Figure 1.

Figure 2.

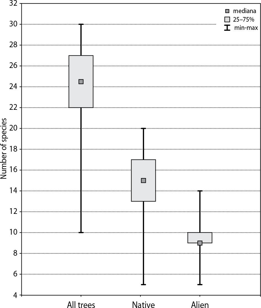
Figure 3.

Figure 4.

Figure 5.

The share of native species in the analysed urban forests in Katowice
| No. | Tree species | Number of forests | % of forests | Number of forests where species prevaile |
|---|---|---|---|---|
| 1. | Acer campestre | 4 | 13.3 | - |
| 2. | Acer platanoides | 28 | 93.3 | 3 |
| 3. | Acer pseudoplatanus | 22 | 73.3 | - |
| 4. | Alnus glutinosa | 10 | 33.3 | 2 |
| 5. | Betula pubescens | 2 | 6.7 | - |
| 6. | Betula pendula | 30 | 100 | 16 |
| 7. | Carpinus betulus | 8 | 26.7 | - |
| 8. | Cerasus avium | 21 | 70 | - |
| 9. | Crataegus monogyna | 22 | 73.3 | - |
| 10. | Euonymus europaeus | 2 | 6.7 | - |
| 11. | Fagus sylvatica | 9 | 30 | - |
| 12. | Fraxinus excelsior | 22 | 73.3 | 1 |
| 13. | Larix decidua | 2 | 6.7 | - |
| 14. | Padus avium | 24 | 80 | - |
| 15. | Picea abies | 1 | 3.3 | - |
| 16. | Pinus sylvestris | 12 | 40 | 1 |
| 17. | Populus xcanescens | 3 | 10 | - |
| 18. | Populus nigra | 20 | 66.7 | 4 |
| 19. | Populus tremula | 30 | 100 | 11 |
| 20. | Quercus petraea | 3 | 10 | - |
| 21. | Quercus robur | 27 | 90 | 3 |
| 22. | Salix alba | 1 | 3.3 | - |
| 23. | Salix caprea | 29 | 96.7 | 1 |
| 24. | Salix fragilis | 18 | 60 | 1 |
| 25. | Salix purpurea | 2 | 6.7 | - |
| 26. | Sambucus nigra | 16 | 53.3 | - |
| 27. | Sorbus aucuparia | 25 | 83.3 | - |
| 28. | Tilia cordata | 27 | 90 | 1 |
| 29. | Tilia platyphyllos | 8 | 26.7 | - |
| 30. | Ulmus laevis | 7 | 23.3 | - |
| 31. | Ulmus glabra | 6 | 20 | - |
List, area and location of the analysed urban forests in Katowice
| No. | District | Area (ha) | Localisation | |
|---|---|---|---|---|
| N | E | |||
| 1 | 2 | 3 | 4 | 5 |
| 1. | Muchowiec | 2.7 | 50.241908 | 19.033019 |
| 2. | Muchowiec | 3.7 | 50.242854 | 19.028191 |
| 3. | Szopienice (Borki) | 8.0 | 50.278260 | 19.085934 |
| 4. | Szopienice (Borki) | 3.0 | 50.273858 | 19.092457 |
| 5. | Szopienice (Borki) | 2.5 | 50.271047 | 19.097414 |
| 6. | Szopienice (Borki) | 9.0 | 50.275485 | 19.097414 |
| 7. | Szopienice (Borki) | 2.0 | 50.271403 | 19.102413 |
| 8. | Burowiec | 2.4 | 50.273186 | 19.078531 |
| 9. | Dąbrówka Mała (Norma) | 1.7 | 50.272089 | 19.062395 |
| 10. | Pniaki | 5.2 | 50.280015 | 19.056901 |
| 11. | Dąbrówka Mała | 3.4 | 50.282319 | 19.068961 |
| 12. | Osiedle 1000-lecia | 4.8 | 50.277237 | 18.968822 |
| 13. | Osiedle 1000-lecia | 3.7 | 50.272749 | 18.967893 |
