The dialogue between Zhou Gong and Shang Gao in about the 11th-century BCE, which was written in the Zhou Bi Suan Jing (The Arithmetical Classic of the Gnomon and the Circular Paths), proved that the Pythagorean Theorem of the trilateral relationship in the right-angled triangle had already been established at that time. More than 2500 years ago, people had already skillfully mastered the Pythagorean Theorem to perform some impressing and far-reaching measurements, such as the measurement of the solar height by Chen Zi of China in the Zhou Dynasty, the height of the Pyramid using the solar shadow by Thales (c. 624 BCE–546 BCE) and the Earth’s radius by Eratosthenes (c. 276 BCE–195 BCE). In modern surveying and mapping fields, triangulation and trilateration measurements, which are both based on triangular relationships, are important methods to build geodetic control networks and engineering survey control networks. The method of this so-called triangulation measurement is to lay a series of consecutive triangles on the ground and measure their angles to determine the horizontal position of the vertex in every triangle. As it is not feasible to realize the measurement of large-scale distances by traditional methods, trilateration was not applied widely until the invention of the geodimeter (in 1948) and the microwave ranger in 1956. What is particularly worth mentioning is the invention of the triband microwave ranger in 1979, which brought an improvement of measurement error with an order of magnitude. The substitution of trilateration for triangulation is the inevitable development trend for measurement techniques. Loran-C is a hyperbolic system comprising a set of chains of transmitters. A typical chain consists of a master and two to three secondary transmitting stations separated by about 1000 km. A receiver measures the time difference (TD) between the arrival of pulses from the master and secondary stations. Each measured TD defines a hyperbolic line of position (LOP) for the user. The intersection of two LOPs defines the user position in two-dimensional plane. The concept of dilution of precision (DOP), which originated from the Loran-C navigation system, serves as an approach to characterize the relation between the distribution of radio transmitter stations and the final position estimation (Misra & Enge, 2010).
With the beginning of the space age marked by the launch of the Sputnik I of the Soviet Union in 1957, in 1973 the United States Department of Defense decided to develop a global positional system (GPS) based on space-based trilateral measurements. More than 20 years and tens of billions of United States dollars were spent before the GPS became fully operational in 1994. The DOP in the GPS provides a simple characterization of the user–satellite geometry and a quantitative assessment of the GPS constellation configuration (Milliken & Zoller, 1978; Spilker, 1996; Kaplan & Hegarty, 2017). The more favorable the geometry, the lower the DOP, and the better the quality of the position estimate, in general. Owing to the user clock bias, a user needs a minimum of four satellites in view to estimate the three-dimensional position and time. The DOP in the GPS was extended to embrace the time factor, similar to that in trilateration measurement. When there are more than four observable equations, receivers use the least square method to estimate positions. The DOP value that is calculated using all visible satellites is a slight improvement on that using the selected best four satellites. The theory of the DOP has been well established and no breakthrough has yet been achieved.
Studies reveal that the DOP in an assumed redundant-overlapping constellation, where multiple satellites at exactly the same spatial position simultaneously downlink navigation signals, is greatly reduced, compared to that of the ordinary constellation. Although it is not realistic to deploy multiple satellites at the same place, this assumption is instructive: it has led us to consider a new precision factor. The Chinese Area Positioning System (CAPS), based on communication satellites, opened a new frontier for developing full-frequency communication to full-frequency navigation (Ai et al., 2008; 2009), as well as taking into account that one satellite in the global navigation satellite system (GNSS), including GPS, BeiDou navigation satellite System (BDS), GLObal NAvigation Satellite System (GLONASS), and Galileo satellite navigation system, is also able to downlink navigation signals at multiple frequencies (Spilker, 1996; Misra & Enge, 2010; Kaplan & Hegarty, 2017; Zhou et al., 2020). This article proposes a new concept that parallels geometric DOP: that of the physical augmentation factor of precision (PAFP). The essential idea of the PAFP is that navigation signals are transmitted at multiple frequencies in each satellite, while users measure the corresponding multiple code pseudoranges to achieve high-precision positioning. As the multiple code pseudoranges of one satellite are measured independently by the corresponding navigation signals at different frequencies, it is reasonable to treat the measurement errors caused by the satellite clock and ephemeris, the atmospheric propagation as uncorrelated, random, and identically distributed. We process the multipath effects and receiver noise with some empirical models. By measuring user–satellite pseudoranges at different frequencies, the PAFP provides a scheme that produces the same effect as that of the redundant-overlapping constellation, thus equivalently improving the geometric DOP (Ai et al., 2015; Kong et al., 2022). Especially, in some regional satellite navigation systems, when the service area is with poor geometric configuration, this method can effectively improve positioning precision. The PAFP is an innovative invention that ameliorates positioning precision, that fundamentally develops the original trilateral measurement theory, and that realizes the combination of the geometric and the physical factors. The study of Kong et al. (2022) investigated improvement of positioning precision with the PAFP in CAPS and GPS. In this work, the authors focuses on a comprehensive investigation of the equivalent influence of the factor on the spatial layout of positioning constellations.
