Urban forests are an important element in the spatial and functional structure of cities. In a highly transformed urbanised environment, they create enclaves of a natural character, also playing an important role in shaping the urban landscape and in the lives of residents (Tyrväinen et al. 2005; Kaliszewski 2006; Kim 2016). The forest cover has a beneficial effect on the local climate (mainly in reducing temperature and wind strength) and also contributes to reducing the level of air pollution (McPherson et al. 1997; Tyrväinen et al. 2005). Urban forests are also important centres of local biodiversity, creating places of refuge for many species of plants and animals, including rare and endangered species (Alvey 2006; Lepczyk et al. 2017; Kowarik et al. 2019).
Urban forestry is defined as ‘an art, science and technique of management of trees and forest resources in urban ecosystems and surrounding them with the aim to secure psychological, sociological, economical and aesthetic advantages for municipal communities’(Miller 1997). Urban woodland means a forested ecosystem of natural, semi-natural or man-made origin, used for a variety of purposes (Bell et al. 2005). The concept of the ‘urban forest’ itself is defined in various ways (Konijnendijk et al. 2006). In a broader sense, it includes all woody vegetation in the city, that is, forests, parks, gardens and roadside trees (Costello 1993; Konijnendijk 2003; Randrup et al. 2005). In a narrower sense, this concept refers only to typical forest ecosystems, without gardens, parks and street trees (Konijnendijk 2003; Rydberg and Falck 2000; Gundersen et al. 2005; Randrup et al. 2005).
Forests in cities may have different characters. In a broader sense, urban forests are all the forests within the legal boundaries of urban areas (Konijnendijk 2003). This also includes suburban commercial forests, often having the character of dense forest complexes with relatively little diversity of tree stands (Jaszczak and Wajchman 2014; Fojcik et al. 2019). It seems more appropriate, however, to adopt a narrower definition for the concept of ‘urban forests’, that is, that they are enclaves of forests in strictly urban areas (Konijnendijk 2003). This approach reflects their specificity resulting from the development of specific urban conditions (including the specific climate related to the urban heat island effect, air pollution and disturbed soils) (Sieghardt et al. 2005). Such forests are usually isolated from larger forest complexes and occupy relatively small areas (Konijnendijk 1997). They usually arise in wasteland and develop largely through spontaneous succession. The trees may partly come from plantings, especially in previously reclaimed areas or in former parks (Keil and Loos 2005; Olszewski 2009). They are usually not used commercially.
With regard to urban forests (in the strict sense), the occurrence of species of alien origin deserves special attention. The spread of alien species is one of the negative effects of urbanisation (Bierwagen 2005; Arson et al. 2015). Especially in the last century, there has been an increase in the number of alien woody species in the urban flora and also in the forest areas (Mavimbela et al. 2018; Kowarik et al. 2019). They include invasive species that reproduce intensively and spread quickly, and even belong to the category of transformers, changing the features and conditions of ecosystems (Richardson et al. 2000). Urban forests, often exposed to disturbance, fragmentation and alien propagule pressure, are particularly susceptible to the penetration of alien plant species (Wagner et al. 2017; Becerra and Simonetti 2020).
The share of alien tree species in the forest structure is particularly important. The aim of this study is to determine the scale of this phenomenon in Katowice by analysing the share of alien species in the structure of stands in the local urban forests. The following research hypotheses were formulated: 1) the share of alien species in the tree stand structure of the urban forests in Katowice is significant; 2) invasive species play an important role among alien tree taxa and 3) differences in habitat conditions on the forest edge (in the ecotone zone) and inside the forest affect the occurrence of alien tree species.
