Combustion of tobacco in cigarettes generates smoke, which is a complex mixture of billions of carbon-based solid particles (soot) and thousands of chemicals, of which around a hundred are listed by public health authorities to be harmful and potentially harmful constituents (HPHCs) in tobacco or tobacco smoke (1, 2). The high levels of HPHCs in smoke from combusted tobacco are recognized to be linked to the development of smoking-related diseases, including some cancers, cardiovascular diseases, and lung diseases, such as chronic obstructive pulmonary disease (COPD) (3). In addition, inhalation of the billions of nano-sized carbon-based solid particles in smoke, derived from incomplete combustion of tobacco during smoking, can lead to the accumulation of the particles in lung tissue, which is one of the hallmarks of long-term smoking (4). Such accumulation may lead to numerous chronic adverse effects, including chronic lung inflammation even long after the exposure to cigarette smoke has stopped, scarring (fibrosis), and DNA breakages (4,5,6), which resemble the adverse effects found in coal mine workers, and after long-term exposure to heavy air pollution (7). Avoiding inhalation of smoke is therefore key for adult smokers to be able to reduce the risk that inhaled carbonaceous solid particles and high levels of HPHCs impose on health.
As smoke is an aerosol containing solid and liquid particles generated from byproducts of combustion and the associated high-temperature pyrolysis (8,7,8,9,10,11,12,13,14,15,16), the key attribute to avoid smoke formation is to prevent combustion and the resulting high temperatures generated by the exothermic combustion processes (16). Combustion is initiated by ignition (12) leading to chemical reactions between oxygen and a material (oxidation) at a rate fast enough to produce heat (increased temperature) and usually light (12, 17,18,19). For ignition of the tobacco material (and therefore also combustion) to occur, the energy (either supplied by an external source or generated from exothermic thermal decomposition reactions) needs to be sufficient to overcome not only all endothermic vaporization and thermal decomposition reactions in the vicinity of where the energy is provided, but also the heat and mass transfer-induced energy losses to become net exothermic (heat generating) (16, 19). Recent technological advances and new innovations that allow nicotine delivery to be decoupled from harmful tobacco smoke, by heating tobacco or a nicotine-containing liquid below their ignition points, have resulted in the development and commercialization of non-combusted, smoke-free alternatives to combustible cigarettes. These alternatives have the potential to reduce the risk associated with cigarette smoking for adult smokers who fully switch to these products and who would otherwise continue to smoke. Heated tobacco products (HTPs) and e-vapor products are two categories of such alternatives. While both categories are designed to generate liquid-based aerosols from their respective substrates when heated without combustion, the focus of this work is on HTPs.
HTPs contain a tobacco substrate that is designed to be heated to vaporize water, glycerol, nicotine, and flavors, from which a liquid-based nicotine-containing aerosol is produced, without combusting the tobacco or producing smoke (20, 21). Most HTPs developed and commercialized to date are electrically heated tobacco products (EHTP) (20). EHTPs are products containing a tobacco substrate that is designed to be heated with an electrical tobacco heating device (THD) without combustion of the tobacco substrate in order to produce a nicotine-containing aerosol (22). The tobacco within the EHTP is typically heated by heating elements to a specific temperature, which is controlled by the firmware of the THD (23, 24). The EHTP combined with the THD is typically referred to as the Tobacco Heating System (THS) (25). Commercially available THDs include IQOS®, IQOS ILUMA®, and BONDS by IQOS® produced by Philip Morris International (PMI) (26), glo™ Pro, Hyper, Hyper+ produced by British American Tobacco (BAT) (27), Pulze produced by Imperial Brands (20), Ploom S and Ploom X produced by Japan Tobacco International (JTI) (28) and lil SOLID 2.0 produced by Korea Tobacco and Ginseng (KT&G) Corporation (29, 30).
Current regulatory and fiscal policies for tobacco products around the world are typically based on product characteristics and operating conditions to classify tobacco products into different categories. For example, the World Customs Organization (WCO) separates tobacco products for smoking from products intended for inhalation without combustion (31), and the European Union (EU) Tobacco Product Directive (TPD) II (Article 2) defines a “smokeless tobacco product” as a “tobacco product not involving a combustion process (…)” (32). Therefore, appropriately establishing whether a tobacco product intended for inhalation involves combustion and if the emission is or is not smoke is not only important for the development of non-combusted and smoke-free products to avoid adult users inhaling smoke, but also to have the products appropriately classified.
As combustion and smoke formation are physicochemical processes, it is of fundamental importance to base the assessment on whether or not combustion occurs in a tobacco product during operation and if the emission is or is not smoke based on the physicochemical fundamentals of combustion and smoke formation. Multiple national standardization bodies have defined HTPs based on the absence of combustion of the tobacco substrate and many established quantitative emission criteria for verification of the absence of combustion. Mandatory (1) or voluntary (2) standards, many of them including an absence of combustion definition and a requirement of adherence to limits on carbon monoxide (CO), nitric oxide (NO), nitrogen oxides (NOx) data, or CO alone, exist. The most comprehensive standard to date is the British Standards Institution (BSI) Publicly Available Specification (PAS) 8850:2020 “Non-combusted tobacco products. Heated tobacco products and electrical tobacco heating devices. Specification” (33). It defines aerosol generated by HTPs as an “aerosol containing nicotine and other constituents generated during the process of tobacco heating with a tobacco heating device without combustion of the heated tobacco”. Verification of the absence of combustion is based on thresholds for the concentrations of CO, NO, and NOx in the heated tobacco aerosols, as these constituents are known to be generated at high levels during the combustion of tobacco.
In addition to the absence of combustion criteria of the HTP standards mentioned above, a comprehensive set of signatures that differentiate thermal degradation and combustion of tobacco products and their respective emissions was extensively studied and outlined in the review paper by T
- 1)
the assessed products had adequate temperature control during operation to avoid ignition;
- 2)
the degradation kinetics was net endothermic (heat consuming) and below the ignition temperature of the tobacco substrate;
- 3)
there was no sign of ash formation;
- 4)
there was no substantial influence of oxygen on the product functioning and the resulting emissions;
- 5)
the ratio between CO and carbon dioxide (CO2) was typical of heating tobacco without combustion; and
- 6)
carbon-based solid particles were not generated during product operation and that the resulting aerosol was liquid-based.
