While the importance of phosphate was low in the previous centuries, phosphate has been of great importance in the last century in response to the rapid increase in world population and the need to the phosphate-based productions (1, 2, 3). Around 85% of phosphate rock is used for fertilizer production in the world and the remaining 15% is used in detergent, feed, paper, alloy, matches, food, water treatment, defense industry and chemical industry. While around 15% of phosphate consumption in developed countries is used outside the fertilizer industry, this level is between 0 and 4% in less developed countries (1, 2, 3).
Accurate analysis of phosphate in water samples and providing quantitative information of pollution levels is vital. The different methods have been developed for the separation-enrichment and determination of phosphate in water samples (1, 2, 3, 4, 5). Pena-Pereira et al. developed a method based on the enrichment of trace levels of phosphate by suspended drop microextraction and determination by micro-volume UV-Vis spectrophotometer. The method based on the ion-pair formation between 12–molipdophosphate and malachite green was extracted with micro-drop methyl isobutyl ketone followed by spectrophotometric analysis. They have been applied this method for the determination of phosphate in different freshwater samples (3).
Zaruba et al. provided a dispersive liquid–liquid microextraction based on solidification of a floating organic drop (DLLME-SFO) for the separation and preconcentration of orthophosphate at trace levels. The method mainly includes three steps; (I) formation of molybdoantimonatophosphoric heteropoly blue (HPB) complex of phosphate, (II) microextraction of the HPB complex to 55 μL of undecane-1-ol and (III) spectrophotometric analysis of the HPB complex (6).
Ara et al. combined carrier mediated three phase solvent bar liquid phase microextraction (TPSB-LPME) method with high performance liquid chromatography (HPLC) for simultaneous separation, preconcentration and analysis of dexamethasone sodium phosphate (DSP) at trace levels in human urine, plasma and bovine milk samples. In this method, dexamethasone sodium phosphate in acidic aqueous medium was firstly extracted into octane-1-ol phase containing 5 % (w/v) of Aliquat-336 as carrier located in the pores of a hollow fiber. Procedure was completed with the back extraction of the dexamethasone sodium phosphate into an alkali receiving phase (pH=10, 5 μL of 0.65 M NaClO4) located inside the lumen of the fiber. Analyses were carried out by injection of receiving phase into HPLC (7).
Divrikli et al. developed a solid phase extraction method for the separation and preconcentration of phosphate prior to its UV-Vis spectrophotometric determination. The method based on the formation of phosphomolybdate and its reduction to molybdenum blue. The phosphate complex retained on the Amberlite XAD-4 adsorbent was eluted with 10 mL acetone and analyzed with UV-Vis spectrophotometer at 732 nm (8).
Restricted access materials (RAMs) have found a wide range of applications for 20 years. They have mainly used as sorbents for the separation and preconcentration of organic, inorganic and bio-active species without interference from matrix components that are excluded by chemical, physical or physicochemical means (9, 10). The use of RAMs before detection systems eliminate sample pretreatment process have multiple steps (e.g. centrifugation, precipitation, residue dissolution, solvent evaporation, etc.) and tendency to increased sample output (11, 12, 13). The latest improvements in this area are related to design of more selective material and the development of simpler synthetic procedures of RAMs. Latest, SUPRASs have been shown to act as restricted access liquids. SUPRASs are classified as nanostructured liquids obtained from colloidal amphiphiles via spontaneous self-assembly and coacervation processes (14, 15). High density of binding sites they present to analytes and the different polar-regions within the nanostructures derived from the amphiphilic character of SUPRASs molecules that make them excellent extractors for analytes in a wide range of polarities (16, 17, 18).
In the presented work, the simple and cheap application capability of the phosphomolybdate method for the UV-Vis spectrophotometric phosphate was combined with restricted access features of micelles-rich alkyl carboxylic acid-based SUPRASs for the separation, preconcentration and analysis of phosphate traces in water samples.
