Anxiety and depression are the most common mental health disorders, affecting over 301 million and 280 million people worldwide, respectively (1). According to the World Health Organization (WHO), one in eight individuals globally is affected by a mental disorder (2), highlighting the urgency of evaluating contributing factors to this growing health concern.
Anxiety and depression are widely present in children and adolescence, with 58 million suffering from anxiety and 23 million suffering from depression (1). While fears in social situations are relatively common among adolescents, diagnostic interviews reveal a high prevalence of social anxiety disorder (3). Symptoms of social anxiety typically emerge during adolescence (4), with some studies indicating a prevalence of 9% among American adolescents (5) and approximately 12% among Dutch adolescents (6). Also, higher lifetime depression prevalence of 12% among American adolescents (5) and 15% among Dutch adolescents (6). Numerous epidemiological studies suggest that, in the past two years, anxiety disorders have become the most prevalent mental health disorders among adolescents. Among these, generalized anxiety disorder is recognized as one of the most common anxiety disorders, with a prevalence ranging from 2.2% to 3.6% (7). Various studies conducted over the past decades reported that the prevalence of stress, anxiety, and depression is higher among university students compared to the general population (8).
Although school violence has been a long-standing issue, its impact has intensified in recent times due to widespread media coverage of dramatic and often deadly incidents. Acts of bullying and mass shootings within educational settings evoke intense emotions such as fear, shock, and a sense of insecurity among students, disrupting what was once considered a safe space. Those who survive these traumatic events, along with individuals exposed to them through media reports, may experience a range of psychological effects, including acute stress disorder, post-traumatic stress disorder, depression, and anxiety (9). There is evidence that gun violence associated with negative mental health outcomes, including anxiety, depression, panic attacks, and post-traumatic stress symptoms (10). Having in mind the occurrence of tragic event in elementary school “Vladislav Ribnikar” in Belgrade, Serbia, which occurred in May 2023, the aim of our study was to determine the levels of anxiety and depression among high school seniors experienced in relation to this tragic event.
This was an observational, population-based, cross-sectional epidemiological study which included high school senior students (n=145) attending final year of the high school on the territory of city of Kragujevac, Central Serbia. The study was undertaken during the period of one month, from November 2024 until December 2024. The study protocol was approved by the Institutional Ethical Committee, Faculty of Medical Sciences, University of Kragujevac, Serbia. Before every study intervention, all participants were introduced with the study and volountarly gave their informed consent for participation.
Inclusion criteria for participation in the study were: being 18 years of age or older, enrolled as a final-year student at a high school in Kragujevac, literate, capable of understanding the study, and having provided signed informed consent. Exclusion criteria for participation in the study were: individuals younger than 18 years of age, those who were illiterate or unable to comprehend the study, and individuals with diagnosed mental disorders and/or a history of substance abuse.
A random sample was used as the method for selecting students. Only students from the fourth (final) grade of high schools were included. As part of the research instrument, the following standardized questionnaires were used:
The HAM-A is used to assess both somatic and psychological symptoms of anxiety. It includes 14 items, each rated on a 5-point scale (0 = not present; 4 = very severe). Interpretation of the total score is as follows: ≤7: minimal or no anxiety; 8–14: mild anxiety; 15–23: moderate anxiety; ≥24: severe anxiety (11).
The BDI-II is a widely used self-report questionnaire for screening and assessing the severity of depression. It consists of 21 multiple-choice items, each offering four statements ranked by the severity of a particular depressive symptom, scored on a 0–3 scale. Total scores are interpreted as follows: 0–13: minimal or no depression; 14–19: mild depression; 20–28: moderate depression; 29–63: severe depression (12,13).
As part of the study, participants also completed a sociodemographic questionnaire designed to gather comprehensive background information. This included data on gender, age, family history of psychiatric disorders, the presence of comorbidities, whether participants were raised in intact or non-intact families, and their type of accommodation during the school year. The questionnaire also explored academic variables such as timely enrollment in secondary school, enrollment in the school of choice, and overall academic success. Additionally, it addressed lifestyle behaviors, including the use of cigarettes, alcohol, and psychoactive substances. To further contextualize psychological outcomes, participants were asked about their peer relationships, experiences with peer bullying and opinion of increased peer bullying following tragic event, school refusal, consideration of school transfer, seeking psychological support, as well as emotional responses to the recent school shooting incident in Belgrade.
