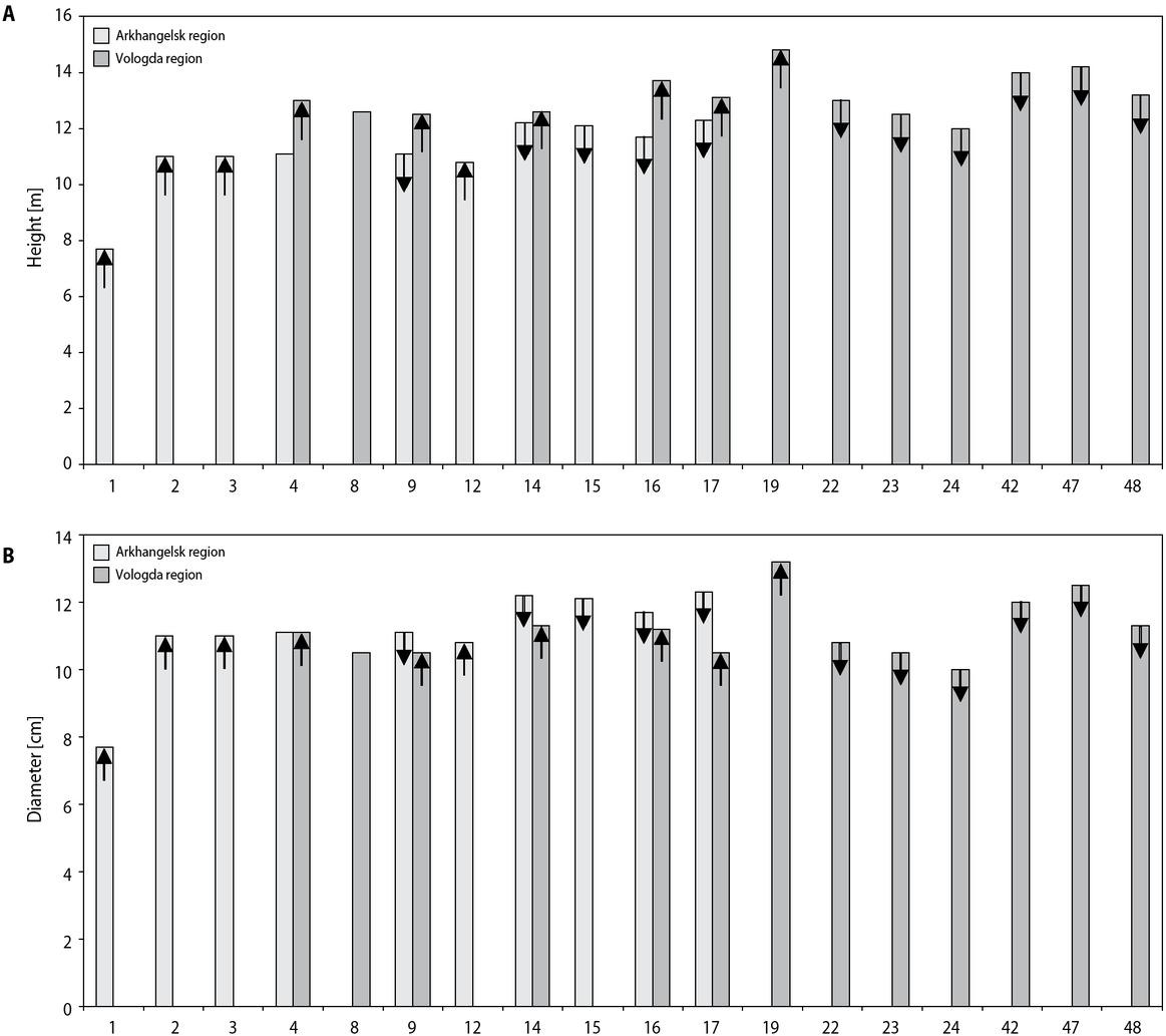
Figure 1

Figure 2

Figure 3

Figure 4

Provenance locations and characteristics in the test plots in Arkhangelsk and Vologda regions
| No1 | Location | Forest vegetation subzone, zone2 | Latitude (N) | Temperature sum above 10°C | Height [m] | Diameter DBH [cm] | with Number female of trees cone3 [%] |
|---|---|---|---|---|---|---|---|
| Arkhangelsk region | |||||||
| 1 | Murmansk, Monchegorskii | NT2) | 67°51’ | 991 | 7.1 | 9.1 | 60.14 |
| 2 | Murmansk, Kandalakshskii | NT | 67°00’ | 966 | 11.0 | 10.9 | 55.3 |
| 3 | Arkhangelsk, Pinezskii | NT | 64°45’ | 1029 | 11.0 | 10.6 | 23.4 |
| 4 | Arkhangelsk, Plesetskii | MT | 62°54’ | 1230 | 11.1 | 12.0 | 16.1 |
| 9 | Vologda, Totemskii | MT | 60°00’ | 1463 | 11.1 | 11.6 | 0.0 |
| 12 | Karelia, Chupinskii | NT | 66°22’ | 1463 | 10.8 | 9.9 | 23.4 |
| 14 | Karelia, Medvezhiegorsky | MT | 62°54’ | 1233 | 12.2 | 12.8 | 16.1 |
| 15 | Karelia, Pryazhinskii | MT | 61°40’ | 1318 | 12. 1 | 12.2 | 0.0 |
| 16 | Karelia, Sortavalskii | MT | 61°50’ | 1530 | 11.7 | 11.2 | 0.0 |
| 17 | Karelia, Pudozhskii | MT | 61°40’ | 1436 | 12.3 | 12.9 | 0.0 |
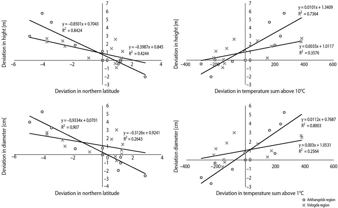
Correlation between the height and diameter of pine provenances and northern latitude and the sum of temperatures above 10°C in the places of growth of the original stands
| Parameters | Arkhangelsk region | Vologda region | ||
|---|---|---|---|---|
| height [m] | diameter [cm] | height [m] | diameter [cm] | |
| Latitude (N) | –0.694* | –0.773*** | –0.031 | –0.013 |
| Temperatures sum above 10°C | 0.578 | 0.632* | 0.238 | 0.168 |
Correlation between deviations of the actual and estimated height and diameter of pine provenances and deviations of northern latitude and the sum of temperatures above 10°C of original stands from test plots
| Parameters | Arkhangelsk region | Vologda region | ||
|---|---|---|---|---|
| height deviation2 [m] | diameter deviation [cm] | height deviation [m] | diameter deviation [cm] | |
| Latitude deviation(1 N) | –0.918*** | –0.952*** | –0.759** | –0.644* |
| Temperature sum above 10°C deviation1 | 0.858*** | 0.895*** | 0.598 | 0.506 |