With the ever-evolving innovations in heating technologies, new THS and iterations of existing technologies are developed and commercialized to address consumer feedback and improve the use experience. THS 3.0, developed and commercialized by PMI, is one recent innovative THS. The THS 3.0 consists of a THD that heats tobacco in specially designed tobacco sticks using induction heating (43). The induction heating technology in THS 3.0 was adopted to heat the tobacco plug in a similar way as the resistive heating technology in the THS 2.2 (i.e., from the inside), while eliminating common pain points identified with the THS 2.2, such as heater blade breakage and the need to frequently clean the device. The integration of the heating element into each tobacco stick also improves the product performance consistency throughout the lifecycle of the device but increases the complexity in the induction-specific tobacco stick manufacturing. G
To complement the THS 3.0 aerosol characterization carried out by G
While this paper specifically focuses on the substantiation of the absence of combustion in THS 3.0 during operation and that the produced aerosol is not smoke, the systematic assessment methodology presented may serve as guidance on how to rigorously and consistently assess absence of combustion and absence of smoke for HTPs. Harmonized assessment approaches for HTPs are important when addressing common scientific and regulatory questions across different product configurations within a category as emphasized by M
The THS 3.0 is comprised of an EHTP and a THD, as shown in Figure 1a. The THS 3.0 EHTP and THD are commercialized as TEREA® tobacco sticks and IQOS ILUMA, respectively. The EHTP, when operated in the THD, is designed to be used exclusively with the dedicated THS 3.0 THD to produce an aerosol by heating tobacco without burning it using SMARTCORE™ Induction Heating Technology (43).

The components of the (a) THS 3.0 and (b) EHTP (reproduced from (43)).
EHTP: electrically heated tobacco products; HAT: hollow acetate tube; THD: tobacco heating device; THS: Tobacco Heating System.
The THS 3.0 consists of the following main components that perform different functions:
EHTP – a novel patented tobacco product with castleaf (reconstituted) tobacco and an integrated metal strip (referred to as the susceptor) that acts as the heating element when operated in the THD holder. The design and components of the EHTP are shown in Figure 1b and are described in detail by G
unduz et al. 2024 (43). The EHTPs used for the tests in this work are commercially referred to as TEREA Regular variants.THD holder – into which the EHTP is inserted, heats the tobacco using an induction heating system. An electronics module ensures control of the heating process and provides protective monitoring to prevent overheating. The THD is comprised of a holder and a charger, as shown in Figure 1a. The battery stores enough energy for the use of two EHTPs.
THD charger – (also referred to as a pocket charger) that is used to recharge the THD holder. The electronics regulate control charging operations and ensure proper device performance.
The THS 3.0 is designed to heat tobacco without combustion of the tobacco substrate. To use an EHTP, it must be inserted into the holder of the THS 3.0 THD. When the EHTP is inserted into the holder, the holder is by default automatically activated to start the heating of the tobacco plug. The default duration of one use of the EHTP in the holder is 6 minutes or 14 puffs, whichever comes first. When air is drawn through the EHTP and holder during a puff, it enters the holder between the holder and the EHTP, passing through channels inside the holder, and then enters the EHTP through the front plug as shown in Figure 2. The vapors released from the tobacco material, when heated, are then rapidly mixed with the fresh air that enters the inner chamber of the thin hollow acetate tube (HAT) segment through air inlet holes, promoting a rapid temperature drop upon draw, which enhances aerosol formation.

Airflow path through the EHTP and holder during a puff.
EHTP: electrically heated tobacco product; HAT: hollow acetate tube; MPF: mouthpiece filter.
The heating technology used in THS 3.0 is based on induction heating, in which a susceptor (metal alloy strip) embedded in the EHTP tobacco plug is heated by eddy currents and hysteresis losses induced by a rapidly alternating magnetic field generated by the heating engine (coil) of the holder. During operation, the heating is controlled and regulated via the apparent conductance of the direct current load represented by the heating engine, computed by the holder firmware. To control the average temperature of the susceptor during operation, the computed apparent conductance of the heating engine is directly correlated to the average temperature of the susceptor during a calibration procedure carried out during the pre-heating phase for every EHTP inserted into the device. During the calibration procedure, the apparent conductance is correlated to the susceptor temperature based on known characteristics and physical properties of the EHTP susceptor material, at the molecular and lattice level. This calibration procedure is repeated up to three times to increase confidence and precision in the correlation of the apparent conductance and susceptor temperature. Once calibrated, the heating engine operates according to a pre-defined heating profile within the calibrated range. The end of the pre-heating and calibration phase is communicated to the user by means of visual (LED) and haptic signals to inform that the product is ready to be consumed. Dedicated electronics and firmware running in the holder continuously monitor the apparent conductance during use to ensure a pre-defined heating sequence is followed.
Based on the fundamental principles and characteristics defining combustion and smoke (16) and the experiments applied in (34, 40, 45) to provide evidence substantiating that THS 2.2 is a non-combusted and smoke-free product, the following set of experiments were conducted to assess whether or not: 1) there is combustion occurring in THS 3.0 during operation and 2) the emission produced is a liquid-based aerosol that is not smoke:
Thermal characterization:
Heater temperature measurements – to demonstrate adequate temperature control during operation
Tobacco substrate temperature measurements – to demonstrate that the degradation kinetics is net endothermic (heat consuming) and below the ignition temperature of the tobacco substrate
Solid substrate characterization:
Visual analysis before and after use – to demonstrate that there is no sign of ash formation
Emissions characterization:
Gas analysis after operation under oxidative and nonoxidative atmospheres – to demonstrate that there is no substantial influence of oxygen on the product functioning and the resulting emissions
CO/CO2 ratio analysis based on puff-per-puff yields – to demonstrate that the ratio is typical of heating the tobacco plug without combustion
Particulate matter characterization – to demonstrate that carbon-based solid particles are not generated during product operation and that the resulting aerosol is liquid-based
The susceptor temperature in the EHTP during operation under the ISO 20778 machine puffing regimen (55 mL puff volume, 2 s puff duration, 30 s inter-puff interval, bell-shaped puff profile, and perforated air inlets untaped) (46), was measured using thermocouples inserted into the EHTP from the rear end of the product (mouthpiece side). To avoid interference and distortion of the alternating magnetic field and the heating, non-magnetic type K thermocouples of model TJC1-CAIN-IM025U-150-SMPW-M (Omega Engineering Inc., NJ, USA) with a diameter of 250 μm were used. The susceptor temperature was determined by three thermocouples taped to the susceptor with a DuPont ™ Kapton® HN tape with the thermocouple tips positioned at the middle of the susceptor, 2 mm inside the tobacco plug from the susceptor edge on the front side of the EHTP, and 2 mm inside the tobacco plug from the susceptor edge on the HAT side of the EHTP, respectively. The thermocouples were taped to the susceptor during a preparation stage, involving careful disassembling, taping, and reassembling of the EHTP.
