Breast cancer (BC) is the most common cancer in women, and one in eight women who have reached the age of 85 will be diagnosed with BC in their lifetime[1, 2]. The exact cause of BC remains unknown; both genetic and environmental factors influence disease progression[3]. The progression of BC is most significantly influenced by genetic factors, lifestyle, dietary habits, hormone therapy, and age, although these factors are not responsible for all cases of BC[4]. In addition, more than 50% of women with BC have no recognized risk factors[5]; therefore, other causes of the disease need to be identified. Conventional BC treatments use cytotoxic drugs that have severe side effects. Therefore, researchers are looking for novel therapies that offer low side effects and high efficacy[6]. The human microbiota is critical for both health and disease[7]. Previously, it was assumed that breast tissue is sterile. However, recent studies on the breast tissue microbiome have revealed that the human breast has a diverse and unique microbiota. The breast tissue microbiome comprises microorganisms that pass from the skin to the ducts through contact between the nipple and mouth and the translocation of organisms from the digestive tract[7]. According to recent studies, the microbiome is associated with variable treatment outcomes and is a high-risk cause of BC[4]. Variations in the composition and frequency of the breast microbiome have been observed between patients with BCs and healthy individuals[8]. An increased burden of Enterobacteriaceae, Bacillus, and Staphylococcus has been observed in patients with BC[3]. Therefore, an association between the breast microbiome and BC development may exist, which remains to be investigated[4]. Probiotics are health-promoting inhabitants of the human body. Numerous studies have demonstrated their positive effects on various diseases such as inflammatory bowel disease, ulcerative colitis, allergies, and cancer[6, 9]. Cell-based experiments and animal models have shown that probiotics are effective against BC. They can be helpful in the prevention and treatment of BC as they can control the function of the immune system and intestinal flora. (1) Bifidobacteria and Lactobacilli strains are commonly used as probiotics (2). Probiotics exert their regulatory effects through several mechanisms, including reducing the harmful effects of carcinogens, limiting the growth of harmful bacteria, improving the integrity and homeostasis of the epithelial barrier, stimulating the immune system, and producing physiologically active metabolites that lead to differentiation and apoptosis in vitro[6]. We investigated the potential anticancer effects of Lactobacillus acidophilus and Lactobacillus plantarum on the survival and proliferation of the breast tumor cell line (MCF-7) compared to the normal human breast cell line (MCF-10A).
Standard strains of L. acidophilus (LAFTI-L10-DSL) and L. plantarum (299VDSM (9843) were kindly provided by the Antimicrobial Resistance Research Center of Iran University of Medical Sciences. A single colony of each bacterial strain was selected from de Man, Rogosa, and Sharpe (MRS) agar medium (Merck, Darmstadt, Germany) and grown overnight in 50 ml of MRS broth medium. The bacterial culture was sterilized by centrifugation at 3000 rpm for 5 min, followed by sterilization with a 0.22-μm syringe filter and a cell-free supernatant was obtained. In this study, supernatant refers to the cell-free culture medium derived from bacterial cell cultures. High-glucose Dulbecco’s Modified Eagle’s Medium (DMEM) (Gibco, New York, USA), including 10% fetal bovine serum (FBS) (Gibco, USA), was used to prepare different concentrations of supernatant (5%, 10%, and 20%) for the treatments. DMEM containing MRS was used as the negative control. An ultrasonic bath was used to lyse the bacterial pellet after suspending it in 2 ml of phosphate-buffered saline (PBS). After the sterilization step, the mixture was filtered using a 0.22-μm syringe filter to obtain a cell pellet.
The Immunology Department of Iran University of Medical Sciences provided the MCF-7 cell line, and the Roshd Azma Research Company cell bank provided the MCF-10A cell line. DMEM/F12 containing 5% horse serum, 20 ng/ml epidermal growth factor, 0.5 mg/ml hydrocortisone, 100 ng/ml chloratroxin, 10 μg/ml insulin, and 1% antibiotics was used to culture the MCF-10A cells, while the MCF-7 cells were grown in high-glucose DMEM containing 10% FBS and 1% antibiotics (100 units of penicillin and 100 g of streptomycin/ml). All cultures were incubated at a constant temperature of 37°C with 5% CO2.