Katowice (50.288815 N latitude, 18.943135 E longitude) is the main city of one of the largest urban agglomerations in Central Europe and the most urbanised region in Poland (Upper Silesian Industrial Region) (Krzysztofik 2021). Until recently, Katowice was a large mining and industrial centre, but in recent decades, the economy of Katowice has been transforming from the heavy industry of steel and coal mines into one of the most attractive investment areas for modern economy branches in Central Europe. The city encompasses an area of 165 km2 and has over 290,000 inhabitants (Województwo śląskie… 2019). The city area is characterised by a diverse relief, consisting of hills (exceeding 300 m above sea level), intersected with river valleys in the form of tectonic depressions and erosion channels (Szaflarski 1976). Over the last 200 years, humans and their economic activities have become an important factor modelling the local relief, resulting in the blurring of natural landforms and the appearance of new ones (embankments, workings, sinkholes, heaps, etc.) (Barciak et al. 2012). More than 38% of the city’s area is covered by forests, so it is one of the most forested cities in Europe (Pauleit et al. 2005). Dense forest areas cover the southern part of the city. These are mainly commercial forests of a mixed forest nature (Fojcik and Stebel 2010).
Field research was conducted in 2021 in Katowice in the northern part of the city. The research covered 30 sites (Tab. 1), which were single urban forests, defined as small wooded areas (with an area of at least 1 ha), isolated from larger complexes of managed forest, the vegetation of which is currently developing spontaneously, even if some of the trees come from old, purposeful plantings (as part of reclamation or park development). During the field research, conducted on the entire area of individual forests, species of tree stands (over 3 m high) were inventoried, and the following information was recorded:
- –
occurrence of native tree species with the dominant species marked,
- –
occurrence of alien tree species, including their abundance in individual forests (=stands); three categories of abundance were adopted: 1 – single specimens (up to 10); 2 – not very numerous specimens (11–30) and 3 – numerous specimens (over 30).
List, area and location of the analysed urban forests in Katowice
| No. | District | Area (ha) | Localisation | |
|---|---|---|---|---|
| N | E | |||
| 1 | 2 | 3 | 4 | 5 |
| 1. | Muchowiec | 2.7 | 50.241908 | 19.033019 |
| 2. | Muchowiec | 3.7 | 50.242854 | 19.028191 |
| 3. | Szopienice (Borki) | 8.0 | 50.278260 | 19.085934 |
| 4. | Szopienice (Borki) | 3.0 | 50.273858 | 19.092457 |
| 5. | Szopienice (Borki) | 2.5 | 50.271047 | 19.097414 |
| 6. | Szopienice (Borki) | 9.0 | 50.275485 | 19.097414 |
| 7. | Szopienice (Borki) | 2.0 | 50.271403 | 19.102413 |
| 8. | Burowiec | 2.4 | 50.273186 | 19.078531 |
| 9. | Dąbrówka Mała (Norma) | 1.7 | 50.272089 | 19.062395 |
| 10. | Pniaki | 5.2 | 50.280015 | 19.056901 |
| 11. | Dąbrówka Mała | 3.4 | 50.282319 | 19.068961 |
| 12. | Osiedle 1000-lecia | 4.8 | 50.277237 | 18.968822 |
| 13. | Osiedle 1000-lecia | 3.7 | 50.272749 | 18.967893 |
| 14. | Osiedle 1000-lecia | 1.4 | 50.271082 | 18.972764 |
| 15. | Osiedle 1000-lecia | 4.2 | 50.270299 | 18.985690 |
| 16. | Załęska Hałda | 1.8 | 50.250420 | 18.994464 |
| 17. | Załęska Hałda | 2.6 | 50.254042 | 18.997575 |
| 18. | Załęska Hałda | 2.0 | 50.247090 | 18.984634 |
| 19. | Kokociniec | 3.5 | 50.231153 | 18.958849 |
| 20. | Kokociniec (Płochy) | 3.9 | 50.233992 | 18.966832 |
| 21. | Osiedle Paderewskiego | 5.0 | 50.245109 | 19.048359 |
| 22. | Wilhelmina | 4.9 | 50.249884 | 19.093892 |
| 23. | Nikiszowiec | 3.9 | 50.246454 | 19.083292 |
| 24. | Dąbrówka Mała | 7.5 | 50.287081 | 19.070160 |
| 25. | Dąbrówka Mała | 7.4 | 50.290373 | 19.061810 |
| 26. | Józefowiec (Kolonia Alfred) | 7.1 | 50.290229 | 19.013960 |
| 27. | Józefowiec (Kolonia Alfred) | 1.9 | 50.292573 | 19.008059 |
| 28. | Brynów (Park Kościuszki) | 3.0 | 50.239455 | 19.002028 |
| 29. | Osiedle Witosa | 1.7 | 50.262051 | 18.963812 |
| 30. | Obroki | 3.7 | 50.266550 | 18.957426 |
The general frequency of occurrence of alien tree species was determined on the basis of the number of forests (tree stands) in which they were recorded (expressed in %), as opposed to the abundance of occurrence in individual forests, characterised by the abundance scale described above. The nomenclature of species, their systematic affiliation and current status in the national flora were adopted according to Mirek et al. (2020).