A total of 14 puffs were taken, of which two puffs were taken after the holder was switched off at the end of the puffing regimen. The susceptor surface temperature was determined based on the averaged thermocouple data for each time point from five replicates. The temperature was averaged over 10 mm of the susceptor length, omitting 1 mm on each extremity to avoid including extrapolated edge effects in the averaged results. This omission of these extremities results in a slight overestimation of the average susceptor temperature.
The tobacco substrate temperature in the EHTP during operation was also measured under the ISO 20778 machine puffing regimen (46). The temperature in the EHTP tobacco plug was measured at three radial positions (0.5 mm, 1.5 mm, and 3.5 mm from the susceptor surface) referred to as TC1, TC2, and TC3, respectively, and at three axial positions (front, middle, and back) for each radial distance as shown in Figure 3. For the axial positions, the tips of non-magnetic type K thermocouples of model TJC1-CAIN-IM025U-150-SMPW-M (Omega Engineering Inc., NJ, USA) with a diameter of 250 μm were positioned either halfway between the front and the back of the tobacco portion (middle position), 2 mm inside the tobacco plug from the front side of the tobacco portion (front position), and 2 mm inside the tobacco plug from the back edge (HAT side) of the tobacco portion (back position). The thermocouples were carefully inserted and positioned at their respective distances from the susceptor surface from the rear end of a disassembled EHTP that subsequently was reassembled. A total of 14 puffs were taken, of which two puffs were taken after the holder was switched off at the end of the puffing regimen. Five replicates were carried out for each position.

Schematic representation of the positions of the thermocouples in the EHTP tobacco plug. The thermocouples TC1, TC2, and TC3 were radially positioned 0.5 mm, 1.5 mm, and 3.5 mm from the susceptor in the tobacco plug, respectively. The temperature in the tobacco substrate was measured at these three radial positions at three axial positions (front, middle, back).
EHTP: electrically heated tobacco product; TC: thermocouples; THD: tobacco heating device.
The tobacco substrates of EHTPs were visually inspected before and after use to identify whether any ash was visually observable after product use. The extraction of the tobacco was done by cutting and opening the EHTPs longitudinally. The tobacco portions from five unused EHTPs were extracted, spread out on flat support, and photographed to represent fresh (un-heated) tobacco substrate. To simulate product use, five EHTPs were operated as part of the THS 3.0 under an ISO 20778 machine puffing regime. After removal of the EHTP from the THD, followed by a cooling period, the heated tobacco substrate was extracted from each EHTP, spread out on flat support, and photographed. The optical photographs were taken with a Nikon D7200 camera with a Nikon AF-S DX Micro NIKKOR 40mm f/2.8G lens. Sample illumination was solely provided by artificial lighting in the laboratory. A very small aperture (F 1:25) was used to maximize depth of field, granting details across the entire depth of the image. As the samples were immobile, an exposure time of 1 s was applied to avoid additional lighting, which could have resulted in reflections. To minimize artificial noise in the image, the photographs were acquired using an ISO 100 sensitivity setting. The chosen focal length of 40 mm allowed a sufficiently small perspective distortion to assume the length of features to be close to the same across the captured image. The captured images were thereafter visually inspected to determine whether any ash was visible in the heated tobacco substrate.
To evaluate whether combustion of the tobacco substrate in the EHTP occurs when used as part of the THS 3.0, the levels of a selection of compounds (CO, NO, NOx, and benzo[a]pyrene) were analyzed in the aerosol emitted during product operation under oxidative (synthetic air) and non-oxidative (nitrogen) atmospheres. CO, NO, and NOx were selected as analytes as they are compounds known to be emitted at high levels during combustion and have thresholds specified as absence of combustion criteria in national standards for HTPs, such as the BSI PAS 8850:2020 (33). Benzo[a]pyrene was selected as being representative of polycyclic aromatic hydrocarbons (PAH) that are typically formed during high-temperature pyrolysis and combustion processes (16, 45, 47), even if it has been reported to also be present on tobacco leaves due to environmental contamination during growing and curing, and can be emitted at low levels from tobacco during heating, independent of the oxygen availability (34, 48).
The aerosol collection for the tests under oxidative (synthetic air) and under non-oxidative (nitrogen) atmospheres was performed in a dedicated cabinet with four ports - LM4E Linear E-Cigarette Vaping Machine & Inert gas module (Borgwaldt KC GmbH, Hamburg, Germany). The cabinet was developed specifically to allow a comparison of the performance of products under different controlled atmospheres (e.g., nitrogen or synthetic air). Aerosol from THS 3.0 was generated by applying the ISO 20778 machine puffing regimen and was directly collected into dedicated collection bags from five total accumulations (sticks), ready to be measured without any further preparation with dedicated sensors. The total yields of the selected analytes in the collected aerosol were analyzed using a CO & CO2 Gas Analyzer (Emerson Electric Co., St. Louis, USA), and an NO & NOx Analyzer CLD811 (ECO Physics AG, Dürnten, Switzerland).
