.9 |

Use of Drosera to control insect population in bioreactors of photoautotrophic microclonal propagation
To provoke the settlement of the chambers, watering was carried out 15–20% above the optimal level, and the chambers were partially left open. The absence of insecticide treatments was used as a control, and watering with a solution of Aktara 25 WG, that is, a solution of 2.5 g per 1 litre of water, was used as a reference. The number of insects was counted after filling selected control wet chambers with cassettes with water for 30 minutes. The beginning of the experiment was considered to be the 7th day, and the end of the experiment was the 30th day of cultivation.
Bioreactor conditions, including intense lighting, were tolerated by Drosera and Dionaea without damage. In plants of the genus Nepenthes, leaf plates had burns caused by an excess of light energy.
In the control, without the use of insectivorous plants, the number of insects increased from 9 to 27 insects per wet chamber with a cassette with regenerants on a peat substrate and from 3 to 11 insects on a perlite substrate. About a third of the insects on the peat substrate were larvae, in particular, larvae of the mushroom and greenhouse mosquito. The number of insects at the beginning of the experiment depended only on the type of substrate. So, on the 7th day, there were an average of 9 pieces on the peat substrate and 3 pieces on the perlite substrate. At the end of the experiment, the fewest insects were in the chamber using the predatory plant of the genus Drosera, namely, 3 pieces on the peat substrate and 1 piece on the perlite substrate.
The use of the biomethod of controlling the number of insects was implemented in further research and production conditions of TM “Tevitta,” Compared to the pesticide method, in addition to the higher efficiency of insect control, the biomethod is safe to use and can be used in organic nurseries.
Post-aseptic adaptation is the fourth and final stage of the classic technology of microclonal reproduction with mixotrophic against the background of the predominance of heterotrophic nutrition due to the introduction of exogenous carbohydrates into the medium. This method, despite its prevalence, is expensive and complicated due to the use of the aseptic system in the first three stages and losses during the transition of regenerants in vitro–in vivo to autotrophic nutrition and in uncontrolled conditions of open ground (ex vitro).
Photoautotrophic microclonal reproduction provides higher rates of both adaptation and reproduction efficiency (higher reproduction ratio). The intensification of photoassimilation causes the accumulation of a greater number of endogenous carbohydrates, which the plant directs to the construction of tissues and organs, including the root system. Such approaches have been developed by many scientists, including us for a number of crops (blackberry, hazelnut) (Matskevych et al. 2019b). However, raspberries have their own biological characteristics. We compared the lengths of the roots of raspberry regenerants in an ordinary wet chamber and in a bioreactor with intensive photoassimilation (Tab. 8). In the experiment, regenerants grown on a medium with a predominance of auxins, but without roots, were used. In the bioreactor on the 7th day of adaptation, the length of the roots was 27 mm, which exceeded the indicators of rhizogenesis of plants in the humid chamber on the 21st day of cultivation. On the 30th day of cultivation, the length of the root system of the plants in the bioreactor was 124 mm compared to a similar indicator of 59 mm in the wet chamber.
The length of the raspberry root system ex vitro, mm
| Conditions | Cultivation day | |||
|---|---|---|---|---|
| 7 | 14 | 21 | 30 | |
| Wet chamber | – | 3±1.2 | 11±5.4 | 59±8.8 |
| Bioreactor | 27±3.2 | 68±7.0 | 103±9.1 | 124±11.0 |
With the photoautotrophic method, in addition to successful adaptation, post-aseptic reproduction is also possible. In particular, for paulownia and hazelnut, due to their juvenile nature, such reproduction is successful up to 4–5 generations (Matskevych et al. 2023). We found a similar effect on raspberries. Cuttings of the next generation after in vitro on the 10th day of cultivation regenerated plants, most of which had a root length of 70 mm or more (Fig. 7).

The second generation of cuttings by photoautotrophic microclonal reproduction
When replanting on the 21st day of cultivation of regenerants outside the bioreactor, the plants did not lose turgor (Fig. 8), as was observed when even older regenerants were transferred from an ordinary humid chamber.

