Have a personal or library account? Click to login
Comparison of RT-qPCR results of different gene targets for SARS-CoV-2 in asymptomatic individuals during COVID-19 pandemic Cover

Comparison of RT-qPCR results of different gene targets for SARS-CoV-2 in asymptomatic individuals during COVID-19 pandemic

Open Access
|Jul 2021

Full Article

Introduction

A novel coronavirus strain was identified as the causative agent of clustered pneumonia cases reported to the World Health Organization (WHO) regional office in Wuhan Province, Chinain December 2019. This novel virus was subsequently named as severe acute respiratory syndrome coronavirus 2 (SARS-CoV-2) by the International Committee of the Coronavirus Study Group (CSG) as it exhibited high genome similarity to SARS-CoV and the disease is referred as coronavirus disease 2019 or COVID-19 by WHO (1). Upon the spread of cases around the world, on March 1th, 2020, WHO declared the situation as a pandemic (2). SARS-CoV-2 is known to induce lung tissue damage leading to respiratory failure that may potentially result in death. Individuals; who are over 65 years of age, who has underlying chronic diseases and who smoke; are defined as the high-risk group as they are more severely affected. Patients often experience symptoms of dry cough, tachypnea, shortness of breath and high fever. However, some patients may also struggle with rare symptoms including headache, abdominal pain, diarrhea and confusion (3, 4).Some infected individuals, on the other hand, are known to remain asymptomatic (5, 6, 7).

The transmission of SARS-CoV-2 is directly from human to human via the inhalation of infected respiratory droplets or indirectly through contact with contaminated surfaces (8). Compared with previously identified coronaviruses known to infect humans, such as SARS-CoV and MERS-CoV, SARS-CoV-2 has a higher transmission rate (9). Despite major global efforts, there is currently no approved vaccine or effective treatment in use. Therefore, the early detection and isolation of infected individuals, particularly asymptomatic carriers, and the application of preventive methods including hand hygiene and social distancing present the best prevention strategies for the control of the pandemic.

In addition to vaccination and antiviral therapy, research studies are still on-going for SARS-CoV-2 detection in clinical samples for the development of a gold standard for diagnostics. Currently, reverse transcriptase-quantitative polymerase chain reaction (RT-qPCR), and immunoglobulin M (IgM)/IgG enzyme-linked immunosorbent assay (ELISA) tests are being widely used in diagnostic laboratories (10, 1). Despite false positive and false negative results which may occur due to sampling failure, maloperation of swabs, contamination or technical errors; numerous centers use RT-qPCR to detect viral RNA in nasopharyngeal or oropharyngeal swab specimens (12). The presence of a number of viral genes is used as targets for detection. These gene targets represent the highly conserved sequence among viral genomes and include one or more of spike (S), envelope (E), RNA-linked RNA polymerase (RdRp) and nucleocapsid (N) genes (13, 14).

In Northern Cyprus, the first case of COVID-19 was detected on March, 9th 2020 who was a German tourist (15). The immediate strict isolation rules were implemented by the government including closure of schools and travel restrictions into the country that helped control of the outbreak locally. A total of 108 cases were detected in 112 days and four COVID-19 related deaths occurred. There maining infected individuals were hospitalized, treated and discharged. Post discharge of the last patient, no COVID-19 cases were detected within the population for over 70 days where the strict isolation rules were applied. However, due to economic circumstances, continued isolation and travel restrictions were removed, after which borders and businesses gradually re-opened starting from July, 1st 2020. With the opening of all borders, a double RT-qPCR screening procedure for all incoming passengers has been applied. This procedure involves a negative RT-qPCR test result within 72-120 hours before travel and a second RT-qP-CR test immediately upon arrival. Viral RNA is detectable in most individuals 4-6 days post exposure to the virus in both symptomatic and asymptomatic patients, and a week before the onset of symptoms in symptomatic individuals (16).With the double screening strategy, individuals who were already infected but were not detected in the first test are aimed to be identified and isolated from the population. This is particularly important for the detection of asymptomatic cases before local transmission can occur. Hence, the sensitivity of the diagnostic tests is a crucial factor for the prevention of a local outbreak. The WHO recommends the use of at least two different viral genes as targets for detection in RT-qPCR analysis (17). However, there is still no gold standard for RT-qPCR in detection of SARS-CoV-2 and understanding of the diagnostic power and standards of the available kits are of critical importance.