All statistical analyses were performed using the commercial standard software package SPSS, version 20.0 (The Statistical Package for Social Sciences software, SPSS Inc., version 20.0, Chicago, IL). All data collected from the survey questionnaires were presented and analyzed using appropriate mathematical and statistical methods, suitable for the type and nature of the data. Descriptive methods were used to present the data, including tabulation, graphical representation, measures of central tendency, and measures of variability. In the statistical data processing, continuous variables were presented as mean ± standard deviation (SD), while categorical variables were presented as proportions of participants with a specific outcome. To compare the means of continuous variables, Student’s t-test for small independent samples was used, or alternatively, a nonparametric test if the results did not follow a normal distribution, as determined by the Kolmogorov-Smirnov test. The chi-square (χ2) test was used to compare differences in the frequency of categorical variables, or Fisher’s exact test if the frequency of individual categories was low. Results were considered statistically significant if the probability of the null hypothesis was less than 5% (p < 0.05).
This study included 145 high school seniors, of whom 98 (67.6%) were female and 47 (32.4%) were male. All participants were attending the high school in the territory of city of Kragujevac, Serbia. The obtained demographic characteristics of study participants are presented in Table 1.
Sociodemographic characteristics of the study population.
| Characteristic | Number (n) / Percentage (%) |
|---|---|
| Gender | 47 (32.4%) / 98 (67.6%) |
| Family history of psychiatric disorders | 15 (10.3%) / 130 (89.7%) |
| Presence of comorbidities | 14 (9.7%) / 131 (90.3%) |
| Growing up in an intact family | 128 (88.3%) / 17 (11.7%) |
| Place of residence during school year | 133 (91.7%) / 12 (8.3%) |
| Smoking | 34 (23.4%) / 111 (76.6%) |
| Alcohol abuse | 41 (28.3%) / 29 (20%) / 67 (46.2%) / 8 (5.5%) |
| Psychoacitve substances abuse | 7 (4.8%) / 138 (95.2%) |
| Timely enrollment in secondary school | 143 (98.6%) / 2 (1.4%) |
| Enrollment in secondary school of choice | 142 (97.9%) / 3 (2.1%) |
| Academic success in secondary school | 88 (60.7%) / 43 (29.6%) / 12 (8.3%) / 2 (1.4%) / 0 (0%) |
According to HAM-A and BDI-II score, 39.3% students in our study exhibited mild to severe anxiety (Table 2), while 31.7% reported mild to severe depressive symptoms (Table 3).
Level of anxiety in study population.
| HAM-A score | Number (n) / Percentage (%) |
|---|---|
| Minimal or no anxiety (≤7) | 88 / 60.7% |
| Mild anxiety (8–14) | 33 / 22.8% |
| Moderate (15–23) | 14 / 9.7% |
| Severe (≥24) | 10 / 6.9% |
Level of depression in study population.
| BDI-II score | Number (n) / Percentage (%) |
|---|---|
| No depression (0–13) | 99 / 68.3% |
| Mild depression (14–19) | 22 / 15.2% |
| Mild to moderate depression (20–28) | 14 / 9.7% |
| Severe depression (29–63) | 10 / 6.9% |
In our study, female students reported significantly higher levels of both anxiety and depression compared to male students. The results, as illustrated in Figure 1, showed that the mean scores for both anxiety and depression were notably elevated among female participants.

Mean scores of anxiety (A) and depression (B) among study participants in relation to gender.
In addition, we examined the levels of anxiety and depression in relation to specific sociodemographic characteristics. No statistically significant differences in anxiety or depression were found between students raised in intact families and those from non-intact families. Regarding place of residence during the school year, students living in student dormitories or private accommodations exhibited significantly higher levels of anxiety compared to those residing in their parental homes. Conversely, no significant differences were observed in depression levels between these groups. Smoking status did not influence the development of anxiety, but smokers showed higher scores on depression assessment scales compared to non-smokers. When examining alcohol consumption, data analysis showed significantly higher levels of both anxiety and depression among students who consumed alcohol often compared to those who did not. However, there were no statistically significant difference regarding anxiety and depression between non-consumers and those who consume alcohol rarely or on special occasions. Other psychoactive substances have similar effects and consequences. In our sample, students who abused other psychoactive substances also exhibited significantly higher levels of anxiety and depression. When examining high school enrollment, students who enrolled later than their age cohort exhibited significantly higher levels of anxiety and depression. However, no statistically significant relationship was found regarding enrollment in their desired high school.