In addition to the CO, NO, and NOx analyses performed with the use of online sensors, benzo[a]pyrene was analyzed with an offline gas chromatography-mass spectroscopy (GC-MS) method. Quantitative determination of benzo[a]pyrene in THS 3.0 mainstream aerosol was performed using the same LM4 Linear E-Cigarette Vaping Machine equipped with the inert gas module. THS 3.0 aerosol was generated according to the ISO 20778 machine puffing regimen and collected on a Cambridge filter pad. The Cambridge filter pads were transferred into amber 20 mL headspace vials with magnetic screw caps. After collection, compounds of interest were extracted with 15 mL hexane followed by two clean-ups of the extract with a solid phase extraction cartridge. Two solid phase extraction (SPE) cartridges were used: Bond Elut (NH2) 1 g; volume: 3 mL and HF Bond Elut (C-18) 500 mg; volume: 3 mL from Agilent (Santa Clara, CA, USA). The extracted sample was subsequently analyzed by a gas chromatography-electron ionization mass spectrophotometer (Shimadzu GCMS-QP2010 Ultra, Kyoto, Japan) in selective ion monitoring mode, with splitless injection mode and using a DB-17MS column, 30 m × 0.25 mm ID × 0.15 μm (J&W Scientific, Agilent, Santa Clara, CA, USA) to determine benzo[a]pyrene concentration. The results were reported as nanograms of benzo[a]pyrene per stick (ng/stick).
The CO/CO2 ratio in aerosol emissions is commonly used as a signature of the presence of oxidation reactions, and in particular, smoldering combustion delivers well-defined CO/CO2 ratios for solid fuels (16). The CO/CO2 ratio does not depend on potential dilutions in the system. The levels of CO and CO2 in the aerosol generated during operation of THS 3.0 in air were also measured puff-per-puff using Fourier transform infrared spectroscopy (FTIR) with a Gasmet™ DX-4000 Multicomponent gas analyzer (Gasmet Technologies Oy, Vantaa, Finland) and a programmable-dual syringe pump (PDSP, Burghart Messtechnik GmbH, Holm, Germany) for two puffing regimens directly connected to the gas analyzer. Both the ISO 20778 and an extreme machine puffing regimen (80 mL puff volume, 2.4 s puff duration, 25 s inter-puff interval, 14 puffs) were used to evaluate the influence of the puffing regimen on the operating conditions of the THS 3.0 via the CO and CO2 yields. The PDSP was used to generate the aerosol from the THS 3.0 according to a specified puffing regimen. Once generated, the aerosol was mixed in a continuous flow of nitrogen (N2) gas at ~4.0–4.3 L min−1. During operation, the entire instrument (composed of heated tubes, the gas analyzer, and a heated pump) was heated up to 180 ± 1 °C to avoid condensation of the vapors in the instrument. Any remaining aerosol components not vaporized were filtered out by the heated filter. During measurement, the spectrometer acquired an absorption spectrum at a frequency of 1 s, which was immediately deconvoluted to quantify CO and CO2 using a reference library containing reference spectra for given concentration, temperature, pressure, and optical path length for each chemical. The puff-per-puff yields of the analyzed constituents were determined from the recorded FTIR spectra using the Calcmet™ PRO software (version 12.171 Analysis Module 4.42.2).
As smoke can be characterized by the presence of carbonaceous solid particles generated during combustion and its associated high-temperature pyrolysis (16) of biomass, a study was conducted to assess whether or not such solid particles are generated during THS 3.0 operation. As a negative control, blank tests (using ambient air) were carried out in the same system, without the THS 3.0. As a positive control, 1R6F reference cigarettes from University of Kentucky (Lexington, KY, USA) were smoked under the ISO 20778 machine puffing regimen, and the resulting mainstream smoke was collected and analyzed. The method used is described in detail by (2) and (37). A short description is provided here and is schematically depicted in Figure 4. The method is based on a Dekati thermodenuder operated at a temperature of 300 °C to remove volatile compounds in the aerosol, which is coupled with a dedicated trapping system to collect any non-volatilized particulate matter remaining. The test item (THS 3.0 or reference 1R6F cigarette) was connected to a PDSP (Burghart Messtechnik GmbH, Holm, Germany) and the ISO 20778 machine puffing regimen (10 puffs for 1R6F reference cigarettes and 12 puffs for the THS 3.0) was applied. The outlet of the PDSP was connected to two subsequent aerosol diluters (TSI Inc., Shoreview, MN, USA), each operating at a volumetric flow rate of 5 L min−1 with a dilution ratio set to 100, resulting in a combined flow rate of 10 L min−1 and a dilution factor of 10,000 to avoid impacting the thermodenuder gas stripping efficiency. The thermodenuder is comprised of a 1 m long curved, and a 1 m long straight tubing heated at 300 °C embedded in a thermally insulated material, followed by a 0.60 m long gas stripper enabling volatiles to be captured on active carbon-based replaceable filters to minimize recondensation and secondary reactions. To efficiently trap the volatiles on the carbon-based filters, 70 L min−1 of compressed air at room temperature was applied in the housing of the thermodenuder. The flow of thermodenuded aerosol was then split equally to a filter-protected vacuum pump and a two-stage impactor trap system (49) using a TSI 3708 4-way flow splitter (TSI Inc., Shoreview, MN, USA). The impactor trap contains two stages with defined nozzle sizes, distance between nozzles, and collection surfaces. This trap allows the separation of any remaining particulate matter in the thermodenuded aerosol into two size ranges: supermicron in the first stage and submicron in the second stage. The polished sampling surfaces are made of vitreous carbon to minimize X-ray background noise. The cleanliness of the sampling surfaces was verified from visual observation using a scanning electron microscope (SEM) prior to assembling the impactor traps. The aerosol generation and sampling process were carried out at Philip Morris Products S.A. Research facilities (Neuchâtel, Switzerland). Analysis of the sampling surfaces were subsequently carried out by Microscan Service S.A. (Renens, Switzerland) using Field Emission SEM (Sigma from ZEISS; with a resolution of 1 nm) equipped with an Energy Dispersive Spectroscopy detector (EDS X-Max (N) 150 mm2, Oxford Instruments, Abingdon, United Kingdom) for elemental composition determination. The SEM was operated at an acceleration voltage of 5 kV using automatic analysis software AZtec-feature (version AZtec 5.1, Oxford Instruments) to count potential particles. For the SEM analysis, only particulate matter larger than 20 nm in diameter was considered owing to the instrument's size resolution (2). In total, nine sample analyses were performed, corresponding to the three sample types tested over three different days. One replicate was performed for each sample type (blank, THS 3.0, 1R6F reference cigarette) for a given testing day (day 1, day 2, or day 3). For each determination, three randomly selected areas of analysis with a representative number of particles located on the impactor substrate stage two were analyzed to detect the potential presence of submicron particulate matter. For each of the nine samples, an average value of the detected particle number concentration per mm2 of the analyzed area and a standard deviation were calculated based on the three representative areas analyzed. An analysis of variance evaluation based on LEVENE'S test (50) was carried out to determine the day-to-day variance homogeneity. A confidence level of 99% was chosen for all statistical tests to reduce false negatives (1%). The representative numbers of detected particulate matter for the different sample types (blank, THS 3.0, and 1R6F cigarettes) were compared to determine whether they were statistically different.