In this context, we aimed to investigate the compatibility of two different multiplex RT-qPCR methodologies used in the simultaneous detection of two regions of the SARS-CoV-2 genome (N1 and N2 nucleocapsid genes) (Diagnovital®) and the RdRp gene only (Bio-Speedy®) by reanalyzing the asymptomatic SARS-CoV-2 positive samples that were detected by either of the kits.

Materials and Methods

Between 1st of July and 9th of September 2020, a total of 31521 SARS-CoV-2 RT-qPCR tests were carried out in Near East University DESAM Institute COVID-19 Laboratory for passengers entering the country via sea and air route. From 1st of July to 12th of July, Bio-Speedy® (Bioeksen R&D Technologies Inc. COVID-19 RT-qPCR Detection Kit v2.0, Istanbul-Turkey) developed by the Ministry of Health General Directorate of Public Health Microbiology Reference Laboratories and Biological Products Department Virology Laboratory was used for the detection of SARS-CoV-2. This kit targets the SARS-CoV-2-specific RdRp gene sequence. A total of 4400 tests were performed with Bio-Speedy and only one positive case (0.02%) was reported. From 13th of July until 9thof August, Diagnovital® (RTA Laboratories Inc, SARS-CoV-2 Real-Time PCR Kit v2.0 Istanbul-Turkey), which is a commercial kit and is used in Europe and Middle East-North Africa zones during the pandemic was used for passenger screening. Diagnovital® is designed to detect SARS-CoV-2-specific N1 and N2 nucleocapsid genes. A total of 27121 tests were performed with Diagnovital® and 43 (0.15%) positive cases were reported. All samples were obtained from incoming asymptomatic passengers arriving at the local airport and had negative RT-qPCR test results from 72-120 hours prior to their journey.

To compare the sensitivities of these two commercially available PCR kits, the positive samples, which were detected either with one of the kits, were analyzed again using both kits simultaneously with the same RT-qPCR device (Insta Q96TM Plus Real-time PCR Detection System, HiMedia Laboratories Pvt. Ltd.). The RT-qPCR were followed as the manufacturer’s instructions. For both kits, a total of 15μl mastermix and primer probe mix and 5μl sample was used. Therefore, the concentration of viral RNA included for the two kits were equal.

For both kits, an internal control (RNAseP gene) amplification was monitored in the RT-qPCR to assess the quality of sample collection and RT-qPCR analysis. A no template (negative) control and positive controls, both provided with the kits, were included in each RT-qPCR runs. Samples that had a cycle threshold (Ct) value of less than 40 were considered positive with both kits.

Nasopharyngeal specimens were collected from individuals using synthetic fiber swabs with plastic shafts and were placed in three ml lysis buffer solution provided by the kit manufacturers. The samples were consequently vortexed for 20 seconds for lysis and the lysates were stored at -200C after first analysis. RT-qPCR were performed directly from the lysate samples.

Results

Among the samples tested, one sample was detected to be positive between July 1st and 12th, 2020 using the Bio-Speedy® RT-qPCR kit, whereas 42 samples were detected to be positive between July 13th and September 9th, 2020 using Diagnovital® RT-qPCR kit. These 43 samples were re-analyzed by both Diagnovital® and Bio-Speedy® RT-qPCR kits simultaneously. Among the tested samples, only 10/43 (23.25%) exhibited a Ct value lower than 40 by the Bio-Speedy® RT-qPCR kit. On the other hand, all of the 43 (100%) samples were detected as positive by the Diagnovital® kit analysis. No fluorescence signal in no template control and Ct values between 28-29 for positive controls were detected, which confirmed lack of contamination in the reaction and absence of inhibition of target amplification. Ct values of samples detected by both kits are shown in Table 1. In addition to the fact that we were not able to detect most of the positive samples by Bio-Speedy® RT-qPCR kit, the two kits produced different Ct values for the same samples. Limit of detection (LoD) values of analytical sensitivity is given in 95% confidence for both Diagnovital® RT and Bio-Speedy® RT-qPCR kits.

Table 1

The comparison of two different targeted COVID-19 RT-qPCR kits in positive specimens.