State of the regenerants on the 21st day after leaving from the bioreactor
However, in the third and subsequent generations, the rates of regeneration decreased significantly, including rhizogenesis. In previous similar studies, we established that the reason for this is the loss of juvenility. Visually, this hypothesis was confirmed by the formation in plants instead of a simple leaf of a three-blade dissected leaf plate (Fig. 9) and lignification of the stem.

Raspberry leaf polymorphism due to the loss of juvenility: 1 – adapted plants in vitro (the first generation, grown ex vitro); 2 – second generation ex vitro; 3 – third generation ex vitro
After cutting the tops, the basal part of the plants had a branched root system (Fig. 10) and was successfully used both for growing and as donors for the next selection of shoots.

The state of the root system in donors of apical cuttings
According to the results of our previous studies (Matskevych et al. 2019a; Matskevych et al. 2023) and other researchers (Kozai et al. 2005), the optimal light intensity is 11 klx. By comparing the impact of lighting intensity of 9, 11 and 14 klx, it was established that in the conditions of the bioreactor, the intensity of 11 klx is optimal. At a lower intensity of illumination, smaller growths of the root system were observed, and in the case of a higher intensity (14 klx), burns of the photoassimilating surface were noted (Fig. 11). Intense burns were observed both in regenerant plants planted in the bioreactor and in vivo cuttings, which are characterized by more developed covering tissues.

The influence of the intensity of lighting on the state of the photoassimilating surface of raspberry cuttings in vivo
Intense lighting, incl. 11 klx compared to normal wet chamber lighting (2.5 klx), increased visual signs of magnesium deficiency. In the second generation, donor plants had signs of interveinal chlorosis characteristic of magnesium deficiency (Fig. 12). To eliminate this phenomenon, after cutting the apical cuttings, the effectiveness of feeding plants with a solution containing Mg, S, N, Ca (MgSO4 × 7H2O – 970 mg/l and Ca(NO3)2 × 4H2O – 440 mg/l) was tested. Reduction of chlorotic areas was noted on the fifth day after feeding, and their complete disappearance was noted after 10 days.

Symptoms of magnesium deficiency before (1, 2) and after feeding (3, 4)
Effective technological approaches for photoautotrophic microclonal propagation in vitro and ex vitro have been tested for raspberry grafting with in vivo material. It was found that such grafting in a bioreactor is possible if the planting depth is no more than 5–7 mm and the use of relatively juvenile shoots (“nettles”) (Fig. 13).

The condition of raspberry cuttings in vivo in a bioreactor
Juvenility is determined by the state of the leaves and under the microscope by the state of the apical meristem. Figure 13 (photo 1) shows the dead basal part of the stem with dried edges of leaf plates in cuttings planted deep in the soil. The initiation of root formation on the 7th and 14th days of cultivation with a planting depth of 5–7 mm is interpreted, respectively, in photos 2 and 3. The cuttings, the apical meristems of which laid the flower organs, formed callus tissue in the lower part of the shoot (photos 4 and 5). Overcoming this problem may be the task of our further research with the aim of universalizing technological approaches in photoautotrophic microclonal reproduction.
The research has established that the duration of in vitro regeneration of Delniwa raspberry variety from meristem explants was 57–63 days. At the stage of introduction into aseptic culture, the highest reproduction coefficient and the shortest period between graftings were on medium M1.
At the stage of multiplication, a persistent multiplication factor was obtained by adding 1.0 mg/l of benzylaminopurine or 1.25 mg/l of kinetin to the nutrient medium.
The advantage of using a perlite substrate over a peat substrate in terms of the survival rate of regenerants and their resistance to damage by pathogens has been recorded.
At the stage of post-aseptic adaptation, the effectiveness of using insectivorous plants of the genus Drosera to control the number of insects in humid chambers was higher compared to the effectiveness of the substrate treatment with the pesticide Aktara 25 WG.
Post-aseptic adaptation in bioreactor conditions was reduced to 21 days compared to 30 days in conventional moist chambers.
Photoautotrophic microclonal propagation of plants of the Delniwa variety is effective during three cutting generations ex vitro and juvenile cuttings in vivo.