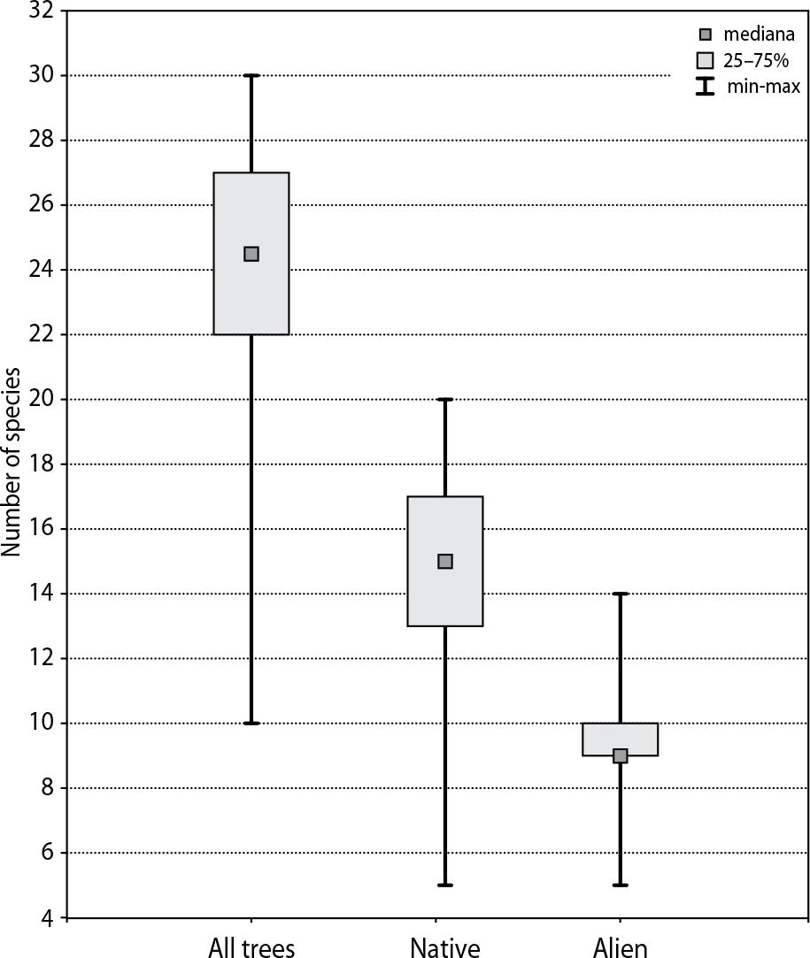
In the analysed stands of urban forests in Katowice, a total of 50 woody species were recorded, including 31 native species and 19 of alien origin (Tab. 2, 3). The vast majority were deciduous trees – 90.3% of the native trees and 100% of the alien trees. In individual forests, the stands ranged from 10 to 30 species, including 5–20 native species and 5–14 alien species (Fig. 1).