Measurements were made with UV-Vis spectrophotometer (Hitachi, USA) with micro quartz cuvettes. Sartorius PT-10 pH meter (Germany) with glass electrode was used for pH adjustment of the solutions. To provide the supramolecular solvent, Sonorex brand (Germany) DT-255 model ultrasonic water bath was utilized. Centrifuge (Hettich Rotofix 32 A, Buckinghamshire, England) was used to separate the cloudy solution formed at the microextraction stages. Deionised water had 18.2 MΩ cm resistivity was used during the experimental studies. Milipore MiliQ-Direct 18 model pure water device was used in obtaining deionised water.
Sodium dihydrogen phosphate (NaH2PO4) salt obtained from Merck (Darmstadt, Germany) was used in the preparation of the stock solution containing 10-3 M phosphate anion. This solution was prepared by dissolving the appropriate amount of NaH-2PO4 salt in purified water. Decanoic acid was obtained from Sigma-Aldrich. Ion pair formation between ammonium heptamolybdate tetrahydrate and malachite green was carried out by using same method given in literature (19) as follows; 8.6 g of ammonium heptamolybdate tetrahydrate (Merck, Darmstadt, Germany) were taken up in a beaker and dissolved in deionised water (solution-I). Then, 8.6 mL of 98 % H2SO4 solution (Merck, Darmstadt, Germany) with a density of 1.83 g·mL-1, 23 mg malachite green and 2.0 g of tartaric acid were added in the solution-I and last volume was completed to 100 mL with deionised water. The resulting mixture was dissolved in an ultrasonic bath and filtered through blue band filter paper. This solution named as auxiliary reagent was used in experimental studies.
Preparation of the restricted access supramolecular solvent was carried out as follows: 2.5 g of decanoic acid, 0.5 mL of THF and 10 mL of deionised water were placed in a 50 mL centrifuge tube, the resulting mixture was left in an ultrasonic bath for 5 min. In the meantime, nano and micro size cloudy micelles with restricted access properties were obtained. After centrifugation, the micelles-rich restricted access supramolecular solvent phase on the upper side and the water phase on the lower side were obtained. The micelles-rich restricted access supramolecular solvent phase was separated from the aqueous phase by a pipette and taken into another tube.
The developed RA-SUPRASs-LPME method is shown schematically on Figure 1. In this method, 600 μL of 4.5 M H2SO4 and 1.0 mL of the auxiliary reagent forming the previously prepared were added to 15 mL of model solution medium (standard solution) containing known concentration of phosphate ions. 5 minutes were allowed in order to allow completing the complex formation. Then, 200 μL of the micelles-rich restricted access supramolecular solvent was added into this solution and the resulting mixture was sonicated 5 min. Formation of a cloudy solution was observed which indicated formation of the nano and micro-sized extraction droplets (17). This solution was centrifuged at 4000 rpm for 10 min. The upper extraction solvent phase was transferred to another centrifuge tube by using a micropipette and the volume was made up to 1.0 mL with ethanol. The final phosphate concentration was measured by UV-Vis spectrophotometer at 625 nm. The same procedures were carried out in blank and standard solutions to obtain calibration curve.

Graphical presentation of the presented RA-SUPRASs-LPME method.
In order to evaluate the applicability of the developed RA-SUPRASs-LPME method to environmental water samples, lake water in biological wastewater treatment plant exit area (Kayseri city, Turkey), natural spring water from village (Kayseri city, Turkey) and mountain-wrapped lake water sample (Kayseri city, Turkey) were collected by glass bottles and stored at 4 °C. Water samples collected were filtered through a PTFE syringe filter (0.45 μm, Osmonics) and subjected to the RA-SUPRASs-LPME method.