Thermodenuded aerosol method: mainstream aerosol generation, thermodenuding, and collection (extracted from (37)).
The average temperature of the susceptor's surface, based on five replicates, is shown in Figure 5. During the calibration step of the 25-s pre-heating phase, the average susceptor temperature reached 359 °C. After the preheating phase, the average susceptor temperature reached 352 °C towards the end of the 6-min puffing regimen. The highest average susceptor temperature determined after the pre-heating phase in a single replicate was 366 °C.

Average susceptor temperature based on temperature data measured on the susceptor surface for five replicates.
The lines represent the average values, and the shaded areas indicate the range between ± one standard deviation.
The peaks and troughs observed during the pre-heating phase in Figure 5 result from the susceptor calibration and recalibration procedures. The observed peaks during these calibration and recalibration steps last 1–2 s with the susceptor temperature returning to the setpoint temperature rapidly after the calibration procedure is completed. During puffing, the ambient air drawn into the EHTP during each puff is shown to momentarily cool down the susceptor in Figure 5. This is visible by the troughs in the average surface temperature curves at the moments when puffs are drawn through the product. These dips in the susceptor surface temperature when puffs are taken clearly indicate a cooling effect on the susceptor and a net endothermic behavior.
The need for the input of electrical energy (endothermicity) for the THS 3.0 to operate can be seen in Figure 5 when the power to the heating element turns off. Once the holder is turned off, the susceptor's temperature decreases rapidly even when puffs are continued to be drawn, indicating that combustion of the tobacco substrate in the EHTP has not occurred during the operation of the THS 3.0.
B
The measured heater temperature, shown in Figure 5 for THS 3.0, is comparable to the THS 2.2 heater temperature profile (34, 40) except for the peaks and troughs resulting from the susceptor calibration procedure in THS 3.0. The recorded heater temperatures in both THS 2.2 and THS 3.0 show a rapid decrease immediately after the heaters are switched off, demonstrating that there is no net exothermic (heat generating) process occurring when heating a tobacco substrate in either system.
As shown in Figure 6 a, b, and c, the temperature in the EHTP is highest close to the susceptor's surface and decreases with increasing radial distance from the susceptor similarly to the temperature measured for THS 2.2 (34, 40). In the tobacco plug, the average temperatures at 0.5 mm from the susceptor reached 292 °C at the front position (TC1 front), 337 °C at the middle position (TC1 middle), and 293 °C at the back position (TC1 back). At 1.5 mm from the susceptor, the average temperature in the tobacco plug at the front, middle, and back positions reached 238 °C (TC2 front), 257 °C (TC2 middle), and 256 °C (TC2 back), respectively, while at the exterior part of the EHTP tobacco plug (3.5 mm from the susceptor surface), the average temperatures reached 180 °C (TC3 front), 197 °C (TC3 middle), and 193 °C (TC3 back) at the front, middle, and back positions, respectively.

Measured temperatures at (a) the front axial position, (b) the middle axial position, and (c) the back axial position at three different radial positions. The lines represent the average values of five replicates, and the shaded areas indicate the range between ± one standard deviation for each position.
During puffing, the ambient air drawn into the EHTP during each puff cools down the front part of the susceptor and EHTP tobacco plug, leading to troughs in the temperature curves measured at the front position (Figure 6a). These dips in the temperature when puffs are taken clearly indicate that the increased oxygen availability during puffs does not lead to a net exothermic behavior, but rather to a cooling of the front part of the susceptor and the tobacco material. At the middle position, the cooling down of the susceptor and the EHTP tobacco plug during puffs is less pronounced, and sometimes small increases are observed in the temperature signals during puffing (Figure 6b). This is due to a redistribution of eddy currents (because of the dependence on temperature of magnetic permittivity) in the susceptor when the front part of the susceptor is cooled down, leading to a temperature increase towards the back part of the susceptor during puffing to maintain the overall conductance of the system. This effect is especially visible in the temperature data from the back position in Figure 6c, where the temperature is slightly increased during puffing at all measurement points. When the front part of the susceptor regains temperature after the puffs, these observed increases in the temperature during puffing are decaying by conductive heat transfer losses and readjustments of the eddy current distribution in the susceptor, while maintaining the overall apparent conductance of the system. The effect of the redistribution of eddy currents in the susceptor on the thermal distribution over the susceptor surface during puffing is shown in Figure S1 in the supplemental information.
The need for externally provided electrical energy for the THS 3.0 to operate can be seen in Figure 6 when the power to the heating element was turned off and the temperature of the tobacco material was measured. Once the holder is switched off and puffs are continued to be drawn, the temperature decays rapidly indicating that there is also no combustion occurring in the EHTP when the device is switched off. This clearly demonstrates the net endothermicity of the system and indicates that no smoldering combustion of the tobacco material, which is an exothermic (heat generating) process, occurs. The rapid decay in temperature after the heater switched off is comparable to the behavior observed in THS 2.2 (34, 40).