3-(4,5-dimethylthiazol-2-yl)-2,5-diphenyltetrazolium bromide (MTT) Cell Proliferation Assay
MTT assay was used to investigate the effects of individual probiotics and their combination on the growth of MCF-7 and MCF-10A cells. A total of 2 × 104 cells were cultured in 96-well plates and incubated at 37°C with 5% CO2 for 24 h. In experiments with cells, after removing the cell culture medium and washing the cell monolayers with PBS, 5%, 10%, and 20% concentrated bacterial supernatant and pellets with 1%, 5%, and 10% concentration of each probiotic and their combination (in a 1:1 ratio) were administered at different time points (24, 48, and 72 h). The medium was aspirated, and 10 μl of MTT solution (0.5 mg/ml) was added to each well and incubated at 37°C with 5% CO2 for 24 h.
We measured the optical density (OD) at 570 nm using an enzyme-linked immunosorbent assay plate reader (Biohit BP800, Helsinki, Finland) after adding 100 μl of dimethyl sulfoxide to each well. To calculate the percentage viability of the cells, we treated the untreated control as 100% viable: cell viability (%) = (OD of test570 nm/OD of control570 nm)× 100. In addition, the half-maximal inhibitory concentration (IC50), which indicates the concentration of the probiotic that results in death or inhibition of half of the cells, was calculated for each probiotic and its combination.
Results of the MTT assay were validated with a trypan blue dye exclusion test. Briefly, 2 × 105 cells were cultured in 24-well plates and incubated at 37°C with 5% CO2 for 24 h. After treatment with the same concentrations of bacterial supernatant and pellet used in the MTT assay, the wells were rinsed with PBS and 250 μl of 0.25% trypsin-ethylenediaminetetraacetic acid EDTA was added to each well for cell separation. For neutralization of trypsin-EDTA, 500 μl of complete cell culture medium was added to collect the cell suspensions from each well in a 2-ml microtube and centrifugation was performed at 1200 rpm for 5 min. Cell suspension and trypan blue dye (1:1 ratio) were used for cell counting with a hemocytometer. The percentage of cell viability was calculated using the following equation: cell viability (%) = (number of viable cells counted in each well/total number of cells counted per well)× 100.
Using the fluorescein isothiocyanate FITC Annexin-V apoptosis detection kit (Biolegend, San Diego, California, USA), we examined the effects of probiotics on apoptosis in MCF-7 and MCF-10A cells. Briefly, 4 × 104 MCF-7 or MCF-10A cells were cultured in six-well plates and incubated at 37°C with 5% CO2 for 24 h. After removing the medium, the wells were treated with the IC50 constants determined by MTT as follows: 16% L. acidophilus supernatant, 5% L. plantarum supernatant, and 10% combined probiotic supernatant (1:1 ratio). After 24 h of treatment, 500 μl of 0.25% Trypsin-EDTA was added to each well to facilitate cell separation. After centrifugation and removal of the medium, 500 μl of binding buffer was added to the cells and then centrifuged at 15,000 rpm for 15 min. Five microliters of FITC fluorescein isothiocyanate conjugated to Annexin-V was added and incubated in the dark for 15 min. After the addition of 5 μl propidium iodide, the extent of apoptosis was measured using a FACSCalibur flow cytometer (Becton Dickinson) with CellQuest software.
After probiotic therapy, BCL2 gene expression was analyzed in MCF-7 and MCF-10A cells using real-time polymerase chain reaction (PCR) method. The cells were treated similar to the apoptosis assay. In summary, 500 μl of TRIzol reagent (Sinaclon, Tehran, Iran) was used for RNA extraction after aspirating the cell culture medium after 24 h of treatment. Two hundred microliters of chloroform was added to the collected well contents in 2-ml microtubes. The tubes were shaken and placed in an ice bath for 5 min. After collecting the supernatant, cold isopropanol was added and incubated on ice for 15 min. The supernatant was removed by centrifugation. After adding 1 ml of cold 75% ethanol, the mixture was centrifuged at 8500 rpm for 8 min. The pellet was then dried at room temperature. Finally, after adding 40 μl of diethyl pyrocarbonate (DEPC)-treated water, the samples were incubated for 10 min at 55°C[10, 11]. Nanodrop ultraviolet–visible (UV–Vis) spectroscopy (Thermo Fisher, Waltham, Massachusetts, USA) was used to measure the amount of RNA. Complementary DNA (cDNA) was synthesized according to the manufacturer’s instructions given in the cDNA synthesis kit (Parstous, Mashhad, Iran). For the precise quantification and analysis of BCL2 gene expression levels, a Rotor-gene Q Heat Cycler (Qiagen, Hilden, Germany) was used as described in the comprehensive data in Table 1. The mixture consisted of 10 μl of SYBR Green PCR Master Mix (Amplicon, Odense, Denmark), 1 μl of forward and reverse primers, 1 μl of cDNA, and 8 μl of DEPC water (CinnaGen, Tehran, Iran). The housekeeping gene GAPDH was utilized as a control to determine the relative gene expression levels using 2−ΔΔCt statistical analysis.