In the GPS, given a simple model that the errors of the measurements from different satellites are zero-mean, uncorrelated, and identically distributed, we characterize the contribution of the user–satellite geometry in terms of the DOP. Let
Here H is a (4×4) matrix. The DOP parameters are defined on the basis of the above equations.
The quality of the estimates obtained from a single snapshot of the measurements can be described simply as (Misra & Enge, 2010; Kaplan & Hegarty, 2017)
Let M be the number of visible satellites; we suppose that there are a number of im (m = 1, 2, …, M) satellites simultaneously downlinking navigation signals at the same position with the satellite i. Here, the row i in matrix G is extended to a (im×4) matrix with each row made up of the same elements with the row i. To account for the unequal quality of the measurements, we weigh the different measurements based on satellite–user direction cosine vectors. If we use weights {ki,k2,…,kM} on the measurements, the DOP in the redundant-overlapping constellation is then described as
To delineate the improvement of the DOP value in the redundant-overlapping constellation, let im = n, then
Although the improvement of DOP in this imaginary constellation is striking, it is not realistic to deploy several satellites at exactly the same position. In the next section, the PAFP is proposed as providing a scheme that produces the same effect as that of the redundant-overlapping constellation, thus equivalently improving the geometric DOP.
Navigation messages and pseudorandom noise codes are modulated on multiple frequencies of one satellite, while users simultaneously receive these signals to achieve multiple code pseudoranges and to individually correct the errors of the satellite ephemeris and clock, the atmospheric propagation. The multipath and receiver noise are also processed with some empirical models. As suggested earlier, by measuring user–satellite pseudoranges at different frequencies, the PAFP provides a scheme to produce the same effect as the redundant-overlapping constellation does and thus equivalently improves the geometric DOP. Additionally, combining with the Doppler shift measurement can further improve positioning precision (Ma et al., 2014).
As the im navigation signals are transmitted by one satellite at different frequencies, the random error of combined code pseudoranges derived from these signals is reduced by times of
In addition to pseudorange measurement, the Doppler shift of navigation frequency can also be measured simultaneously and independently by receivers. The measured Doppler frequency shift and pseudorange of a satellite would specify the surface of a right circular cone whose vertex is at this satellite position and user must be located somewhere on the circle of the conical base. Assuming that there are two satellites constituting a proper spatial configuration, intersection of two such cones can identify three user positions (Ma et al., 2014). Figure 1 is a conceptual diagram of the implementation of this method.

Combination positioning diagram of the code pseudorange and the Doppler shift measurement
Furthermore, considering that the equivalences and independencies of the Doppler frequency shift and the code pseudorange measurements, the improvement effects can theoretically be further improved by
In this section, the improvements of the PAFP to CAPS and GPS positioning performance are analyzed, respectively. According to the future deployment plan of CAPS experimental system, five geostationary communication satellites with fixed point longitude 76°.5E, 87°.5E, 110°.5E, 134°E, and 142°E, and three satellites of tilted geosynchronous orbit satellites with longitude center of subsatellite points at 105°E, and 50° inclination angle, are used to construct CAPS constellation. Assuming that every satellite downloads four navigation signals, mean values of daily improvements of the PAFP are plotted in Figure 2(b). Here the elevation cutoff angle of every satellite is set to 10 degrees. To facilitate comparison, global PDOP distribution of every satellite downloading one signal is plotted in Figure 2(a). In Figure 2, the value of contour line multiplied by the ranging error is corresponding to the positioning precision. Under the CAPS constellation configuration, if 4 signals are transmitted from every CAPS satellite, the positioning precision will be double improved.

Improvement distribution of CAPS positioning performance with the PAFP. Subfigures (a) and (b) are corresponding to one signal and 4 signals transmitted from every satellite, respectively.
During the GPS analysis, we select October 10, 2021 to investigate the GPS positioning constellation. For spatial layout analysis, broadcast ephemeris and YUMA almanac of GPS satellites have the same effects. The YUMA almanac file used in this work is downloaded from the CelesTrak website (https://celestrak.com). With the file, we can obtain spatial positions of every GPS satellite at any time during the whole day.
