The recent emergence and rapid growth in the numbers of products designed to offer safer alternatives for adult smokers who cannot, or do not wish to, stop smoking, requires a concomitant science-based, due diligent assessment.
Evaluating the chemical properties of a product’s aerosol is a key step for assessing and substantiating the potential for lowering the user’s exposure to harmful and potentially harmful constituents (HPHCs). In this investigation, the composition of the aerosol generated by the Tobacco Heating System 2.2 (THS 2.2), a heated tobacco product developed by Philip Morris Products S.A. and commercialized under the brand name IQOS, has been compared with the composition of cigarette smoke over a broad range of machine-smoking regimes. A normalized approach was used, allowing cross-comparison of multiple regimes to determine the reduction of HPHC levels between THS 2.2 aerosol and cigarette smoke, the latter represented by the 3R4F reference cigarette (University of Kentucky, Kentucky Tobacco Research and Development Center). Unlike cigarettes, THS 2.2 uses a precisely controlled heating device into which a specially designed tobacco product, the tobacco-stick, is inserted and heated to generate an aerosol. The adjustment of machine-smoked HPHC yields in relation to nicotine yield (nicotine-adjusted yield, expressed as HPHC yield per milligram of nicotine) is commonly used to express the level of toxicants to which cigarette smokers would be exposed (1, 2). Reporting THS 2.2 HPHC deliveries as nicotine-adjusted yields is a suitable approach for comparing products with similar nicotine content, however, the levels of nicotine delivered by products designed as alternatives to smoking may be very different. For example, electronic cigarettes may use e-liquids containing from zero to several percent nicotine. It is also interesting to mention the authorization of new tobacco products (e.g., FDA press release on December 17, 2019), which are combustible, filtered cigarettes that contain a reduced amount of nicotine compared to typical commercial cigarettes. Therefore, reporting HPHC yields normalized by total puff volume was considered as an alternative normalization approach, relevant for situations where nicotine-adjusted yields would be considered as providing an inaccurate comparison between different products, particularly if the comparisons were conducted over a broad range of machine-smoking conditions. Although comparative assessments are still often reported on a nicotine-adjusted basis to accommodate different reporting requirements, it is important to mention that yields on a nicotine-adjusted basis would not necessarily account for any compensatory behavior (either to obtain more nicotine from lower concentration liquids or less nicotine from higher concentration liquids). For instance, the study of compensatory behavior conducted with experienced e-cigarette users, was found to be partially effective (3) or unclear (4).
The proposed normalization approaches for the assessment of robustness for HPHC reduction included the transformation of HPHC yields into aerosol/smoke HPHC concentrations, and the representation of HPHC yields in relation to the observed nicotine yields. The concept for the use of aerosol/smoke concentrations is based on the arithmetical division of the HPHC yields by the total amount of aerosol generated, as described by B
The aim of the present study was to characterize robustness by evaluating HPHC reduction consistency over multiple regimes, firstly by comparing relative reductions using the average for all investigated HPHCs, and secondly by determining the levels of reduction for each HPHC individually, with respect to predefined ‘robustness’ limits. The intention was to characterize the performance of THS 2.2 for reducing the levels of HPHCs, with a focus on puffing intensities that exceeded the intensity of the Health Canada intense (HCI) regime. It is important to understand that the volume-adjusted approach is meaningful only when used to assess products in accordance with their intended mode of operation and possible usage conditions. For instance, by design, each tobacco stick can be used in THS 2.2 for a maximum of 6 min, or for a maximum of 14 puffs, whichever comes first. Testing the product for longer than 6 min, or taking more than 14 puffs, would be incorrect and would adversely influence the determination of volume-adjusted HPHC concentrations. Most important, the objective of this study was not to determine the absolute performance for the reduction of HPHC levels in THS 2.2 aerosol compared to 3R4F smoke. Instead, the aim was to characterize the robustness of these reductions in HPHC concentrations, compared to cigarette smoke, when using THS 2.2 over a range of high intensity puffing regimes. In addition, considering the novelty of the approach, multiple smoking regimes were also applied for the 3R4F reference cigarette, in order to verify the influence of smoking regime upon volume-adjusted HPHC concentrations for cigarettes. Considering the influence of puff volume and filter ventilation on constituents yields measured in mainstream cigarette smoke (6), the possible lack of robustness for volume-adjusted HPHC yields in 3R4F smoke required a careful consideration when determining the robustness for HPHC reductions in THS 2.2 aerosol.
The reference cigarette used was 3R4F, supplied by the University of Kentucky (University of Kentucky Center for Tobacco Reference products, Lexington, KY, USA; http://www.ca.uky.edu/refcig/).