The average number of species in the analysed urban forests in Katowice
The share of native species in the analysed urban forests in Katowice
| No. | Tree species | Number of forests | % of forests | Number of forests where species prevaile |
|---|---|---|---|---|
| 1. | Acer campestre | 4 | 13.3 | - |
| 2. | Acer platanoides | 28 | 93.3 | 3 |
| 3. | Acer pseudoplatanus | 22 | 73.3 | - |
| 4. | Alnus glutinosa | 10 | 33.3 | 2 |
| 5. | Betula pubescens | 2 | 6.7 | - |
| 6. | Betula pendula | 30 | 100 | 16 |
| 7. | Carpinus betulus | 8 | 26.7 | - |
| 8. | Cerasus avium | 21 | 70 | - |
| 9. | Crataegus monogyna | 22 | 73.3 | - |
| 10. | Euonymus europaeus | 2 | 6.7 | - |
| 11. | Fagus sylvatica | 9 | 30 | - |
| 12. | Fraxinus excelsior | 22 | 73.3 | 1 |
| 13. | Larix decidua | 2 | 6.7 | - |
| 14. | Padus avium | 24 | 80 | - |
| 15. | Picea abies | 1 | 3.3 | - |
| 16. | Pinus sylvestris | 12 | 40 | 1 |
| 17. | Populus xcanescens | 3 | 10 | - |
| 18. | Populus nigra | 20 | 66.7 | 4 |
| 19. | Populus tremula | 30 | 100 | 11 |
| 20. | Quercus petraea | 3 | 10 | - |
| 21. | Quercus robur | 27 | 90 | 3 |
| 22. | Salix alba | 1 | 3.3 | - |
| 23. | Salix caprea | 29 | 96.7 | 1 |
| 24. | Salix fragilis | 18 | 60 | 1 |
| 25. | Salix purpurea | 2 | 6.7 | - |
| 26. | Sambucus nigra | 16 | 53.3 | - |
| 27. | Sorbus aucuparia | 25 | 83.3 | - |
| 28. | Tilia cordata | 27 | 90 | 1 |
| 29. | Tilia platyphyllos | 8 | 26.7 | - |
| 30. | Ulmus laevis | 7 | 23.3 | - |
| 31. | Ulmus glabra | 6 | 20 | - |
The share of alien species in the structure of the analysed urban forests in Katowice
| No. | Tree species | Tree stand | Undergrowth | ||
|---|---|---|---|---|---|
| number of forests | sum of abundance categories (average) | number of forests | sum of abundance categories (average) | ||
| 1. | Acer ginnala | - | - | 1 | 1 (1) |
| 2. | Acer negundo | 24 | 44 (1.8) | 25 | 55 (2.2) |
| 3. | Acer saccharinum | 2 | 2 (1) | - | - |
| 4. | Aesculus hippocastanum | 14 | 15 (1.1) | 17 | 18 (1) |
| 5. | Caragana arborescens | - | - | 1 | 1 (1) |
| 6. | Fraxinus pennsylvanica | 17 | 31 (1.8) | 18 | 33 (1.8) |
| 7. | Juglans regia | 19 | 22 (1.2) | 26 | 46 (1.8) |
| 8. | Laburnum anagyroides | - | - | 1 | 1 (1) |
| 9. | Malus domestica | 12 | 12 (1) | 1 | 1 (1) |
| 10. | Padus serotina | 26 | 53 (2) | 29 | 80 (2.8) |
| 11. | Populus ‘NE 42’ | 14 | 21 (1.5) | - | - |
| 12. | Populus candicans | 4 | 7 (1.7) | - | - |
| 13. | Populus nigra ‘Italica’ | 4 | 7 (1.7) | 1* | 1 (1) |
| 14. | Populus simonii | 1 | 1 (1) | - | - |
| 15. | Populus × berolinensis | 15 | 24 (1.6) | 2* | 3 (1.5) |
| 16. | Populus × canadensis | 6 | 8 (1.3) | 1* | 1 (1) |
| 17. | Prunus domestica | 15 | 18 (1.2) | 7 | 8 (1.1) |
| 18. | Pyrus communis | 4 | 4 (1) | 1 | 1 (1) |
| 19. | Quercus rubra | 19 | 42 (2.2) | 28 | 58 (2.1) |
| 20. | Robinia pseudoacacia | 29 | 78 (2.7) | 29 | 71 (2.5) |
| 21. | Sorbus intermedia | 3 | 3 (1) | 3 | 3 (1) |
| 22. | Syringa vulgaris | 1 | 1 (1) | 2 | 2 (1) |
Suckers.