Students who reported difficulties in peer communication demonstrated higher levels of anxiety and depressive symptoms (Figure 2A). Furthermore, those who had experienced peer bullying exhibited significantly elevated anxiety and depression scores compared to their peers who had not encountered such experiences (Figure 2B).

Levels of anxiety and depression among study participants in relation to peer communication (A) and experiences of peer bullying (B).
Students who reported school refusal demonstrated higher levels of anxiety and depressive symptoms (Figure 3A). Furthermore, those who considered transferring to another school exhibited significantly elevated anxiety and depression scores compared to their peers who had not encountered such experiences (Figure 3B).

Levels of anxiety and depression among study participants in relation to school refusal (A) and consideration of school transfer (B) following a tragic event.
Students who reported that in their opinion there was an increase in peer bullying following a tragic event demonstrated higher levels of depressive symptoms (Figure 4A). Furthermore, those who were seeking for psychological help after tragic event exhibited significantly elevated anxiety and depression scores compared to peers who did not feel the need to seek professional psychological support (Figure 4B).

Levels of anxiety and depression among study participants in relation to opinion to the increase in peer bullying (A) and seeking psychological help (B) following a tragic event.
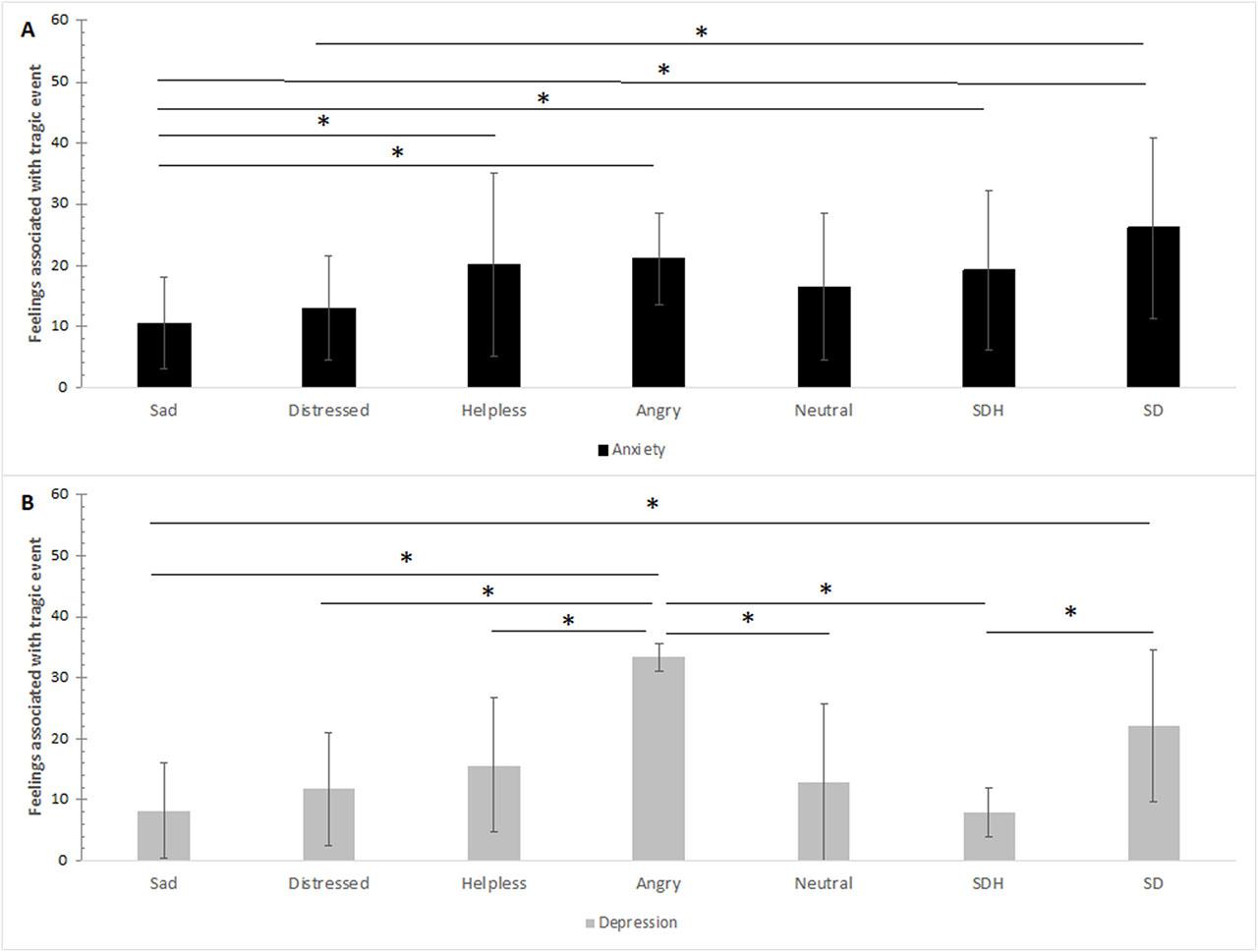
In our study, we examined the most common emotional responses following a tragic event, including feelings of sadness, distress, helplessness, anger, neutrality, as well as combinations such as sadness and distress simultaneously, or helplessness and distress together, and their relationship with anxiety and depression.