Commercially produced non-mentholated (regular) tobacco-sticks, known as HeatSticks or HEETS, designed for use with the THS 2.2 device were used. Published studies (7, 8) describe in detail the design and functionality principles for THS 2.2.
In one published study (9) an established list of principal aerosol/smoke constituents and 54 relevant HPHCs was used to assess the levels in THS 2.2 aerosol, compared to the mainstream smoke of the 3R4F reference cigarette. The same list of 54 relevant HPHCs (Supplementary information Table S 1) was considered in the present study.
The HCI regime is the machine-smoking regime commonly used as a reference, which was designed to generate emissions under a more intensive set of smoking parameters that would provide a ‘maximum’ exposure limit that could be exceeded by very few smokers. However it is widely recognized that even such an ‘intensive’ regime does not adequately represent the extremes relevant for human smoking behavior. Without specific standards and recommendations for testing robustness, alternative puffing regimes used to generate THS 2.2 aerosol were selected based on human puffing conditions observed with users (7), including an extreme regime representing very high-end usage conditions (110 mL puff volume, 4.5 s puff duration, 22 s puff interval). The most extreme regime used to generate 3R4F mainstream smoke (80 mL puff volume, 2.4 s puff duration, 25 s puff interval) was selected to exceed alternative high-end regimes used in previously reported cigarette studies (10, 11).
The HCI standard requires 100% occlusion of cigarette filter ventilation. For this investigation, both 100% and 50% occlusion of 3R4F filter ventilation was applied for each regime used, to evaluate the influence of this parameter on the robustness for HPHC reduction. Blocking ventilation was out of context for THS 2.2 because the tobacco-stick is designed without ventilation.
The analyses were performed at Labstat International ULC (Kitchener, Ontario, Canada), an ISO/IEC 17025:2005 (12) laboratory accredited for all the mandated tobacco-related Health Canada methods (13). The cigarettes and tobacco-sticks were conditioned according to ISO 3402:1999 (14). The test methods and method modifications for the analysis of THS 2.2 aerosol and 3R4F mainstream tobacco smoke are referenced in Supplementary information Table S 1 and were applied as described therein.
Five replicates were used for the analyses, unless specified otherwise.
Five different regimes described in Table 1 were used to generate THS 2.2 aerosol: augmented regime (A), extreme regime (E), high regime (H), intense regime (N) and low regime (L). These arbitrary names were defined for the identification of standard and non-standard regimes used for the aerosol generation of THS 2.2. Regimes L and N applied to THS 2.2 were representative of the puffing conditions for the ISO (ISO) and Canada Intense (HCI) standards, respectively. The THS 2.2 system is programmed to finish heating after a maximum period of 6 min or after 14 puffs, whichever comes first. Accordingly, the puff intervals applied for the ISO (60 s) and HCI regimes (30 s) resulted in the generation of 6 puffs and 12 puffs, respectively.
Machine-smoking parameters used for the generation of THS 2.2 aerosol
| Parameter (Unit) | Regime | ||||
|---|---|---|---|---|---|
| Low L(ISO) | Normal N(HCI) | Augmented A | High H | Extreme E | |
| Puff volume (mL) | 35 | 55 | 60 | 80 | 110 |
| Puff interval (s) | 60 | 30 | 25 | 25 | 22 |
| Puff duration (s) | 2.0 | 2.0 | 2.4 | 2.4 | 4.5 |
| Puff number (n) | 6 | 12 | 14 | 14 | 14 |
Three different regimes described in Table 2 were used to generate 3R4F mainstream smoke. For each regime, 3R4F reference cigarettes were smoked with 50% and 100% ventilation occlusion, achieved by applying adhesive tape strips. Irrespective of the level of ventilation occlusion, the low regime (L) and the intense regime (N) represent puffing conditions for the ISO (ISO) and Health Canada Intense (HCI) standard regimes, respectively.
Machine-smoking parameters used for generation of 3R4F mainstream smoke
| Parameter (Unit) | Regime | |||||
|---|---|---|---|---|---|---|
| L(50) | L(100) | N(50) | N(100) | H(50) | H(100) | |
| Puff volume (mL) | 35 | 35 | 55 | 55 | 80 | 80 |
| Puff interval (s) | 60 | 60 | 30 | 30 | 25 | 25 |
| Puff duration (s) | 2.0 | 2.0 | 2.0 | 2.0 | 2.0 | 2.4 |
| Occlusion (%) | 50 | 100 | 50 | 100 | 50 | 100 |
The HPHC aerosol/smoke concentrations were calculated as mass per tobacco-stick normalized per total puff volume for each product, constituent, regime and replicate. The number of puffs multiplied by the volume of puffs determined the total puff volume. The number of puffs averaged between all items of a replicate was used for the 3R4F cigarette and the number of puffs predefined by the regime was used for the THS 2.2. These data were used for the entire evaluation process as described below. The mean and standard deviation of yields and volume-adjusted yields are reported in Table 6 and Table 7, respectively.
