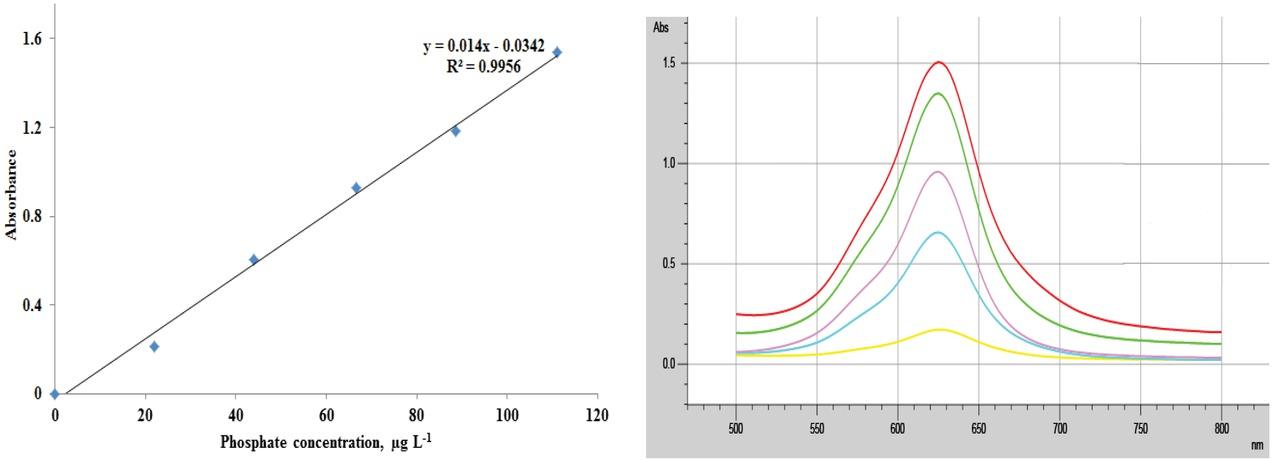
Figure 1

Figure 2

Figure 3

Figure 4

Figure 5

Figure 6

Comparison of the RA-SUPRAs-LPME method with other phosphate determination methods in literature studies
| Extraction | Analysis | Samples | LOD, μg L−1 | RSD, % | PF or EF | Extraction | Ref |
|---|---|---|---|---|---|---|---|
| DSDME | UV-Vis | Mineral | 0.19 | 2.7 | 325 | 7.5 | 3 |
| - | Online UV-Vis | Natural | 1.3 | 0.8-5.6 | - | - | 5 |
| DLLME-SFO | UV-Vis | Tap and river | 0.7 | 1.23-6.15 | 50 | 10 | 6 |
| SPE | UV-Vis | Fruit leaves | 2.23 | 2 | - | 30 | 8 |
| CPE | UV-Vis | Tap, well | 0.5 | 1.4 | 20 | 20 | 31 |
| SPE | UV-Vis | - | 0.04 | 0.38 | 147.9 | 60 | 35 |
| On-line SPE | flow-injection | Fresh and | 0.18 | 5.2-5.9 | 18 | - | 36 |
| RA-SUPRAs- | UV-Vis | Lake and | 9.62 | 0.44-3.5 | 15 | 10 | This |
The effect of alkali, alkaline earth metals and some selected anions on the RA-SUPRASs-LPME method (N =3)
| Ion | Added Salt | Studied concentration, mg·L-1 | Recovery, % |
|---|---|---|---|
| Na+ | NaNO3 | 2500 | 102±0 |
| K+ | KCl | 1000 | 97±1 |
| Mg2+ | Mg(NO3)2.6H2O | 250 | 98±3 |
| Ca2+ | Ca(NO3)2.4H2O | 500 | 100±2 |
| Cl- | KCl | 1000 | 97±1 |
| SO42- | Na2SO4 | 1000 | 102±0 |
Application of the RA-SUPRASs-LPME method for determination of phosphate in real water samples (N=3)_
| Sample | Added, μg·L-1 | Found, μg·L-1 | Recovery, % |
|---|---|---|---|
| Lake water-I | 0 | 264±2 : mean ±SD. | - |
| 66 | 334±8 | 101 | |
| 132 | 402±14 | 102 | |
| Spring water | 0 | 260±4 | - |
| 100 | 358±2 | 99 | |
| 200 | 450±2 | 98 | |
| Lake water-II | 0 | 276±4 | - |
| 66 | 326±2 | 95 | |
| 132 | 432±2 | 94 |