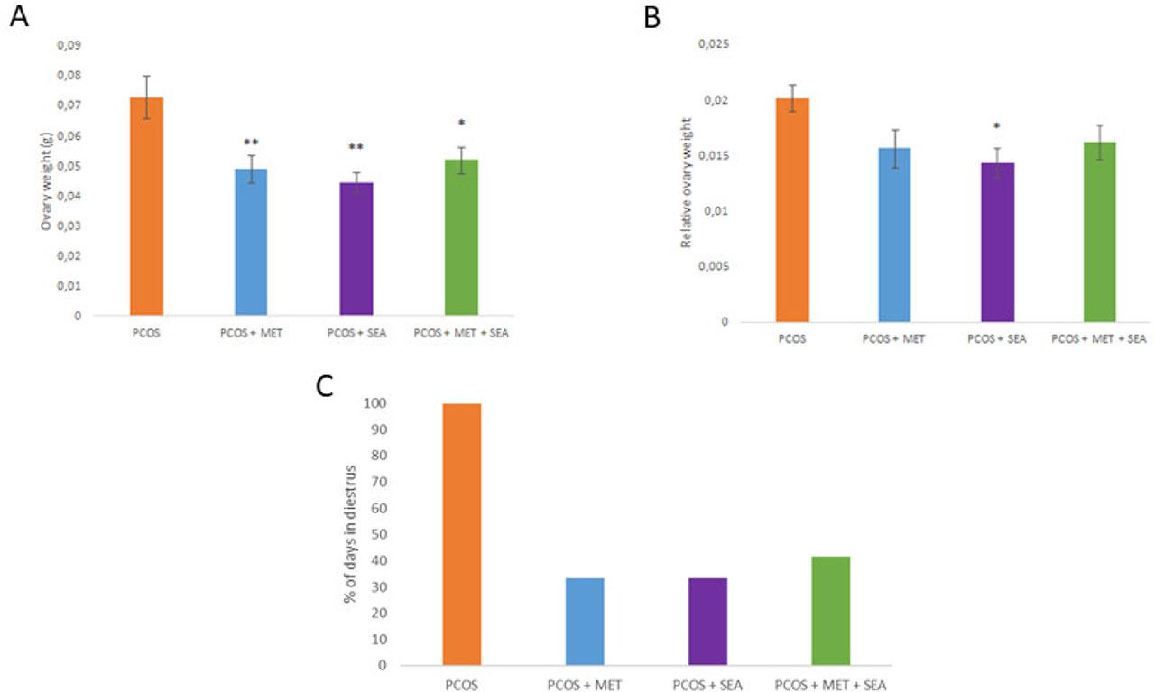
Figure 1.

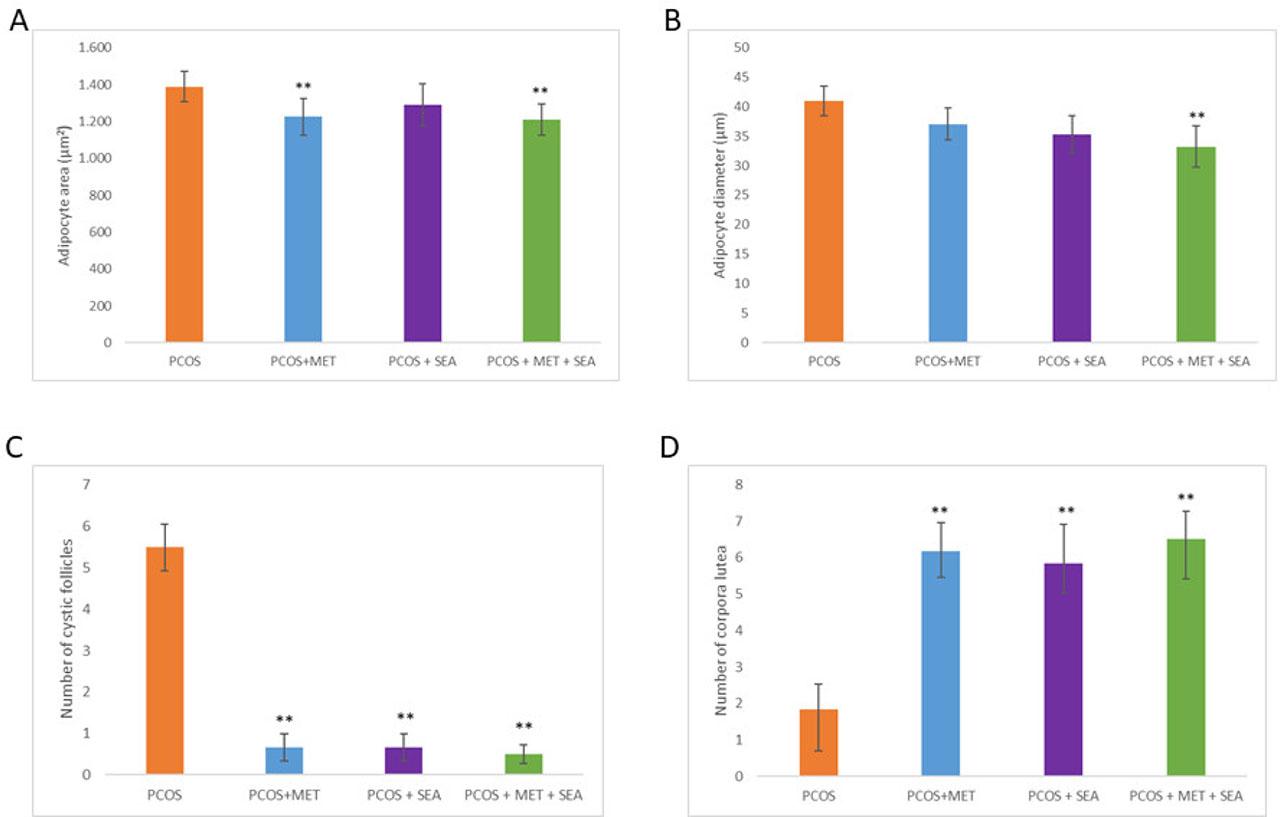
Figure 2.

Figure 3.




© 2025 Teodora Todorovic, Vladimir Jakovljevic, Maja Muric, Jasmina Sretenovic, Jovan Rudic, Dusan Todorovic, Nikola Jovic, Jovana Joksimovic Jovic, published by University of Kragujevac, Faculty of Medical Sciences
This work is licensed under the Creative Commons Attribution-NonCommercial-NoDerivatives 4.0 License.