Nicotine-adjusted HPHC yields were calculated as mass per tobacco-stick normalized for the corresponding nicotine yield for each product, constituent, regime and replicate. These data were used for the calculation of average reductions for THS 2.2 versus 3R4F per regime, using data for all HPHCs combined. The mean and standard deviation of nicotine-adjusted yields are reported in Table 8.
Descriptive statistics per product and machine-smoking condition were computed for all HPHCs investigated in this study.
The relative reduction was defined as the reduction of the HPHC concentration in THS 2.2 aerosol compared with that in 3R4F cigarette smoke.
Statistical analysis Bayesian ANOVA (15, 16) was performed to assess the reduction of HPHCs across the different machine-smoking conditions. The mean concentrations and respective 0.95 confidence intervals for each HPHC were calculated for each of the five conditions tested for 3R4F and each of the six conditions tested for THS 2.2. Relative reductions for the levels of individual HPHCs and their respective 0.95 confidence intervals were calculated for the 30 combinations of conditions using Markov Chains produced by the Bayesian model (15, 17). For each of the 30 combinations, the average reductions were calculated for both nicotine-adjusted and volume-normalized yields using combined data from all the HPHCs measured. Pre-defined standard distributions, i.e. non-informative priors, were assigned to all Bayesian model parameters to match the classical frequentist modelling results. The Bayesian approach allowed the computation of uncertainty around complex statistical estimates.
SAS Enterprise Guide 7.1 was used for the statistical treatments, including Procedures MCMC and MIXED (18, 19) for the computation aspects.
Aerosol and smoke constituent values were estimated when they were below the limit of detection (LOD) and/or lower limit of quantitation (LOQ) of the analytical method. For the THS 2.2, the values used to calculate the relative reduction between THS 2.2 and 3R4F were imputed as follows: for results < LOD, the value was estimated by the LOD; for results < LOQ but > LOD, the value was estimated by the LOQ.
When more than two out of five replicate values used in the calculation of reduction were below the LOQ, the 0.95 confidence intervals were not reported. The number of acceptable values below the LOQ were considered individually in THS 2.2 and 3R4F emissions.
No HPHC reduction was reported for conditions presenting more than two out of five replicate values for 3R4F reference cigarette emissions below the LOQ.
Each HPHC was categorized to one of 11 individual threshold limits of robust reduction. The first threshold limit category was established for cases demonstrating a minimum of 50% reduction, and the next successive limits follow a progression using 5% increments until the last threshold limit being fixed at 99%.
The acceptance criteria in a category is the non-inferiority of the lower band of the 0.95 confidence interval of the HPHC reduction with the respective threshold limit. The test is unilateral and can detect non-inferiority with at least 0.975 probability. For each investigated HPHC, the highest threshold limit demonstrating non-inferiority of reduction for all regimes served to determine the threshold limit of robust reduction.
The dataset of smoke/aerosol constituent yields is available in Supplementary information Table S 2. Descriptive statistics for the concentrations of investigated constituents generated in THS 2.2 aerosol and 3R4F cigarette mainstream smoke are compiled in Supplementary information Table S 3 and Supplementary information Table S 4, respectively. These tables summarize the results for 57 analytes, including nicotine, glycerol, NFDPM and 54 HPHCs for all tested conditions.
The relative reductions of HPHC concentrations in THS 2.2 aerosol were calculated as a percentage of the concentration in 3R4F cigarette mainstream smoke. Out of 54 investigated HPHCs, 15 presented various proportions of determined values falling below the LOQ, and 13 caused computational limitations due to the preponderance of values below the LOQ. Supplementary information Table S 5 presents the imputed compounds and the proportions of cases per product. For nine HPHCs, the preponderance of imputed values resulted in computational optimization shortage, such that the 0.95 confidence intervals of reduction were not calculated. Instead, the results reported in Supplementary information Table S 6 for these nine compounds (2-aminonaphtalene, arsenic, cadmium, crotonalde-hyde, dibenz[a,h]anthracene, lead, quinoline, resorcinol and vinyl chloride) are the minimum and maximum reduction means observed over the combinations of regimes for the two separated groups of 3R4F filter ventilation occlusion. Since more than 90% of the values were below LOQ for both THS 2.2 and the 3R4F cigarette, the calculation of reduction was not applicable for chromium, nickel, nitrobenzene and selenium. Excluding these four HPHCs, the average reductions of HPHC concentrations were calculated across all smoking-machine regimes used to generate THS 2.2 aerosol and 3R4F smoke. For arsenic, dibenz[a,h]-anthracene, lead and resorcinol, no reductions were calculated for conditions including more than two out of five 3R4F replicates with values falling below the LOQ. As a consequence, the number of HPHCs used in the calculation of the average reductions changed between conditions (ranging between 46 and 50). Figure 1 summarizes the average HPHC reductions calculated for each regime combination based upon puff volume-adjusted yields (range 88.1% to 95.9%). Figure 2 summarizes the average HPHC reductions calculated for each regime combination based upon nicotine-adjusted yields (range 82.5% to 89.7%). For aerosol generated by THS 2.2 under the HCI regime (N), the average reduction in puff volume-adjusted HPHC concentrations relative to 3R4F was in the range 92.2% to 93.6% comparing all the regimes used for the 3R4F cigarette (87.3% to 89.1% using nicotine-adjusted data).