Ion-pair complex formation of phosphate ions with ammonium heptamolybdate and malachite green occurs in acidic medium solution. In our method, H2SO4 was used to form acidic sample medium. Hence, the influences of the concentration of H2SO4 in the range of 0.06-0.24 M on the extraction efficiencies of the presented RA-SUPRASs-LPME system were investigated. The results are depicted on Figure 2. The quantitative recoveries for phosphate ions were obtained in the concentration of H2SO4 in the range of 0.18-0.21 M. Therefore, 0.18 M H2SO4 was selected as optimal value for the further step of the presented study.

The effect of the concentration of H2SO4 on the recovery of phosphate ions in the presented study (N=3).
Molybdophosphate complex formation related with the phosphate ion concentration and ion pair forming auxiliary solution concentration. If the concentration of ion pair forming auxiliary solution is lower than the minimum concentration that can form complex with phosphate ion, free phosphate ions will be present in the medium and quantitative extraction efficiency will not be achieved. To develop an accurate analytical method for the analysis of phosphate ions, it is necessary to find the optimum concentration of ion pair forming auxiliary solution. The effects of the volume of ion pair forming auxiliary solution including ammonium heptamolibdate and malachite green which prepared according to literature (19) were investigated in the volume range of 250-1250 μL. The results are given on Figure 3. The quantitative recoveries of phosphate ions were obtained by addition of ion pair forming auxiliary solution in the volume range of 1000-1250 μL. Hence, 1250 μL was selected as an optimal value and was used for further studies.

The effect of the volume of ion pair forming auxiliary solution on the recovery of phosphate ions (N=3).
Since the main component of the micelles-rich restricted access supramolecular solvent phase is decanoic acid, the increase in the amount of decanoic acid leads to an increase in the nano and/or micro-sized micelles and hence the extraction efficiency. The influences of amounts of decanoic acid on the formation of the micelles-rich restricted access supramolecular solvent phase and the extraction efficiencies of phosphate ions in the presented microextraction system were investigated in the range of 50-250 mg. The results are depicted on Figure 4. The quantitative recovery values for phosphate ions were obtained with the addition of decanoic acid in the range of 175-225 mg. For the further studies, 200 mg of decanoic acid was selected as optimal value.

The effect of amount of decanoic acid on the recoveries of phosphate ions in the presented microextraction study (N=3).
Tetrahydrofuran is one of the most commonly used solvents in the formation of supramolecular solvent systems, since it facilitates the formation of micelles and nanoscale micelles and consequently increases extraction yields (17). Hence we used THF to obtain micelles-rich restricted access supramolecular solvent phase. The effect of THF volume on recovery efficiencies was also investigated. The developed method was applied to the model solutions prepared for this purpose. The results are given on Figure 5. The quantitative recovery efficiency was obtained when 250 μL of THF was used. 250 μL of THF was determined as the optimum working value and the experiments were performed on this value in the following studies.

The effect of tetrahydrofuran volume on the recoveries of phosphate ions in the presented microextraction study (N=3).
The application of the method to the highest possible sample volume is an important and critical factor in the separation and preconcentration studies, in enabling the determination of the lowest possible analyte concentration and obtaining a high enrichment factor (20, 21, 22, 23, 24). Therefore, the developed RASUPRASs-LPME method was applied to the model solutions ranging from 7.5-20 mL. Quantitative recovery efficiencies were obtained up to 15 mL sample volume for phosphate ions. Hence 15 mL of the samples studied was subjected to the developed RA-SUPRASs-LPME method.
In order to form nano or micro- sized extraction droplets, RASUPRASs-LPME experiments were carried out an ultrasonic bath. Model solutions prepared were subjected to ultrasonic irritation between 1 and 10 min. Quantitative extraction efficiency was obtained with effective cloudy phases occurring at periods of 5 min and above exposure to ultrasonic vibration. Therefore, for next experimental stages, samples were subjected to ultrasonic irritation for 5 min.