Among the native species in the forest stand, the most common were Betula pendula Roth and Populus tremula L. (in all the forests examined), and also Acer platanoides L., Salix caprea L., Quercus robur L. and Tilia cordata Mill. (Fig. 2). Betula pendula and Populus tremula also occurred most often as dominants (in terms of quantity) in the tree stands (Tab. 3). Among the alien species in the stands, the most common were Robinia pseudoacacia L. (29 sites), Padus serotina (Ehrh.) Borkh. (26) and Acer negundo L. (24) (Fig. 3). In terms of abundance, the dominant species were Robinia pseudoacacia (mean abundance index 2.7), Quercus rubra L. (mean abundance index 2.2) and Padus serotina (mean abundance index 2) (Tab. 3). In some forests, alien species were quantitatively dominant in the stand; most often, it was Robinia pseudoacacia (in six forests)

The most common native species in the analysed forests (above 25% of forests)

The most common alien species in the analysed forests (above 25% of forests)
The share of alien species in the stands of individual forests was significant, as they constituted from 15% to 44% of the total number of species (Fig. 4). Among the 20 trees most frequently included in the tree stands, as many as six are species of alien origin (Fig. 5).

Percentage of native and alien tree species in the analysed forests (numbering of objects as in Tab. 1)

The most common tree species in the analysed forests; * – alien species
The local potential of alien woody species can be determined using the abundance index of their occurrence in the understory (Tab. 3). The highest average abundance index values were obtained by Padus serotina (2.8), Robinia pseudoacacia (2.5), Acer negundo (2.2) and Quercus rubra (2.1).
Although some of the alien species were not spontaneous (some were planted), preferences for inhabiting the forest interior or its edges can be noticed. There are three groups of species:
- –
species recorded only in the forest ecotone zone (Acer saccharinum L., Populus simonii Carriére and Syringa vulgaris L.);
- –
species occurring more often in the ecotone zone (Malus domestica Borkh., Populus ‘NE 42’, Populus candicans Aiton, Populus ×berolinensis (K. Koch) Dippel, Populus ×canadensis Moench, Prunus domestica L., Pyrus communis L. and Sorbus intermedia (Ehrh.) Pers.),
- –
species occurring both on the edge and inside the forest (Acer negundo, Aesculus hippocastanum L., Fraxinus pennsylvanica Marshall, Juglans regia L., Padus serotina, Populus ‘Italica’, Quercus rubra and Robinia pseudoacacia).
No alien tree species was observed exclusively inside the forest.
Urban forests, by definition, have a different character compared to large, dense, managed forest complexes. Urban forests (sensu stricto) are small, semi-natural woodlands, formed through natural regeneration on disturbed post-industrial sites or other neglected areas, usually not subject to systematic management measures (Konijnendijk 2003; Keil and Loos 2005; Randrup et al. 2005). This was the nature of the analysed urban forests in Katowice. Generally, these were deciduous forests with a visible share of alien species (only in some places, there was a small admixture of native coniferous species).