Figure 1
Average reduction of HPHC concentrations (puff volume adjusted yields) in THS 2.2 aerosol as a percentage of concentration in 3R4F cigarette mainstream smoke. Comparison between various combinations of regimes and two levels of filter ventilation occlusion for 3R4F (i.e., 50% and 100%). The respective puffing conditions identified by A, E, H, L and N are described in Table 1 and Table 2. The number of HPHCs (n) considered for the calculation of the average reductions varied between the different combinations of conditions.

Figure 2
Average reduction of nicotine adjusted HPHC yields in THS 2.2 aerosol as a percentage of concentration in 3R4F cigarette mainstream smoke. Comparison between various combinations of regimes and two levels of filter ventilation occlusion for 3R4F (i.e., 50% and 100%). The respective puffing conditions identified by A, E, H, L and N are described in Table 1 and Table 2. The number of HPHCs (n) considered for the calculation of the average reductions varied between the different combinations of conditions.

Applying more intense regimes than HCI to THS 2.2 (A, H and E), average reductions in the range from 93.1% to 95.9% were observed using puff volume-adjusted HPHC concentrations relative to 3R4F (88.1% to 89.7% using nicotine-adjusted data), irrespective of the smoking regime used for 3R4F. The puff volume-adjusted reductions for THS 2.2 under ISO conditions (L) were in the range 90.2% to 91.2% (84.7% to 86.2% using nicotine-adjusted data) when compared with 3R4F cigarette smoked with 100% occlusion of filter ventilation, and 88.1% to 89.5% (82.5% to 85.6% using nicotine-adjusted data) with 50% occlusion of filter ventilation. The influence of the cigarette filter ventilation has already been reported in a previous study comparing the ratio of emission concentrations between the HCI and the ISO machine-smoking regimes (5).
The poorest reduction performance achieved for individual HPHCs across all puffing regimes was used to define the threshold limit for robust reduction. For a first group of conditions, 3R4F cigarettes smoked with 100% occlusion of filter ventilation were used to calculate the relative reduction of HPHC concentrations in THS 2.2 aerosol. The 0.95 confidence intervals for reductions, calculated across all regimes, are reported in Supplementary information Table S 7.
Table 3 presents a summary of the threshold limit of robust reductions resulting from non-inferiority tests conducted over all the regimes where HPHC reductions were calculated with 3R4F cigarettes smoked with 100% occlusion of filter ventilation.
HPHCs categorized by threshold limit of robust reduction over all regimes (THS 2.2 vs. 3R4F 100% occlusion of filter ventilation).
| Compounds | n | Limit |
|---|---|---|
| 1,3-Butadiene, 1-aminonaphthalene, 2-aminonaphthalene, 3-aminobiphenyl, 4-aminobiphenyl, benzene, Cd, isoprene, o-toluidine | 9 | ≥ 99 |
| Acrylonitrile, CO, ethylene oxide, HCN, m-cresol, NNK, NNN, NO, NOx, p-cresol, quinoline, resorcinol, styrene, toluene, vinyl chloride | 15 | ≥ 95 |
| Acetone, acrolein, benzo[a]anthracene, benzo[a]pyrene, crotonaldehyde, hydroquinone, MEK, NAT, o-cresol | 9 | ≥ 90 |
| NAB, Pb, pyrene | 3 | ≥ 85 |
| As, catechol | 2 | ≥ 80 |
| Formaldehyde, propionaldehyde, pyridine, | 3 | ≥ 75 |
| Acetaldehyde, dibenz[a,h]anthracene, propylene oxide | 3 | ≥ 70 |
| Acetamide | 2 | ≥ 65 |
| Acrylamide | 1 | ≥ 60 |
| Ammonia, phenol | 2 | ≥ 55 |
| - | 0 | ≥ 50 |
| Butyraldehyde, Hg | 2 | < 50 |
Studies conducted in the framework of the reduced exposure assessment of THS 2.2 (20, 21) support the continued use of the HCI regime as it became apparent that the ISO smoking regime only represented the low end of THS 2.2 usage. Therefore, the calculation of threshold limits for robust reduction was repeated excluding data from the ISO regime (c.f. summary in Table 4), the intention being to characterize THS 2.2 reduction robustness under puffing intensities at and beyond the HCI regime.