Thermal conditions for cDNA synthesis.
| Temperature | Time | Number of cycles | 
|---|---|---|
| 95°C | 4 min | 1 | 
| 94°C | 30 s | 35 | 
| 57°C | 30 s | |
| 72°C | 30 s | |
| 72°C | 5 min | 1 | 
GraphPad Prism (version 8.01) was used for data analysis, and nonparametric tests were used to compare the experimental and control groups. A statistically significant result was defined as a p-value of less than 0.05.
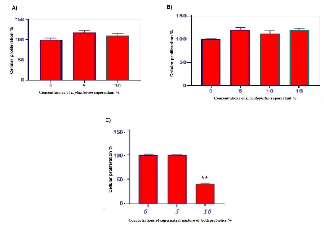
The dose-dependent antiproliferative effects of probiotic strains on the MCF-7 cell line after three different time points (24, 48, and 72 h) are shown in Figure 1. According to these results, the cytotoxic effects and 100% death of MCF-7 cells occurred at concentrations of 20%, 10%, and 5% of the supernatant of L. acidophilus, L. plantarum, and both probiotics, respectively. Comparisons between different periods showed that 24-h treatment had the greatest effect on MCF-7 cell proliferation (Figure 2). Therefore, 24-h treatment of cell lines was used to calculate the IC50, which was 16%, 5%, and 10%, for the supernatants of L. acidophilus and L. plantarum and the combination of the two probiotics, respectively (Figure 3). These results indicate that L. plantarum alone had a better effect. Twenty-four-hour treatment was also used for the next experiment, the cell viability test (Table 2). However, when the cytotoxic potential of probiotics was evaluated in the MCF-10A cell line, no effects on cell proliferation were observed after 24 h of treatment with 20%, 16%, 10%, and 5% supernatant concentrations of each probiotic. In contrast, treatment with 10% supernatant of both probiotics significantly reduced cell proliferation (Figure 4).

Cytotoxic potential of A) L actobacillus acidophilus, B) L actobacillus plantarum, and C) a combination of them on the MCF-7 cell line at various time points. *p < 0.05, **p < 0.01

Comparison of the cytotoxic potential of A) Lactobacillus acidophilus and B) Lactobacillus plantarum at various time points. **Differences at p-value <0.05 were considered significant.

IC50 values for the supernatants of A) Lactobacillus acidophilus, B) Lactobacillus plantarum, and C) a combination of the two probiotics.

Cytotoxic potential of A) Lactobacillus acidophilus, B) Lactobacillus plantarum, and C) a combination of them on the MCF-10 A cell line after 24 h. Cytotoxicity evaluation of pellets of each probiotic and their combination showed the antiproliferative effects on both MCF-7 and MCF-10 A cells after 24, 48, and 72 h (data not shown). Therefore, no further investigations were conducted on the probiotic pellets.
Results of the cell viability test after treatment of MCF-7 cells with probiotics for 24 h
| Treatments | Cell viability percentage | Cell death percentage | 
|---|---|---|
| Lactobacillus acidophilus supernatant 20% | 0 | 100 | 
| Lactobacillus plantarum supernatant 10% | 0 | 100 | 
| A mixture of both probiotic supernatants (20%) | 15.7 | 84.3 | 
| MRS 20% | 89 | 11 | 
The findings indicated that only the supernatant obtained from L. plantarum induced the highest apoptosis in MCF-7 cells, whereas its effect on MCF-10A cells was lower (Figure 5). Conversely, L. acidophilus induced stronger apoptosis in MCF-10A cells than in MCF-7 cell line. Furthermore, combination of the two supernatants of probiotics exhibited a stronger effect on MCF-10A cells than on the other cell types.