Many factors influence the structure of forests, including those in Katowice. On the one hand, these are general climatic and habitat conditions, and on the other, the genesis of the tree stand (planted or spontaneously formed) (McPherson et al. 1997). One of the most important habitat conditions is the type of soil. In urbanised and industrial areas (also in Katowice), anthropogenic soils dominate, shaped under the influence of human activity (Fajer 2008). Urban forests are often created on former urban and post-industrial wastelands (Keil and Loos 2005; Pietrzykowski 2016). Moreover, these are usually areas with an increased level of pollution (especially with heavy metals), which adversely affects the soil’s microorganisms and biological activity (Grabińska 1988; Olszowska 2016). These soils usually also have a more alkaline reaction (Romańczyk et al. 2015). All these factors have an impact on the formation of the local vegetation, including the urban forests.
The origins of urban forests, also in Katowice, may be different. They arise either as a result of intentional human activity and the planting of specific species, or they develop spontaneously as a result of the natural colonisation of wastelands by species of various origins (Keil and Loos 2005). They may also arise as a result of a combination of these processes – reclamation plantings are supplemented by the natural succession of other trees, something which is often observed in Katowice. Natural succession is evidenced by the large share of pioneer species such as Betula pendula, Populus tremula and Salix caprea (Keil and Loos 2005). In turn, old plantings are evidenced by, among others, the presence of old specimens of species used in reclamation (Keil and Loos 2005; Olszewski 2009). In Katowice, these include, for example, Robinia pseudoacacia and various taxa of the Populus genus. In the case of poplars, this applies especially to taxa that do not usually spread spontaneously, such as Populus ×berolinensis, Populus ×canadensis, Populus ‘NE 42’, Populus ‘Italica’ and Populus simonii. Alnus glutinosa (L.) Gaertn. is often used for recultivation (also in analysed stands in Katowice) – its ability to form a symbiotic relationship with nitrogen-fixing bacteria is an important factor stimulating the tree growth and soil development (Pensa et al. 2004; Wójcik and Krzaklewski 2019).
Native species usually prevail in the urban forest stands in Katowice. The most common species are Betula pendula, Populus tremula and Salix caprea (birch and aspen often dominate in terms of quantity). These are the important forest-forming species in disturbed habitats – light seeded, wind seeding, fast growing and usually the first to enter wastelands (Łukaszewicz 2016). They often dominate post-industrial wastelands and urban forests (Pensa et al. 2004; Kowarik et al. 2019). They are also used in the recultivation of post-industrial areas (Rostański 2006).
Particularly noteworthy, nevertheless, is the significant share of species of alien origin in the analysed stands. Among the 20 most frequently recorded trees, as many as six are alien species. Their presence in urban forests is facilitated by the fragmentation of tree stands, disturbances, earlier plantings and propagule pressure (Brothers and Spingarn 1992; Wagner et al. 2017). Therefore, they often constitute a significant element in this type of forests (Zipperer 2002; Kowarik et al. 2019). In the analysed stands, the most common alien species were Robinia pseudoacacia, Padus serotina and Acer negundo. In some forests, anthropophytes dominated – most often, it was Robinia pseudoacacia, and less frequently, Padus serotina and Quercus rubra were found.
It is worth noting that among the recorded alien tree species, there were no coniferous taxa. This is due to the fact, among others, that alien coniferous trees, although relatively often used for planting, are among the relatively few trees that establish and spread spontaneously (Křivánek et al. 2006; Danielewicz et al. 2020; Pliszko and Górecki 2022). Alien species of the Picea and Pinus genera may appear in urban forests as a result of previous plantings, as they are used for the recultivation of post-industrial areas (Mudrák et al. 2010).
