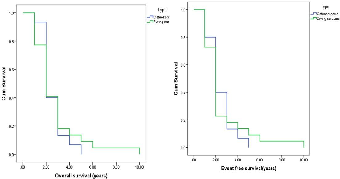
Figure 1

Clinico-demographic Characteristics of the studied patients
| Demographic data | Total No (%) | Osteosarcoma No (%) | Sarcoma Ewing No (%) | X2 | P-value |
|---|---|---|---|---|---|
| Sex: Female: Male | 20 (54.1%):17(45.9%) | 5 (33.3%):10(66.7%) | 15 ((68.231.8%): %) 7 | 4.361 | 0.037 |
| Age (Yrs):Median (IQR)[Range] | 11 (5 – 14) [2 – 18] | 13 (12 - 15)[3 – 18] | 5 (4 - 11 )[2 - 16] | -2.785* | 0.005 |
| Presenting symptom | Total No (%) | Osteosarcoma No (%) | Sarcoma Ewing No (%) | X2 | P-value |
| Bone pain | 15 45.4% | 10 66.67% | 5 27.78% | 4.991 | 0.025 |
| Swelling | 16 48.5% | 11 73.33% | 5 27.78% | 6.798 | 0.009 |
| History of trauma | 4 12.1% | 3 20.00% | 1 5.56% | 1.603 | 0.205 |
| Systemic manifestation | 5 15.2% | 1 6.67% | 4 22.22% | 1.540 | 0.215 |
| Fever | 5 15.2% | 1 6.67% | 4 22.22% | 1.540 | 0.215 |
| Loss of weight | 2 6.1% | 0 0.00% | 2 11.11% | 1.774 | 0.183 |
| Loss of appetite | 1 3.0% | 0 0.00% | 1 5.56% | 0.859 | 0.354 |
| Neurological manifestation | 7 21.3% | 2 13.33% | 5 27.78% | 1.021 | 0.312 |
| Sphincter Dysfunction | 4 12.1% | 1 6.67% | 3 16.67 | 0.768 | 0.381 |
| Inability to walk | 5 15.2% | 1 6.67% | 4 22.22% | 1.540 | 0.215 |
| Headache | 1 3.0% | 0 0.00% | 1 5.56% | 0.859 | 0.354 |
| Bone fracture | 3 9.1% | 3 20.00% | 0 0.00% | 3.960 | 0.047 |
| Eye proptosis | 1 3.0% | 0 0.00% | 1 5.56% | 0.859 | 0.354 |
| Site of tumour | Total No (%) | Osteosarcoma No (%) | Ewing Sarcoma No (%) | X2 | P-value |
| Femur | 16 45.71% | 9 59.90% | 7 35% | 2.159 | 0.141 |
| Chest wall | 5 14.28% | 1 6.60% | 4 20% | 1.244 | 0.265 |
| Tibia | 3 8.57% | 3 20% | 0 0% | 4.375 | 0.036 |
| Dorsa vertebrae | 2 5.71% | 1 6.60% | 1 5% | 0.044 | 0.834 |
| Lumbo-sacral area | 2 5.71% | 0 0% | 2 10% | 1.591 | 0.207 |
| Mandible | 2 5.71% | 1 6.60% | 1 5% | 0.044 | 0.834 |
| Brain | 1 2.85% | 0 0% | 1 5% | 0.772 | 0.379 |
| Clavicle | 1 2.85% | 0 0% | 1 5% | 0.772 | 0.379 |
| Humerus | 1 2.85% | 0 0% | 1 5% | 0.772 | 0.379 |
| Maxillary bone | 1 2.85% | 0 0% | 1 5% | 0.772 | 0.379 |
| Paraspinal | 1 2.85% | 0 0% | 1 5% | 0.772 | 0.379 |
Comparison between MSTS and some studied variables
| Variables | MSTS system | Independent t-test | |||
|---|---|---|---|---|---|
| Mean ± SD | Range | t | p-value | ||
| Female | 73 ± 11 | 50 – 87 | |||
| Sex | 0.533 | 0.603 | |||
| Male | 76 ± 10 | 65 – 87 | |||
| Ewing sarcoma | 75 ± 7 | 62 – 82 | |||
| Type | 0.53 | 0.601 | |||
| Osteosarcoma | 73 ± 13 | 50 – 87 | |||
| II | 76.29 ± 8.18 | 62 – 87 | |||
| Staging | 3.106 | 0.008 | |||
| III | 50.0 ± 0.0 | 50 – 50 | |||
| Limb salvage | 76.29 ± 8.18 | 62 – 87 | |||
| Type of surgery | operation | 4.435 | <0.001 | ||
| Amputation | 57.5 ± 10.61 | 50 – 65 | |||