The effects of matrix components of the real samples are an important problem in the instrumental detection of analytes (25, 26, 27, 28, 29, 30, 31, 32). The effect of some alkaline earth, alkali metals and some anions which could have a matrix effect on the RA-SUPRASs-LPME method was also investigated under optimum conditions. These ions were studied because they are the most common ions found in environmental water samples. The results are given in Table 1. It is determined that the matrix ions do not have a disruptive effect on the recovery values of phosphate at the studied levels in Table 1. At the matrix ion concentrations above these levels, the recovery values of phosphate are not quantitative. Hence, real samples for the applicability of the RA-SUPRASs-LPME method were selected by considering these results.
The effect of alkali, alkaline earth metals and some selected anions on the RA-SUPRASs-LPME method (N =3)
| Ion | Added Salt | Studied concentration, mg·L-1 | Recovery, % |
|---|---|---|---|
| Na+ | NaNO3 | 2500 | 102±0 |
| K+ | KCl | 1000 | 97±1 |
| Mg2+ | Mg(NO3)2.6H2O | 250 | 98±3 |
| Ca2+ | Ca(NO3)2.4H2O | 500 | 100±2 |
| Cl- | KCl | 1000 | 97±1 |
| SO42- | Na2SO4 | 1000 | 102±0 |
Phosphate is mainly released to the water environment by industry, municipal resources and over-fertilization. Excessive discharge of phosphate into the nature increases the effect of eutrophication in surface waters due to its biochemical processes that increase plant growth leading to increased concerns. In the presented work, we promise a new methodology including separation and preconcentration of phosphate by using our RA-SUPRASs-LPME method for the spectrophotometric determination of phosphate from natural water samples.
The limit of detection (LOD) was obtained by dividing 3 times the standard deviation (3SD) of the UV-Vis absorbance values obtained from the analysis of seven replicates blank samples to the slope (m) of the calibration curve, while the limit of quantification (LOQ) was obtained by dividing 10 times the standard deviation (10SD) of the UV-Vis absorbance values obtained from the analysis of seven replicates blank samples to the slope (m) of the calibration curve.
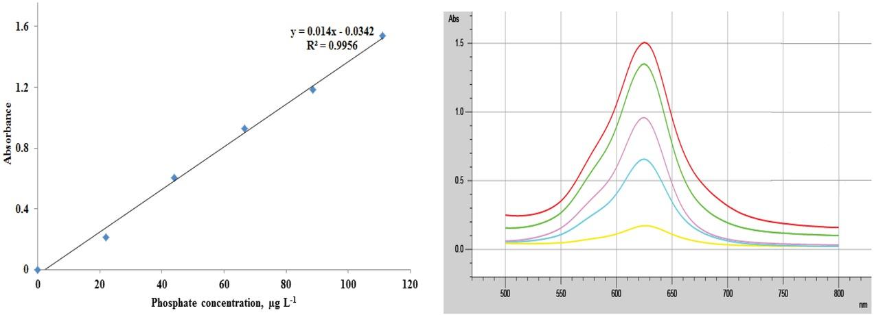
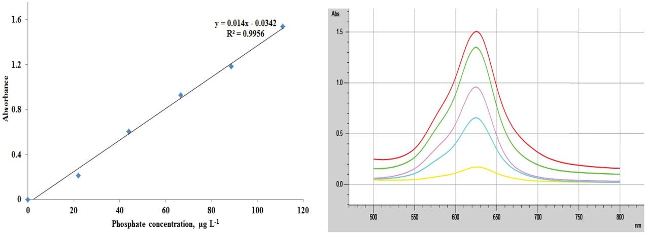
The preconcentration factor (PF) was calculated by dividing the highest sample volume by which the method can be applied to the final volume. The reproducibility was investigated on the addition-recovery experiments for the environmental water samples under the optimized conditions and calculated as relative standard deviation (RSD %). LOD, LOQ, and PF values were found as 9.6 μg·L-1, 32.1 μg·L-1, and 15 respectively. The relative standard deviations (RSDs %) were found in range of 0.44 and 3.5 %. The calibration curve with spectrum belong to increasing phosphate concentration shown on Figure 6 was obtained under optimized conditions. Coefficient of correlation (R2) was found as 0.9955.