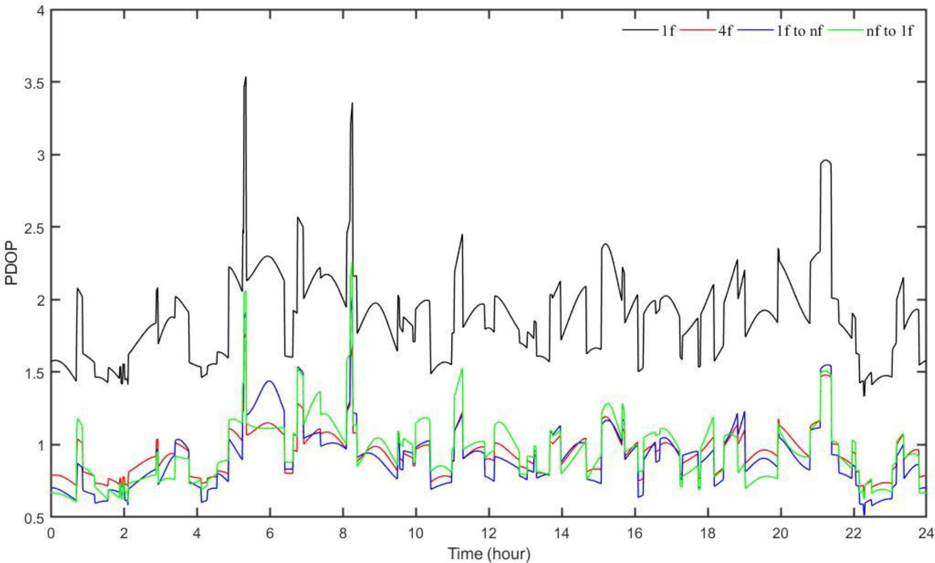
Given that an observation site is located in Beijing, China. According to the spatial structure composed of the observation site and the visible GPS satellites, the conventional DOP value (PDOP, hereafter in the simulation) from 0:00 to 24:00 on October 10, 2021 can be calculated and plotted in Figure 3 with the solid black line. Considering the PAFP in the previous section, if every visible satellite downlinks 4 navigation signals, the PAFP also can be calculated. The results of the PAFP multiplied conventional PDOP is marked with a red line in Figure 3. In this work, the time interval is 30 seconds. It can be seen that there is a significant improvement, and the specific error amplification is reduced to one-half of the original value. Furthermore, if there are n visible GPS satellites at some moment, assuming that the first satellite downlinks 1 navigation signal, and the second satellite downlinks 2 navigation signals, …, the nth satellite downlinks n navigation signals. Another case, assuming that the first satellite downlinks n navigation signal, and the second satellite downlinks n-1 navigation signals, …, the nth satellite downlinks 1 navigation signal. We also investigate the improvement of the PAFP from the two cases. Figure 3 displays results of the PAFP multiplied conventional PDOP is marked with a blue line, a green line, respectively.

Improvement effects of the PAFP in GPS
To intuitively display the improvement of the PAFP to the space layout, for above four cases, we have calculated the maximum, minimum, and mean values of the PAFP multiplied by the conventional PDOP value during the whole day. The statistical results are listed in Table 1. It can be seen that when each satellite downlinks multiple navigation signals, the improvement of the PAFP is obvious. The more downlinking signals, the more remarkable the improvement.
Statistical results of the improvement of the PAFP
| No. | Min value of PAFP × conventional PDOP | Max value of PAFP × conventional PDOP | Mean value of PAFP × conventional PDOP |
|---|---|---|---|
| 1 signal | 1.33 | 3.54 | 1.89 |
| 4 signals | 0.67 | 1.77 | 0.94 |
| 1,2,…,n-1,n signals | 0.51 | 2.02 | 0.91 |
| n,n-1,…,2,1 signals | 0.61 | 2.27 | 0.96 |
As positioning precision can be exponentially ameliorated with the PAFP, it is worthwhile implementing PAFP in navigation applications, although it will inevitably impose great burdens on the receivers regarding the requirements of multiple frequencies measurements. Given that the introduction of the PAFP was based on a model where the errors of the measurements from different frequencies or satellites are zero-mean, uncorrelated, and identically distributed, correlated errors need to be corrected with difference in the application of the PAFP. Even if there are no differential corrections, random errors in code pseudoranges can be reduced by times of
In the proof-of-concept phase of the CAPS, as differential information is built into navigation messages from the ground master station, users can realize differential positioning after receiving navigation signals (Li et al., 2009; Li et al., 2009). The application of the PAFP in the CAPS to enhance positioning precision is therefore a logical choice. As previously mentioned, every GNSS system can downlink navigation signals at multiple frequencies; therefore, it is also feasible to perform the PAFP in these systems. However, as different ranging codes are modulated at different branches in these systems, the implementation of the PAFP would entail some complexities that can be addressed with an optimized combination of ranging codes.
The PAFP presented in this article can be used to exponentially ameliorate positioning precision by using a method in which navigation signals are transmitted at multiple frequencies in each satellite. The PAFP provides a scheme to produce the same effect as produced by the redundant-overlapping constellation, thus equivalently improving the geometric DOP, and improve positioning precision. It can also be applied to the GNSS with multiple navigation frequencies. Meanwhile, the PAFP develops the original trilateral measurement theory fundamentally to a certain extent, realizing the combination of the geometric and physical factors.