Sample NoRT-qPCR Cycle Thhreshold Value (Ct)
Diagnovital® N1+N2Bio-Speedy® RdRp
132.98Negative
232Negative
330.22Negative
438.96Negative
520.3335.33
630.60Negative
733.3633.71
836.36Negative
934.01Negative
1027.9333.89
122.0227.17
1237.93Negative
1330.71Negative
1429.8834.19
1528.4130.20
1638.41Negative
1729.34Negative
1831.44Negative
1936.24Negative
2035.81Negative
2136.80Negative
221.5528.19
2329.95Negative
2436.68Negative
2537.64Negative
2633.39Negative
2728.73Negative
2840.00Negative
2937.07Negative
3032.42Negative
3137.03Negative
3232.21Negative
333.10Negative
3425.5434.73
3522.2531.15
3628.29Negative
3733.05Negative
3839.94Negative
3932.75Negative
4026.2135.21
4134.45Negative
4228.18Negative
4337.27Negative
PC 128.6027.57
PC 228.2826.20
Total4310

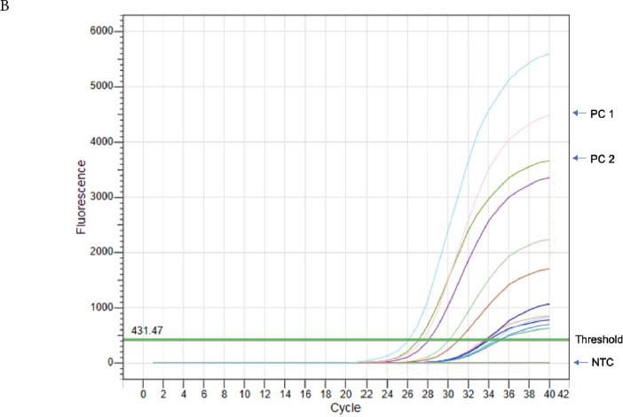
Amplification curves of the positive samples and positive controls obtained by both kits are shown in Figure 1. Fluorescence intensities of samples that generated signals over the threshold level were between 6000-500 units in Bio-Speedy® RT-qPCR kit. These values were detected between 3000-400 units using the Diagnovital® RT-qPCR kit. Ct values and detection rates obtained for all samples by both kits in the assays are shown in Figure 2.

Figure 1A

Diagnovital SARS-CoV-2 RT-qPCR amplification results in Insta Q96TM Plus Real-time PCR Detection System (PC: positive control, NTC: no template control).

Figure 1B

Bio-Speedy SARS-CoV-2 RT-qPCR amplification results in Insta Q96TM Plus Real-time PCR Detection System (PC: positive control, NTC: no template control)

Figure 2

Comparison of detection rate and Ct values of Diagnovital® kit detecting N1 and N2 genes and Bio-Speedy® kit detecting RdRp gene. Graph depicts Ct values obtained for all samples (n=43) in all RT-PCR assays. The lines show the mean Ct value for each assay, triangles show the Ct values of the samples with the highest (sample 28) and lowest (sample 22) value. The detection rate for each kit is indicated below the data points, e.g. 10/43 means 10 out of 43 samples tested positive according to the instructions for data interpretation provided by the manufacturer

Discussion

Since the beginning of the COVID-19 pandemic, RT-qPCR kits are being manufactured and developed by several laboratories and institutions for fast and accurate detection of infected individuals. In Northern Cyprus, diagnostic kits produced in both Europe and Turkey are being widely used since the first case was reported in March 2020. In addition to accurate diagnosis of symptomatic patients that were admitted to the hospital during the pandemic, detection and isolation of potentially infected and asymptomatic individuals has been a major effort to prevent local spread.

Near East University DESAM Institute Laboratories are one of the centers accredited by the government to perform RT-qP-CR tests to passengers arriving at the Northern Cyprus from abroad. After complete isolation of the country for over a three-month period, borders were re-opened with the implementation of a double PCR screening strategy, which as previously described involved having a negative SARS-CoV-2 RT-qPCR test result performed between 72-120 hours prior travel and a second test upon arrival. With this strategy, individuals who were newly infected at the time of the first test can be detected and isolated immediately. In addition to being newly infected, other possibilities of a negative test result cannot be overlooked. These include the use of detection kits with very low sensitivity/specificity or improper sample collection that can produce false-negative test results. Failure to detect asymptomatic carriers at initial diagnosis may result in the failure of isolation of these individuals from the population, which can quickly lead to the transmission of SARS-CoV-2 through local population.