The six most common trees of alien origin in the analysed stands are invasive species: Acer negundo, Fraxinus pennsylvanica, Juglans regia, Padus serotina, Quercus rubra and Robinia pseudoacacia (Tokarska-Guzik et al. 2012). These are also the most common alien trees in the European temperate forest (Lapin et al. 2019; Danielewicz et al. 2020; Langmaier and Lapin 2020; Šipek et al. 2022). Their spread was facilitated by their intensive introduction to forest cultivation and use for reclamation of post-industrial areas (Rostański 2006; Gazda 2013). Most of these species (except Juglans regia) are classified as ‘transformers’ – that is, species causing disturbances in the forest structure and habitat conditions (Richardson et al. 2000; Tokarska-Guzik 2005; Danielewicz et al. 2020). This applies especially to Quercus rubra – this species increases the shading of the forest floor, eliminates undergrowth plants, negatively affects the litter and the soil properties (activity of decomposing microorganisms and soil chemical properties) (Riepšas and Straigyte 2008; Woziwoda et al. 2014). The high potential of invasive species in Katowice’s urban forests is evidenced by, among others, creating relatively abundant brushwood areas.
The establishment and spread of alien woody species is facilitated by climate warming (Theoharides and Dukes 2007; Robinson et al. 2020). In urbanised areas, the ‘urban heat island’ phenomenon also plays an important role, causing the growing season to extend (Kowarik 1995; Benedikz et al. 2005). Climate change affects the dynamics of alien species and increases the number of invasive species (Bellard et al. 2013; Robinson et al. 2020). Perfect examples of such changes are Aesculus hippocastanum and Juglans regia, relatively often found in the urban forests in Katowice. Back in the 1990s, these species were classified as cultivated and not established in Poland (Mirek et al. 1995). Currently, they have the status of established trees (Tokarska-Guzik et al. 2012; Mirek et al. 2020), and Juglans regia is even classified as an invasive species (Tokarska-Guzik et al. 2012). Both Aesculus hippocastanum and Juglans regia are listed among the 150 most widespread, established alien species in Europe (Lambdon et al. 2008; Wagner et al. 2017), which is associated with the progressive warming of the climate (Loacker et al. 2007; Paź-Dyderska et al. 2021). They are found both in urban forests (Keil and Loos 2005) and, for example, riparian forests (Koba 2014). Interestingly, the high dynamics of the spread of Juglans regia is also caused by the dispersal of fruits by corvids (mainly jays), whose numbers in Poland have increased significantly in recent decades, especially in the cities (Lenda and Skórka 2009, 2018; Węgrzynowicz 2013; Cempulik and Beuch 2017).
In the urban forests in Katowice, most alien tree species occurred mainly or exclusively on the forest edges (in the ecotone). The ecotone is a zone with specific conditions – it receives more light, more wind and is warmer and drier than the forest interiors (Chen et al. 1999; Davies-Colley et al. 2000; Dovčiak and Brown 2014). Greater wind penetration also favours the influx of diaspores of wind-seeding species. This favours the success of alien species (Bierwagen 2005; Harper et al. 2005). This effect is particularly visible in smaller vegetation patches because fragmentation increases the proportion of the edge zone (Murcia 1995; Theoharides and Dukes 2007).
To better illustrate the character of urban forests in Katowice, it is necessary to mention the presence of other plants of alien origin that occur here. These include, for example, ornamental shrubs, most likely introduced as part of earlier recultivation (most often, Philadelphus coronaries L., Physocarpus opulifolius (L.) Maxim. and Symphoricarpos albus (L.) S.F. Blake). Among the herbaceous plants, the most common were Reynoutria japonica Houtt., Solidago canadensis L. and Impatiens parviflora DC. – species that are particularly able to naturalise in the forest environment and effectively compete with native species (Danielewicz et al. 2020; Langmaier and Lapin 2020; Šipek et al. 2022).
Research has confirmed the significant share of alien species in the tree stand structure of the urban forests in Katowice.
Invasive species are among the most common and abundant alien tree species in urban forests in Katowice (Robinia pseudoacacia, Padus serotina, Acer negundo, Quercus rubra, Juglans regia and Fraxinus pennsylvanica).
Conditions prevailing on the edge of urban forests (in the ecotone zone) – with more light, warmth and dryness than the forest interiors, and greater wind penetration favouring the inflow of diasporas – favour the occurrence of alien tree species.