HPHCs categorized by threshold limit of robust reduction under HCI and more intense regimes and excluding ISO regime (THS 2.2 vs. 3R4F 100% occlusion of filter ventilation).
| Compounds | n | Limit |
|---|---|---|
| 1-Aminonaphthalene, 2-aminonaphthalene, 3-aminobiphenyl, 4-aminobiphenyl, 1,3-butadiene, acrylonitrile, benzene, Cd, HCN, isoprene, o-toluidine | 11 | ≥ 99 |
| Benzo[a]pyrene, CO, ethylene oxide, m-cresol MEK, NAT, NNK, NNN, NO, NOx, Pb, p-cresol, quinoline, resorcinol, styrene, toluene, vinyl chloride | 17 | ≥ 95 |
| Acetone, acrolein, As, benzo[a]anthracene, crotonaldehyde, hydroquinone, NAB, o-cresol, pyrene | 9 | ≥ 90 |
| Acetaldehyde, dibenz[a,h]anthracene, formaldehyde, propionaldehyde, propylene oxide | 5 | ≥ 85 |
| Catechol | 1 | ≥ 80 |
| Butyraldehyde, pyridine | 2 | ≥ 75 |
| - | 0 | ≥ 70 |
| Acetamide | 1 | ≥ 65 |
| Acrylamide | 1 | ≥ 60 |
| Ammonia, phenol | 2 | ≥ 55 |
| Hg | 1 | ≥ 50 |
For a second group of conditions, Supplementary Information Table S 8 reports the 0.95 confidence intervals of reduction referring to 3R4F cigarette smoked with 50% occlusion of filter ventilation.
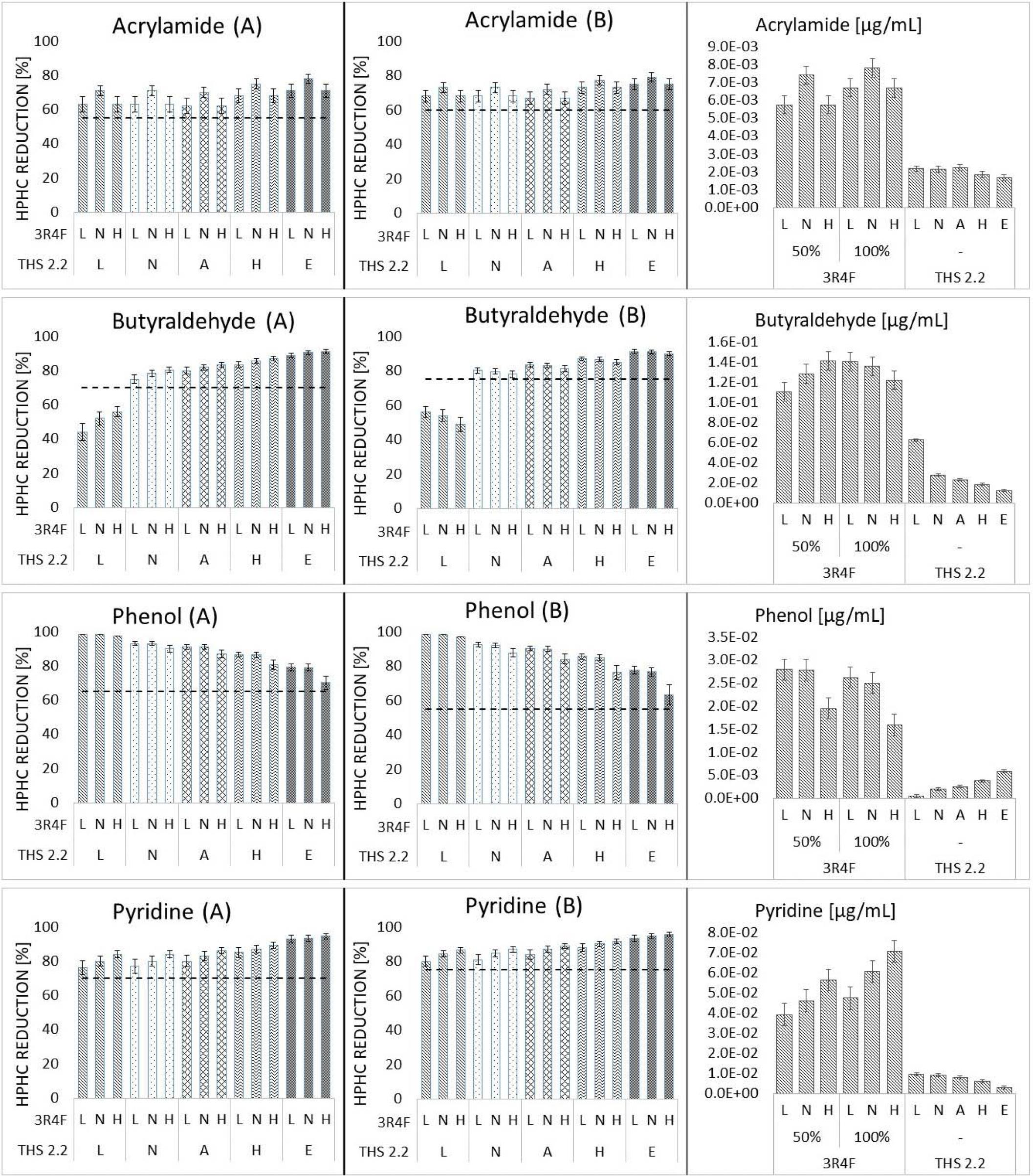
Table 5 presents a summary of the threshold limit of robust reductions resulting from non-inferiority tests conducted over all the regimes where HPHC reductions were calculated with 3R4F cigarettes smoked with 50% occlusion of filter ventilation excluding the ISO regime. The change from total to partial filter ventilation affected the concentration of some HPHCs in cigarette smoke. The bar charts in Figure 3 are examples showing the change in HPHC concentrations between products and