| 14. | Osiedle 1000-lecia | 1.4 | 50.271082 | 18.972764 |
| 15. | Osiedle 1000-lecia | 4.2 | 50.270299 | 18.985690 |
| 16. | Załęska Hałda | 1.8 | 50.250420 | 18.994464 |
| 17. | Załęska Hałda | 2.6 | 50.254042 | 18.997575 |
| 18. | Załęska Hałda | 2.0 | 50.247090 | 18.984634 |
| 19. | Kokociniec | 3.5 | 50.231153 | 18.958849 |
| 20. | Kokociniec (Płochy) | 3.9 | 50.233992 | 18.966832 |
| 21. | Osiedle Paderewskiego | 5.0 | 50.245109 | 19.048359 |
| 22. | Wilhelmina | 4.9 | 50.249884 | 19.093892 |
| 23. | Nikiszowiec | 3.9 | 50.246454 | 19.083292 |
| 24. | Dąbrówka Mała | 7.5 | 50.287081 | 19.070160 |
| 25. | Dąbrówka Mała | 7.4 | 50.290373 | 19.061810 |
| 26. | Józefowiec (Kolonia Alfred) | 7.1 | 50.290229 | 19.013960 |
| 27. | Józefowiec (Kolonia Alfred) | 1.9 | 50.292573 | 19.008059 |
| 28. | Brynów (Park Kościuszki) | 3.0 | 50.239455 | 19.002028 |
| 29. | Osiedle Witosa | 1.7 | 50.262051 | 18.963812 |
| 30. | Obroki | 3.7 | 50.266550 | 18.957426 |
The share of alien species in the structure of the analysed urban forests in Katowice
| No. | Tree species | Tree stand | Undergrowth | ||
|---|---|---|---|---|---|
| number of forests | sum of abundance categories (average) | number of forests | sum of abundance categories (average) | ||
| 1. | Acer ginnala | - | - | 1 | 1 (1) |
| 2. | Acer negundo | 24 | 44 (1.8) | 25 | 55 (2.2) |
| 3. | Acer saccharinum | 2 | 2 (1) | - | - |
| 4. | Aesculus hippocastanum | 14 | 15 (1.1) | 17 | 18 (1) |
| 5. | Caragana arborescens | - | - | 1 | 1 (1) |
| 6. | Fraxinus pennsylvanica | 17 | 31 (1.8) | 18 | 33 (1.8) |
| 7. | Juglans regia | 19 | 22 (1.2) | 26 | 46 (1.8) |
| 8. | Laburnum anagyroides | - | - | 1 | 1 (1) |
| 9. | Malus domestica | 12 | 12 (1) | 1 | 1 (1) |
| 10. | Padus serotina | 26 | 53 (2) | 29 | 80 (2.8) |
| 11. | Populus ‘NE 42’ | 14 | 21 (1.5) | - | - |
| 12. | Populus candicans | 4 | 7 (1.7) | - | - |
| 13. | Populus nigra ‘Italica’ | 4 | 7 (1.7) | 1* | 1 (1) |
| 14. | Populus simonii | 1 | 1 (1) | - | - |
| 15. | Populus × berolinensis | 15 | 24 (1.6) | 2* | 3 (1.5) |
| 16. | Populus × canadensis | 6 | 8 (1.3) | 1* | 1 (1) |
| 17. | Prunus domestica | 15 | 18 (1.2) | 7 | 8 (1.1) |
| 18. | Pyrus communis | 4 | 4 (1) | 1 | 1 (1) |
| 19. | Quercus rubra | 19 | 42 (2.2) | 28 | 58 (2.1) |
| 20. | Robinia pseudoacacia | 29 | 78 (2.7) | 29 | 71 (2.5) |
| 21. | Sorbus intermedia | 3 | 3 (1) | 3 | 3 (1) |
| 22. | Syringa vulgaris | 1 | 1 (1) | 2 | 2 (1) |