Our results showed that students who experienced feelings of sadness had lower level of anxiety than those who experienced feelings such as helplessness, anger, sadness combined with distress and helplessness, or sadness combined with distress. Additionally, students who felt both sad and distressed simultaneously exhibited higher anxiety levels than those who reported feeling only distressed (Figure 5A).

Levels of anxiety (A) and depression (B) among study participants in relation to specific emotional reactions following a tragic event.
Regarding depressive symptoms, students who felt angry after the tragic event demonstrated significantly higher levels of depression compared to those who felt sad, distressed, helpless, neutral, or combinations of sadness, distress, and helplessness.
Furthermore, students experiencing both sadness and distress simultaneously showed increased depression levels compared to those who reported feeling only sad or the combination of sadness, distress, and helplessness (Figure 5B).
During development, critical turning points emerge in the maturation of emotion regulation, particularly pronounced during childhood and adolescence. In early childhood, emotional experiences are typically co-regulated by caregivers, who play a central role in helping the child manage and make sense of emotional states. As individuals transition into adolescence, there is a normative shift toward greater emotional autonomy, accompanied by a decreased reliance on parental support. However, this period is also characterized by the ongoing development of internal regulatory mechanisms, which may still lack full maturity and effectiveness. Impairments or delays in the development of emotion regulation capacities are considered central to theoretical models explaining the onset and maintenance of anxiety and depression (14).
Our study reveals a pronounced presence of anxiety and depression among final-year high school students in Kragujevac, following the tragic event at the “Vladislav Ribnikar” elementary school in Belgrade. This finding underscores the heightened sensitivity of adolescents to external stressful events, especially those impacting their peer community and educational environment. Consistent with previous research (15), female participants exhibited significantly higher symptoms of both anxiety and depression, aligning with biological, social, and psychological factors influencing gender differences in mental health during adolescence
Living arrangements also played a role in mental health outcomes. Students residing away from their parental homes, whether in dormitories or private accommodations, reported higher levels of anxiety. This association may be attributed to reduced emotional and social support, increased responsibilities, and uncertainty. However, the difference in depression levels between these groups was not statistically significant. Previous studies have highlighted the role of attachment in shaping responses to separation and anxiety, emphasizing the importance of secure familial relationships. One study showed that family accommodation was more strongly linked to separation anxiety in children with low attachment security, highlighting attachment’s role in shaping family responses to child anxiety, while no similar effect was found for other anxiety symptoms (16). Also, it has been demonstrated that social anxiety is closely related to delays in important life steps, like moving out or living with a partner, but most socially anxious teens still reach these milestones in early adulthood. It suggests that adolescence is a key time to offer support, and more research is needed on how social anxiety affects long-term life and health outcomes (17).