conditions and the levels of reduction calculated from the combinations of these factors. When comparing the same puffing intensities, the influence of filter ventilation is clear on pyridine, showing higher concentrations with 100% occlusion of 3R4F filter ventilation, and on phenol showing the inverse effect. The charts also show the apparent differences of evolution with puffing intensity between the concentrations of acrylamide, butyraldehyde and phenol in THS 2.2 aerosol. With progressing puffing regime intensity, the generation and the transfer of aerosol in THS 2.2 strongly contrasted with the evolution of cigarette mainstream smoke. Since the yield for some HPHCs increased with the level of occlusion of the 3R4F filter ventilation, the threshold limits of reduction were lower for some HPHCs when THS 2.2 was compared with 3R4F using 50% occlusion of filter ventilation. These differences are reflected by the respective threshold limit values reported in Table 4 and Table 5.
Figure 3
HPHC reduction with 0.95 confidence interval (error bars) calculated for 3R4F filter ventilation occlusion of 50% (A) and 100% (B). The dashed lines indicate the lower limit of reduction defined for THS 2.2 under HCI and more intense regimes. Charts on the right hand side are individual means of aerosol/smoke concentrations determined for each product and condition. The respective puffing conditions identified by A, E, H, L and N are described in Table 1 and Table 2.

HPHCs categorized by threshold limit of robust reduction under HCI and more intense regimes and excluding ISO regime (THS 2.2 vs. 3R4F 50% occlusion of filter ventilation).