In this context, analytical sensitivity of the assays being used is crucial. We re-analyzed 43 positive samples with two different SARS-CoV-2 RT-qPCR kits manufactured in Turkey, namely Bio-Speedy® and Diagnovital® kits aiming to understand the correlation with each other. The main difference among these kits is that Bio-Speedy® detects only one viral gene (RdRp) as a target, whereas Diagnovital® targets two different SARS-CoV-2 specific genes (N1 and N2).

Due to high mutation rate of the SARS-CoV-2 genome, sequence mismatches between the target sequence and primer probe sequences lead to significant increases in Ct values and eventually may cause false negative results (18, 19). Therefore, kits that use only one viral gene for detection may have decreased sensitivity compared to kits targeting more than one viral gene. Accordingly, our results show that only 23.25% of positive samples detected by Diagnovital®RT-qPCR kit could be detected by the Bio-Speedy® detection kit (Table 1). In this context, use of an additional target gene rather than RdRp alone for viral detection is recommended for more accurate diagnosis.

When the Ct values of 10 samples that were detected as positive in both analyses were compared, a significant difference in nine of them is observed (Table 1). In viral qPCR analyses, lower Ct values indicate higher viral load. Ct values detected by Bio-Speedy®RT-qPCR kit were generally higher than Diagnovital® RT-qPCR kit. Despite the fact that RT-qPCR testing was performed with whole lysate samples rather than purified viral RNA to generate quicker results, the background fluorescence was removed during analysis and concordant results within each kitwere generated. However, PCR testing from lysates may not give an accurate quantitative data of the viral load in the patient sample unless RNA purification is performed.

Adoption of Diagnovital® RT-qPCR kit in our laboratories allowed us to detect SARS-CoV-2 with higher sensitivity, contributing to the effort to prevent the spread of virus within the country. Our data contributes to and is accordance with the literature which suggests the use of more than one viral gene target in qPCR analysis to increase the analytical sensitivity of the assay.

After encountering this problem, Bio-Speedy® manufacturers revised their kit for detection of two region of SARS-CoV-2, the nucleocapsid (N) gene along with the ORF1ab gene, in the newer versions.

Our work also highlights the importance of continuous effort in research of diagnostic tools to improve the analytical sensitivity as previous reports have also indicated similar differences in sensitivity results among various kits and assays (20).

Overall, our findings indicate that use of N gene as the target to detect SARS-CoV-2 was more successful than RdRp gene target in asymptomatic cases. Detection of asymptomatic SARS-CoV-2 positive individuals is of high importance in the fight against the COVID- 19 pandemic.

** Near East University, DESAM Institute COVID-19 PCR Laboratory

Tamer Sanlidag, Murat Sayan, H. Kaya Suer, Mahmut Cerkez Ergoren, Pinar Tulay, Buket Baddal, Ayse Arikan, Huban Gocmen, Emrah Guler, Cenk Serhan Ozverel, Hakan Evren, Emine Unal Evren, Halit Sukur, Doruk Kaynarca, Gulten Tuncel, Aysegul Bostancı, Nazife Sultanoglu, Havva Cobanogullari, Meryem Betmezoglu, Huseyin Sah, Erdal Sanlidag, Hazel Tamakan, Fatos Kaya, Necat Akmal, Toner Korkmazhan, Damla Akovalı, Nadire Kiyak, Nihan Karahan, Meryem Ebedi, Tugdem Karamustafa, Goksu Oduncuoglu, Ayla Turgay, Vedia Akdag, Makbule Naz Oktay.

Language: English
Page range: 26 - 31
Published on: Jul 24, 2021
Published by: European Biotechnology Thematic Network Association
In partnership with: Paradigm Publishing Services
Publication frequency: 4 issues per year

© 2021 Gulten Tuncel, Mahmut Cerkez Ergoren, Buket Baddal, Pinar Tulay, Ayse Arikan, Emrah Guler, Cenk Serhan Ozverel, H. Kaya Suer, Murat Sayan, Tamer Sanlidag, , published by European Biotechnology Thematic Network Association
This work is licensed under the Creative Commons Attribution-NonCommercial-NoDerivatives 4.0 License.