Behavioral habits, particularly the consumption of cigarettes, alcohol, and psychoactive substances, demonstrated a clear association with elevated levels of anxiety in relation of smoking habits, and with elevated level of both anxiety and depression in case of alcohol or psychoactive substance abuse in our study. These patterns of self-medication among youth often represent attempts to cope with stress and emotional pain but ultimately exacerbate mental health issues over time. The accessibility and social acceptance of these substances further complicate intervention efforts. A significant association between substance use and mental health disorders has been well established. Notably, cannabis use has been linked to an increased risk of developing depression and anxiety (18). Stimulant use of substances such as cocaine and amphetamines have been associated with a higher risk of developing psychotic symptoms, while chronic alcohol use has been implicated in the exacerbation of attention-deficit/hyperactivity disorder (18). These associations suggest a complex bidirectional relationship, wherein substance use may both contribute to and result from underlying mental health conditions.
Peer relationships emerged as a significant factor in adolescent mental health. Negative peer interactions, including poor communication and peer bullying, were strongly associated with heightened anxiety and depression levels in our study. Adolescence is a period when peer relationships become central to emotional development; thus, problems in this area can have profound psychological impacts. Our findings align with studies indicating that the quality of peer relationships significantly predicts depressive symptoms, with girls being more affected than boys (19).
Following the traumatic event, a significant number of students in our study displayed emotional reactions such as sadness, anger, helplessness, and distress, which were predictors of higher psychological distress. Furthermore, those who reported feelings of anger and combined emotional responses (e.g., sadness + distress) had the highest anxiety and depression scores, supporting theories about the importance of emotional regulation abilities in preventing mental disorders in youth (20). Additionally, school avoidance, thoughts of changing schools, and seeking psychological help emerged as important reactions, indicating an urgent need for systematic psychological support in schools. Emotionally based school avoidance is a growing concern, with recent studies highlighting its increasing prevalence among students experiencing anxiety and emotional distress. Corcoran and Kelly emphasize the importance of multi-agency approaches to support regular attendance and address the underlying emotional factors contributing to emotionally based school avoidance (21).
The impact of stress on children and adolescents can be understood through different models. The literature frequently emphasizes theoretical models that examine the role of negative life events and chronic stress in the etiology of mental health disorders. Early childhood is a particularly sensitive period for the development of emotional regulation and stress coping capacities, which are largely shaped through interactions with primary caregivers. When caregivers experience high levels of anxiety, these emotional states are often transmitted to the child in non-verbal and diffuse ways - what some theorists describe as “undifferentiated noise” within the developmental environment. The child’s ability to process and make sense of such experiences depends significantly on the caregiver’s capacity to contain and transform distressing emotions into manageable, structured feedback, thereby communicating that the world is safe and predictable (22).
Children and adolescents are frequently exposed to a series of negative or even traumatic life events, which may verge on overwhelming stress or existential threat. When such events occur, even in the presence of external support systems, processing the associated fear and emotions requires considerable time and psychological resources. Without adequate support, these experiences may remain unintegrated, increasing the risk for various psychopathologies. Such exposures are recognized as key precipitants in the development of numerous psychiatric disorders and broader dysfunctions in emotional, social, and academic domains. Initial manifestations may present as somatic symptoms - such as headaches, fatigue, or gastrointestinal issues - which often precede or accompany the emergence of psychological symptoms, illustrating the dynamic interplay between the body and mind. Given this, stress must be acknowledged as a critical factor influencing mental health across all developmental stages (23).
In light of these considerations, the implementation of school-based screening and counseling programs is essential, while it can enhance early detection, prevention, and enable appropriate further guidance for those students with more pronounced/chronic symptoms (24). Furthermore, it is crucial to recognize that poor mental health during adolescence not only affects immediate well-being but also has long-term implications (25). Adolescents experiencing depression are at significantly elevated risk for future major depressive episodes, suicidal behavior, anxiety disorders, substance use disorders, interpersonal difficulties, and early parenthood (26).
This study highlights the significant psychological impact of traumatic events on adolescents, particularly in the form of increased anxiety and depression. Emotional responses such as sadness, helplessness, and school avoidance were common and signal the need for urgent psychological support within educational settings. Female students, those without parental support, and individuals involved in risky behaviors or poor peer relationships were especially vulnerable. Substance use was strongly linked to mental health symptoms, suggesting maladaptive coping strategies among youth. These findings underline the importance of early development, caregiver support, and emotional regulation in shaping resilience to stress. Implementing school-based screening, prevention, and counseling programs is essential to identify students at-risk and reduce long-term consequences. A coordinated response involving schools, families, and mental health professionals is vital to promote healthy adolescent development and well-being.