| Compounds | n | Limit |
|---|---|---|
| 1-Aminonaphthalene, 2-aminonaphthalene, 3-aminobiphenyl, 4-aminobiphenyl, 1,3-butadiene, acrylonitrile, benzene, Cd, HCN, isoprene | 10 | ≥ 99 |
| CO, ethylene oxide, m-cresol, NNK, NNN, NO, NOx, o-toluidine, p-cresol, vinyl chloride, quinoline, resorcinol, styrene, toluene | 14 | ≥ 95 |
| Acetone, acrolein, benzo[a]anthracene, benzo[a]pyrene, hydroquinone, MEK, NAB, NAT, o-cresol, Pb, pyrene | 11 | ≥ 90 |
| Crotonaldehyde, propionaldehyde | 2 | ≥ 85 |
| Acetaldehyde, As, catechol, dibenz[a,h]anthracene, formaldehyde | 5 | ≥ 80 |
| - | 0 | ≥ 75 |
| Butyraldehyde, pyridine | 2 | ≥ 70 |
| - | 0 | ≥ 65 |
| Acetamide, propylene oxide | 2 | ≥ 60 |
| Acrylamide, phenol | 2 | ≥ 55 |
| Ammonia | 1 | ≥ 50 |
| Hg | 1 | < 50 |
Abbreviations: As, arsenic; CO, carbon monoxide; HCN, hydrogen cyanide; Hg, mercury; MEK, methyl ethyl ketone; NAB, N-nitrosoanabasine; NAT, N-nitrosoanatabine; NNK, 4-(N-nitrosomethylamino)-1-(3-pyridyl)-1-butanone; NNN, N-nitrosonornicotine; NO, nitrogen oxide; NOx, nitrogen oxides; Pb, lead
Testing 3R4F cigarettes with 50% occlusion of filter ventilation holes was performed to embrace a broader range of possible conditions and showed the pertinence of using puff volume for the normalization of yields, focusing not only on the THS 2.2 product, but also on the 3R4F cigarette. Interestingly, the results showed consistent overall reductions across all puffing intensities between the two different conditions of filter ventilation used for the 3R4F cigarette. However, in the scope of the assessment for THS 2.2 robustness, the shift in relative reductions caused by the change of 3R4F filter ventilation for some individual constituents presented less interest than the overall influence of puffing intensity. Therefore, unless stated otherwise, the following discussion has focused upon reductions calculated using HPHC concentrations for 3R4F cigarette mainstream smoke generated with 100% occlusion of filter ventilation. This is also consistent with the requirements of the Health Canada Intense (HCI) machine-smoking regime of the Health Canada Tobacco Reporting Regulation (22) that was recommended by Public Health authorities, including the World Health Organization (WHO) (23).
Using the Health Canada Intense regime, and considering 49 constituents, the average reduction for puff volume-adjusted HPHC concentrations in THS 2.2 aerosol compared to 3R4F cigarette smoke was 93.6% (88.7% using nicotine-adjusted values). This is in line with published results (8) where the majority of HPHCs measured in THS 2.2 aerosol were reduced by more than 90%. When more intense machine-smoking regimes were applied, average reductions based upon puff volume-adjusted concentrations for THS 2.2 were in the range from 94.2% to 95.9% (88.4% to 89.3% using nicotine-adjusted values), irrespective of the smoking regime applied for the 3R4F reference cigarette, demonstrating a very robust performance for overall HPHC reduction.
Each puff taken from a cigarette burns a new portion of the tobacco rod as opposed to the different zones of the unique portion of tobacco that are progressively heated and repeatedly used over puffs in THS 2.2. Therefore, depending on the nature of precursors and the release mechanisms of individual HPHCs, different levels of reductions are expected between individual HPHCs and regimes.
Metals and metalloids are absorbed in growing tobacco leaves at harvesting point (24) and some of them can be transferred in THS 2.2 aerosol. The threshold limit of robust reduction of 50% observed for mercury contrasted with arsenic, lead and cadmium having higher limits of 90%, 95% and 99%, respectively. The fact that mercury can distill out of tobacco at a relatively low temperature (25, 26) is a possible cause of this difference.
Heating a nitrogen-rich biomass such as tobacco produces ammonia (25). Acrylamide can be formed from asparagine and reducing sugars through a Maillard-type reaction occurring between 120 °C and 200 °C (27, 28, 29, 30). Acetamide can be formed by the pyrolysis of Amadori compounds, which are reaction products needing amino acids and sugars, and by the decomposition of ammonium acetate at around 250 °C (31). Pyridine can be formed below 300 °C through a classic Maillard reaction (32). These nitrogen-containing products are formed and distill out of tobacco at a low temperature. It was therefore unsurprising to observe threshold limits of robust reduction in the range of 55–75%. In contrast, the five investigated aromatic amines demonstrated a limit of 99%, which denoted consistently low levels of generation at THS 2.2 operating temperatures. Quinic acid and quinic acid derivatives, that are building blocks in the natural biosynthesis of lignin, were identified as important precursors of hydroquinone, catechol, and phenol which can be formed below 350 °C (33). Phenol concentration in THS 2.2 aerosol increased simultaneously with puffing regime intensity, which resulted in a diminution of phenol reduction from 92.2 ± 1.4% (HCI) to 63.2 ± 5.8% (extreme regime) for the lowest performance and was reflected by a threshold limit of reduction of 55%. This was possibly caused by the progressive saturation and the subsequent elution of phenol adsorbed on tobacco and other filters (34, 35).