Effects of Lactobacillus acidophilus, Lactobacillus plantarum, and their combination (MIX) on apoptosis of MCF-7 and MCF-10 A cell lines after 24 h. **Differences at p-value <0.05 were considered significant.
A significant decrease in the expression level of BCL2 was observed in MCF-7 cells treated with L. plantarum supernatant, as shown in Figure 6. Conversely, no significant differences were observed in BCL2 gene expression between MCF-10A cells and the corresponding control cells.

Effects of MRS culture medium, Lactobacillus acidophilus, Lactobacillus plantarum, and their combination on BCL2 expression in MCF-7 and MCF-10 A cell lines after 24 h. *Differences at p-value <0.05 were considered significant. MRS: de Man, Rogosa, and Sharpe medium.
In this study, the cellular cytotoxic effects of the probiotics L. acidophilus and L. plantarum on MCF-7 cells were investigated and compared to those on the MCF-10A cell line. Findings of the MTT assay showed that the supernatants of these probiotics had a pronounced inhibitory effect on MCF-7 cells after a 24-h incubation period. In contrast, no effect was observed on the MCF-10A cell line. In addition, the cytotoxic effects of the supernatant of L. plantarum were stronger than those of L. acidophilus alone or a combination with both probiotics. No synergistic effects were observed when the two probiotics were combined in the present study. In a related study, Bharti et al. provided convincing evidence that heat-inactivated cellular forms of L. plantarum and L. acidophilus were remarkably efficient in suppressing the growth and proliferation of MCF-7 BC cells[12]. Furthermore, previous studies have reported that conjugated linoleic acids are the most abundant fatty acids in the composition of probiotic bacteria, and that they inhibit the proliferation of cancer cells without additional side effects[13, 14]. Similar findings were noted when evaluating the antiproliferative impact of probiotics, including Lactobacillus, on colorectal tumor cell activity[15]. To investigate the potential of probiotic bacteria to induce apoptosis in BC cells, a comparison was made in this experiment, and the gene associated with BCL2 apoptosis and the percentage of apoptosis were evaluated. The supernatant obtained from L. plantarum enhanced apoptosis and significantly decreased BCL2 gene expression in MCF-7 cells. In contrast, no detectable effects were observed in MCF-10A cells. Our results are consistent with those of previous studies demonstrating that the probiotics Lactobacillus rhamnosus and Bifidobacterium latis induce apoptosis in human colon cancer cell lines[16]. In another study, the cell-bound exopolysaccharide of L. acidophilus induced apoptosis in tumor cells via the autophagy pathway. This leads to a direct increase in the induction of apoptotic proteins such as Bak, Bcl-2, and Beclin-1[17]. Taken together, the probiotic L. plantarum alone showed the greatest proapoptotic effect in this experiment. Fooladi et al. investigated the impact of Th1 cytokine-mediated immune responses in the splenocytes of BALB/c mice with tumors associated with BC following oral administration of L. acidophilus. Interferon-gamma levels were significantly increased in the supernatants of splenocytes. The antitumor properties of L. acidophilus may affect the immune responses following consumption[18]. In another study, the probiotic Lactobacillus reuteri increased the susceptibility of breast cells to apoptosis and prevented the early development of breast carcinogenesis. The study also found that probiotics activated CD4+ and CD25+ lymphocytes and prevented the transcription of c-jun and nucleolus translocation of NF-kB-p65 in breast cells upon oral ingestion. Human tumors with high malignancy are associated with high expression of Nuclear Factor kappa B (NF-kB) and c-Jun[19]. These findings suggest that probiotic bacteria impact the immune response via two mechanisms: the interaction between antigen-presenting cells with peptidoglycan and linoleic acids, and the metabolites of probiotics contained in fermented foods[18, 20].
These specific probiotic strains have significant potential for BC treatment. This is evidenced by their ability to effectively inhibit tumor cell proliferation in extensive in vitro studies conducted in controlled laboratory environments. Further rigorous and systematic research is needed to elucidate the biological pathways involved and gain a comprehensive understanding of the complex mechanisms underlying the therapeutic, preventive, and suppressive effects of these probiotic strains on BC.