As shown in Figure 6, the temperatures measured at the various locations in the tobacco portion of the EHTP are significantly below the ignition temperature of cast-leaf tobacco, extensively reported to be around 400 °C or above (16, 19, 34, 42, 45, 51, 52). The thermal conversion of the tobacco substrate in the THS 3.0 is therefore net endothermic and dominated by evaporation and endothermic degradation processes.
After combustion of solid organic material, such as tobacco, has occurred, a residue of ash composed of inorganic compounds originally present in the tobacco substrate typically remains. Since the EHTP tobacco material is heated and not combusted, the structural integrity of the EHTP is retained after use. Figure 7 compares the tobacco substrate extracted from EHTPs before (top row) and after having been used in a THS 3.0 (bottom row). It can be observed that the tobacco substrate closest to the susceptor darkened in color after having been heated. In contrast to combusted cigarettes, no ash is observed in used EHTPs, as shown in Figure 7. It can also be seen in Figure 7 that the tobacco used in EHTPs is darkened by thermal processing. Darkening of the tobacco substrate without visible ashes (i.e., no light gray spots) was found to be independent of the oxygen availability when the tobacco substrate was heated below 400 °C in a system with a similar EHTP configuration and heat and mass transfer conditions (45). In that study, clear signs of ashes visible as light gray spots in the thermally degraded tobacco substrate were only observed for heater set temperatures of 425 °C and above. The darkening of the tobacco substrate observed after having been thermally degraded during THS 3.0 operation is also comparable to that observed after operation of the THS 2.2 (34, 40) and has been reported to occur at temperatures between 200–250 °C. The structural integrity and the absence of ash formation on the tobacco substrate in the EHTP provide additional evidence of the low-temperature processes occurring when the tobacco is heated in THS 3.0.

Optical photographs of tobacco portions extracted from unused EHTPs (top row) and used EHTPs (bottom row) for five replicates.
To evaluate whether combustion of the tobacco substrate in the EHTP occurs when used as part of the THS 3.0, the levels of a selection of compounds (CO, NO, NOx, benzo[a]pyrene) were analyzed in the aerosol emitted during product operation under oxidative (air) and nonoxidative (nitrogen) atmospheres. As shown in Table 1, the levels of CO, NO, NOx, and benzo[a]pyrene measured are comparable when the EHTP is heated in the THD under atmospheres of air and nitrogen under an ISO 20778 machine puffing regimen. The levels of these constituents generated in air are also orders of magnitude lower than when a 1R6F reference cigarette is smoked. The levels of CO, NO, NOx, and benzo[a]pyrene in the emissions from the EHTP are only 0.66%, 1.6%, 1.5%, and 5.0% of the levels found in the mainstream smoke from a combusted reference 1R6F cigarette, respectively.
CO, NO, NOx, and benzo[a]pyrene in reference cigarette smoke and in THS 3.0 aerosol under oxidative and non-oxidative atmospheres and ISO 20778 machine puffing regimen.
| Constituents | Units | 1R6F in air | EHTP in air | EHTP in nitrogen | |||
|---|---|---|---|---|---|---|---|
| Average | Standard deviation | Average | Standard deviation | Average | Standard deviation | ||
| CO | mg/unit | 28.91 | 2.14 | 0.19 | 0.01 | 0.14 | 0.00 |
| NO | μg/unit | 453.39 | 18.55 | 7.40 | 0.26 | 10.37 | 0.26 |
| NOx | μg/unit | 520.06 | 41.96 | 7.99 | 0.36 | 9.86 | 0.24 |
| Benzo[a]pyrene | ng/unit | 14.22 | 0.85 | 0.71 | 0.04 | 0.76 | 0.02 |
The low and comparable levels of CO reported in Table 1 for the THS 3.0 operated in air (0.19 mg/EHTP) and nitrogen (0.14 mg/EHTP) are of the same magnitude as emissions reported when tobacco is heated and not combusted (16, 19, 45). B
The NO (7.40 μg/EHTP) and NOx (7.99 μg/EHTP) yields reported in Table 1 for THS 3.0 when operated in air are in the same magnitude as those reported for THS 2.2 by C
A comparison of the levels of CO, NO, and NOx in the THS 3.0 aerosol to the maximum levels specified by BSI PAS 8850:2020 is presented in Table 2.
Comparison of analytes' concentrations in the THS 3.0 aerosol to maximum levels prescribed by BSI PAS 8850:2020 (33) under ISO 20778 machine puffing regimen.
| Analyte | Units | THS 3.0 aerosol in air | BSI PAS 8850:2020 emission thresholds | ||
|---|---|---|---|---|---|
| Average | Standard deviation | Maximum emission level | Confidence interval | ||
| CO | mg/100 cm3 | 0.029 | 0.0015 | < 0.3 | 25% |
| NO | μg/100 cm3 | 1.12 | 0.0394 | < 4.0 | 25% |
| NOx | μg/100 cm3 | 1.21 | 0.0545 | < 5.0 | 25% |
As shown in Table 2, the concentrations of the three analytes in the aerosol emitted by the EHTP when heated in the THD are significantly below the maximum thresholds defined in PAS 8850:2020. The EHTP, when operated as part of THS 3.0, therefore satisfies the criteria of a non-combusted tobacco product according to the PAS 8850:2020. The other available national standards for HTPs mentioned previously that include emission thresholds are based on the same thresholds as the PAS 8850:2020 for the analytes considered in the respective standards. Therefore, the EHTP, when used as part of the THS 3.0, meets the absence of combustion requirements and is thus categorized as an HTP according to available mandatory and voluntary national standards for HTPs.