The calibration curve (A) and UV-Vis spectrum belong to increasing phosphate concentration (B).
The applicability of the RA-SUPRASs-LPME method to real samples was tested by determining the phosphate content of various environmental water samples. The developed RA-SUPRASs-LPME method was applied to lake water (lake water-I) in biological wastewater treatment plant exit area, village natural spring water and another mountain-wrapped lake water sample (lake water-II). For this purpose, known concentrations of phosphate ion were added to these environmental water samples, developed method was applied and recovery studies were performed. The results are shown in Table 2. When the results are examined, it is seen that recovery results varying between 94% and 102% are obtained. The results show that our method can be applied successfully for selected water samples. In this way, the accuracy of our method has been proved for the studied environmental water samples.
Application of the RA-SUPRASs-LPME method for determination of phosphate in real water samples (N=3).
| Sample | Added, μg·L-1 | Found, μg·L-1 | Recovery, % |
|---|---|---|---|
| Lake water-I | 0 | 264±2(1) | - |
| 66 | 334±8 | 101 | |
| 132 | 402±14 | 102 | |
| Spring water | 0 | 260±4 | - |
| 100 | 358±2 | 99 | |
| 200 | 450±2 | 98 | |
| Lake water-II | 0 | 276±4 | - |
| 66 | 326±2 | 95 | |
| 132 | 432±2 | 94 |
We compared our RA-SUPRASs-LPME method with other methods in the literature in Table 3. Although the preconcentration factor and the limit of detection of our method is low, the most important advantages are that high repeatability and the extraction time is generally shorter than other methods so that the extraction equilibrium can be reached in a very short time due to formation of the very effective nano or micro-sized micelles-rich restricted access supramolecular solvent drops. Also, our method has many advantages in term of low consumption of SUPRASs, high extraction efficiency, short extration and analysis times, no necessity expensive and complex laboratory equipments in the extraction and analysis stages simplicity, good precision and eco-friendly.
Comparison of the RA-SUPRAs-LPME method with other phosphate determination methods in literature studies
| Extraction | Analysis | Samples | LOD, μg L−1 | RSD, % | PF or EF | Extraction | Ref |
|---|---|---|---|---|---|---|---|
| DSDME | UV-Vis | Mineral | 0.19 | 2.7 | 325 | 7.5 | 3 |
| - | Online UV-Vis | Natural | 1.3 | 0.8-5.6 | - | - | 5 |
| DLLME-SFO | UV-Vis | Tap and river | 0.7 | 1.23-6.15 | 50 | 10 | 6 |
| SPE | UV-Vis | Fruit leaves | 2.23 | 2 | - | 30 | 8 |
| CPE | UV-Vis | Tap, well | 0.5 | 1.4 | 20 | 20 | 31 |
| SPE | UV-Vis | - | 0.04 | 0.38 | 147.9 | 60 | 35 |
| On-line SPE | flow-injection | Fresh and | 0.18 | 5.2-5.9 | 18 | - | 36 |
| RA-SUPRAs- | UV-Vis | Lake and | 9.62 | 0.44-3.5 | 15 | 10 | This |
DSDME: Directly suspended droplet microextraction, DLLME-SFO: Dispersive liquid–liquid microextraction based on solidification of a floating organic drop, SPE: Solid phase extraction, CPE: Cloud point extraction.
In this paper, a micelles-rich restricted access supramolecular solvent based microextraction method (RA-SUPRASs-LPME) was used for the separation and preconcentration of the phosphate in environmental water samples prior to micro-volume UV-Vis spectrophotometric analysis. Due to some advantages like high extraction efficiency, short extraction and analysis times, green methodology, our method can be used for the routine phosphate analysis in different laboratories.
: mean ±SD.