PAHs can enter tobacco leaves during curing if the tobacco is exposed to exhaust gases from wood, or other organic fuel, heat sources (36). When studying the aerosol content of benzo[a]pyrene, benz[a]anthracene and pyrene in aerosols produced by different tobacco blends in the THS 2.2 (see Supplementary information Table S 9), it was observed that the yields of these PAHs were linked to the tobacco composition of the different blends (37). The results presented in Supplementary information Table S 9 show that the transfer of benzo[a]pyrene, benz[a]anthracene and pyrene in THS 2.2 was proportional to the PAH content of the tobacco materials of the sticks, and very good correlations (r > 0.99) were observed for these three PAHs when comparing yields in tobacco and in aerosol produced under HCI. Considering more intense regimes and supported by a threshold limit of robust reduction of 90% for benz[a]anthracene and pyrene and 95% for benzo[a]pyrene, the results showed that the PAHs detected in the aerosols of the THS 2.2 are most likely due to stripping caused by the gas stream and not to pyrosynthetic formation occurring during the THS 2.2 heating process. The largest quantities of TSNAs are formed during tobacco curing and processing (38, 39, 40) and additional amounts could be formed during smoking. TSNAs distillate out of tobacco at low temperature, nevertheless heating instead of burning tobacco in THS 2.2 results in a 2–3 times lower transfer of TSNAs when compared with the transfer rates found for cigarettes (41). Under HCI and more intense regimes, the limit of threshold reduction was 95% for NNN, NNK and NAT whereas the limit was 90% for NAB; this difference could be attributed to individual transfer rates of TSNAs (41, 42).
Carbon monoxide, HCN, nitrogen oxides and volatile organic compounds such as 1,3-butadiene, acrylonitrile, benzene, styrene and toluene are generated only at low levels in THS 2.2 aerosol during thermochemical degradation of the tobacco material and have demonstrated threshold limits of a robust reduction of 90% or higher. A slightly lower limit of 85% was observed for propylene oxide. The dehydration of propylene glycol used as humectant or for the application of flavors to tobacco is a possible source of propylene oxide in mainstream cigarette smoke (43, 44), however the absence of propylene glycol in the recipe of the 3R4F cigarette (45) suggests other possible precursors may have a role in the formation of propylene oxide. Amongst compounds with less clear sources, the limit was 95% for both vinyl chloride and ethylene oxide.
The threshold limits of robust reduction were in the range of 75–95% for all carbonyls investigated under HCI and more intense regimes. The lowest performance of reduction was for butyraldehyde and could denote a low temperature of formation. The threshold limit of robust reduction of 75% is in good agreement with values reported in the literature for tests conducted under HCI regimes, e.g., 71.13% (46) and 75.6% (47). Like most other carbonyls, butyraldehyde content in THS 2.2 aerosol steadily dropped with increasing puffing intensity, therefore the highest concentrations were observed in THS 2.2 aerosol generated with the lowest puffing intensities. For butyraldehyde under ISO conditions, a relatively low reduction of 41.92% was published (46). This is consistent with the reductions of 56 ± 3% and 43 ± 5% obtained in the present study with the same smoking-machine parameters, taking also into account a difference in the occlusion levels used for 3R4F filter ventilation, respectively 100% and 50%.
The present study has demonstrated the robustness of THS 2.2, a heat-not-burn tobacco product, in its ability to reduce the levels of HPHCs in the aerosol produced using a broad range of puffing conditions, particularly for HCI and more intense regimes. The transformation of HPHCs yields into concentrations in mass normalized per total puff volume is a recent approach, appropriate for the cross-comparison of a large range of puffing conditions. Moreover, this work has substantially contributed to paving the road for the assessment of current and future products, where the application of current standard machine-smoking regimes would present limitations considering the constant evolution of products.
Machine-smoking testing is useful in characterizing tobacco product emissions for design and regulatory purposes. The demonstration of product robustness substantiates the evidence package provided in the due diligence assessment of the THS 2.2 product. In this context, the study demonstrated that, overall, the concentrations of investigated HPHCs were reduced by more than 90% under HCI and more intense regimes, and this was established with a conservative approach including a broad range of conditions for the generation of 3R4F cigarette mainstream smoke used as reference.
The concept of threshold limits applied for robust concentration reduction was introduced to categorize each HPHC investigated in THS 2.2 as a function of its demonstrated level of robust reduction. Based on the outcome of this study, the puff volume normalization approach is considered appropriate for the machine-smoking evaluation of the robustness for HPHC reduction in future assessments of similar products, where the nicotine-adjusted yield approach would not be applicable. For the assessment of the robustness under HCI and more intense regimes, which exclude therefore the ISO regime, the use of the 3R4F reference cigarette with 100% blocked filter ventilation is recommended. Under these specific conditions, THS 2.2 showed robust performance in the reduction of the levels of HPHCs and, regardless of the puffing regime, could remain within the respective limits identified by the present study for each relevant compound (c.f. Table 4).
The Supporting Information is available free of charge on the Publications website:
Description of supplementary tables S1–S9 (PDF)
Supplementary Information Table S1 (PDF)
Supplementary Information Tables S2–S9 (XLXS)