The low level of benzo[a]pyrene (0.71 ng/EHTP in air and 0.76 ng/EHTP in nitrogen) measured in the THS 3.0 aerosol is comparable to the yield measured in the THS 2.2 aerosol by C
The CO/CO2 ratio in the aerosol generated during operation of THS 3.0 in air can be determined from CO and CO2 yields measured on a puff-per-puff basis. The two regimes used to evaluate the influence of the puffing regimen on the operating conditions of the THS 3.0 via the CO/CO2 ratio are the ISO 20778 machine puffing regime (55 mL puff volume, 2 s puff duration, 30 s inter-puff interval) and an extreme machine puffing regime (80 mL puff volume, 2.4 s puff duration, 25 s inter-puff interval) resulting in 12 and 14 puffs for the two regimes, respectively. As shown in Figure 8, the CO/CO2 ratio is below 0.1 for both puffing regimes for all puffs. This is consistent with the yields per puff for when tobacco is heated from the inside in an electrically heated system without combustion (45). Should there have been combustion occurring, the CO/CO2 ratio would have been around 0.25–0.55 as reported by B

CO/CO2 ratio for the THS 3.0 aerosol on a puff-per-puff basis under air using (a) ISO 20778 and (b) extreme machine puffing regimens.
From the statistical evaluation, the variance associated with blank samples was homogeneous (P < 0.011) and averages from different days were not statistically different with a confidence level of 99% (Fisher test: P < 0.319). Likewise, THS 3.0 samples' variance was homogenous (P < 0.766), and averages from different days were not statistically different with a confidence level of 99% (Fisher test: P < 0.911). Finally, for 1R6F samples, the same conclusions could be drawn for the variance homogeneity (P < 0.481) that the averages from different days were not significantly different with a confidence level of 99% (Fisher test: P < 0.032). Therefore, it can be concluded that from each of the samples tested, a single average value with a standard deviation could be obtained from the pooled samples from the different days.
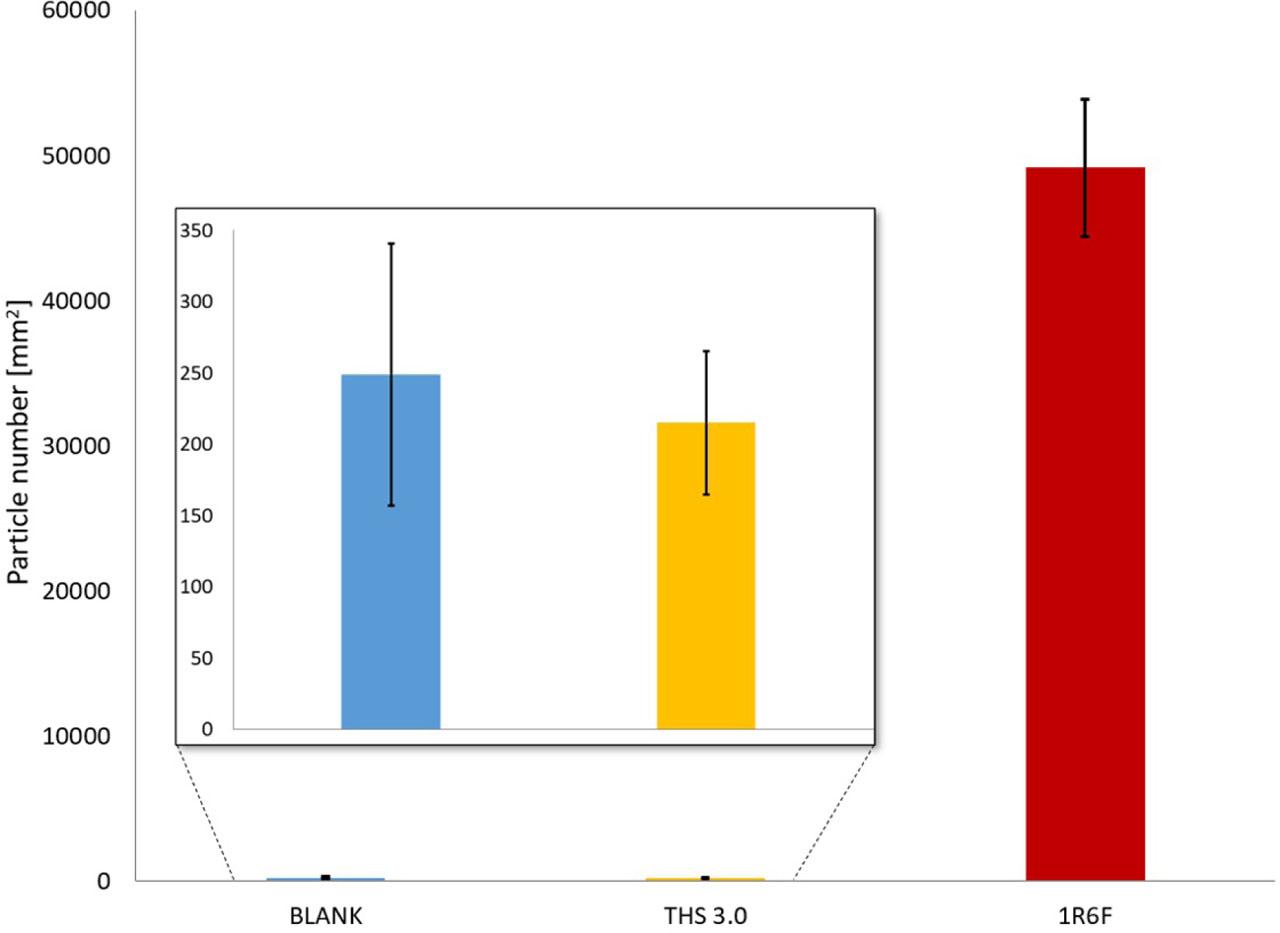
Subsequently, the average values for each sample type (i.e., blank, THS 3.0, and 1R6F, all pooled for all testing days), were compared with each other to assess whether or not the thermodenuded aerosol from THS 3.0 was equivalent to the blank and different from thermodenuded 1R6F smoke. A high number of solid particles was detected from the trapped thermodenuded 1R6F cigarette smoke (average ± standard error of the mean (SEM), 49,172 ± 4,706) compared to a significantly lower number of particulate matter from the blank sample (average ± SEM, 249 ± 92) and the THS 3.0 sample (average ± SEM, 215 ± 50). The particulate matter number concentration for the blank and thermodenuded THS 3.0 samples were lower than 0.6% of the particle number concentration of the thermodenuded 1R6F smoke. The average number of detected particulate matter in the thermodenuded THS 3.0 aerosol was found to not be statistically different (P < 0.944) compared to the blank sample (at the confidence level of 99%), while the average value of the detected particulate matter for thermodenuded 1R6F smoke was statistically different (P < 0.001) compared to both the blank sample and the thermodenuded THS 3.0 aerosol (at the confidence level of 99%), see Figure 9. Thus, it can be concluded that the particulate matter obtained for the thermodenuded THS 3.0 aerosol is equivalent to the blank and that no carbon-based solid particles originating from the heating of the tobacco substrate were detected. Elemental composition analysis with EDS detector revealed that the observed solid particles in the thermodenuded 1R6F smoke were essentially composed of carbonaceous and organic matter and potassium compounds, together in association with chlorine and sulfur compounds. In contrast, the particulate matter detected in both the blank and thermodenuded THS 3.0 aerosol samples was predominantly composed of silicon oxide, silicates, and other oxides in association with sodium, potassium, and magnesium.

The number of particles counted per mm2 for the blank air sample (blue), thermodenuded aerosol from THS 3.0 (yellow), and thermodenuded 1R6F reference cigarette smoke (red) reported as pooled average with the error bars representing ± one standard deviation.
The carbonaceous solid particles (soot) detected in smoke are formed from PAHs acting as precursors via complex reactions involving several steps, including gas-phase chemistry, nucleation, surface growth, oxidization, coalescence, and aggregation (56,57,58,59,60,61,62,63,64) under certain conditions at high temperatures during the incomplete combustion (58). Almost all combustion processes found in nature, including smoldering combustion of biomass, such as tobacco, are incomplete combustion processes (65,66,67,68,69). Incomplete combustion occurs when there is an insufficient supply of oxygen to completely oxidize all carbonic fuel leading to the production of incompletely oxidized carbon compounds. Incomplete combustion products include CO, PAHs, NOx, polychlorinated aromatics, hexachlorobenzene, hydrogen cyanide, alcohols, and ketones (1, 65,66,67,68,69,70,71,72,73). Some of these products, like PAHs, contribute to the formation of fine solid and liquid particulate matter, which together with all emitted gaseous compounds constitute smoke (1, 9, 11, 14, 16, 64,65,66,67,68,69,70,71,72,73,74). For soot particle formation to occur when heating lignocellulosic biomass such as tobacco, the gas molecules acting as precursors for soot formation need, therefore, to be emitted at high enough concentrations, and the heating temperature needs to be sufficiently elevated for the processes to occur (16). It was shown in a study by Z
As carbon-based solid particles formed at high temperatures during combustion are a hallmark and signature of smoke (16), the THS 3.0 aerosol being absent of such solid particles is therefore a liquid-based aerosol that is fundamentally different from smoke. This result is aligned with the findings by T
A rigorous scientific assessment based on fundamental physicochemical principles of combustion and aerosol formation has been carried out to substantiate that there is no combustion occurring in the tobacco substrate of the EHTP during THS 3.0 operation and that the emitted aerosol is not smoke but a liquid-based aerosol without carbon-based solid particles typically produced from high-temperature processes during the combustion of tobacco. The comprehensive substantiation is based on the following evidence:
CO, NO, and NOx emissions satisfy the absence of combustion criteria of available voluntary or mandatory product standards for HTPs issued by national standardization bodies.
No ignition of the tobacco substrate due to the heater temperature control that ensures the tobacco remains below its ignition temperature throughout THS 3.0 operation.
Net endothermic degradation as there is no sign of heat being generated by the tobacco substrate and the temperature immediately drops after the heater is switched off.
No ash formed in the heated tobacco substrate after product operation.
Comparable emissions, in oxidative and non-oxidative atmospheres, demonstrating that there is no substantial influence of oxygen on the product's functioning and the resulting emissions when the THS 3.0 is operated and used as intended.
CO/CO2 ratio below 0.1, based on a puff-per-puff yield basis, which is typical for tobacco heated without combustion.
No carbon-based solid particles generated, demonstrating that the resulting emission is a liquid-based aerosol that is not smoke.
In addition to substantiating the absence of combustion in THS 3.0 during operation and that the produced aerosol is not smoke, the systematic assessment methodology presented in this paper may serve as guidance on how to rigorously and consistently assess absence of combustion and absence of smoke for HTPs.
Mandatory HTP standards: Armenia (HST 408-2021), Bahrain (BH 2:2021), Egypt (National Standard 8305-2:2019 “General Requirements of Conventional Cigarettes Alternatives Part II. Heated Tobacco”), Jordan (National Standard DJS 2276:2019 “Heated Tobacco Products and Their Devices”), Lebanon (Technical Regulation Heated Tobacco Products), the Philippines (PNS BSI PAS 8850:2022), Saudi Arabia (Technical Regulations for Electronic Smoking Devices; SFDA.FD 5005:2020), Tajikistan (National Standard ST CHT 1117-2021 “Nicotine containing products. Heated tobacco products. Technical specifications”), Tunisia (Exigences et méthodes d'essai relatives aux produits de Tabac chauffé et aux dispositifs de chauffage du tabac), United Arab Emirates (UAE.S 5030:2018), Uzbekistan (O'z DSt 3517:2021).
Voluntary HTP standards: Algeria (NA 19478:2022), Azerbaijan (AZS 963:2024), Columbia (NTC 6514), Costa Rica (INTE Q190:2021), Dominican Republic (NORDOM 65-5-016), Indonesia (SNI 8946), Kazakhstan (National Standard ST RK 3304-2018 “Nicotine containing products. Heated tobacco products. Technical specifications”), Kyrgyzstan (National Standard KMS ST RK 3304:2019 “Nicotine containing products. Heated tobacco products. Technical specifications”), Morocco (ST 08.8.100: 2022), Russia (National Standard GOST R 57458-2017 “Heated Tobacco. General Specifications”), Ukraine (National Standard DSTU 8738:2017 “Heated Tobacco. General Specifications”), United Kingdom (BSI PAS 8850:2022), Vietnam (National Standard TCVN 13156:2020 “Heated tobacco products - specifications”).