A skeletal Class III malocclusion is characterised by a prognathic skeletal pattern and a concave facial profile.1 Proclination of the upper incisors and retroclination of the lower incisors are often noted in compensation for the maxillomandibular discrepancy.2 With increasing attention to the oral health of adult patients, those with a skeletal Class III malocclusion combined with periodontitis have a strong need for orthodontic treatment due to the traumatic occlusion and aesthetic concerns.3,4
Clinicians have attempted to provide appropriate treatment according to the type of Class III malocclusion, the stage of the patient’s maturation and patients’ opinion.5 For adult patients with a mild to moderate skeletal discrepancy, common strategies of orthodontic camouflage treatment, involving dental extraction, Class III elastics and headgear can be used to manage the malocclusion.6–8 It is noteworthy that skeletal Class III patients frequently present with a thin alveolar bone and insufficient bone volume in the lower anterior region. Extractions and excessive retraction of the lower anterior teeth could worsen the concave facial profile and increase the risk of periodontal effects, especially in patients with existing periodontal disease. Therefore, non-extraction treatment is preferred.9,10 Although Class III elastics can achieve a dental correction, excessive proclination of the upper anterior teeth and extrusion of the maxillary molars result in unfavourable aesthetic outcomes.11,12 Reverse-pull headgear can achieve both aesthetic and functional results but requires a high level of patient co-operation.13 In recent years, several studies have reported that temporary skeletal anchorage devices (TSADs) can prevent undesirable changes by providing absolute anchorage for the distalisation of the lower dentition without patient co-operation.14–16
The orthodontic treatment of patients with periodontitis is based on the level of periodontal health because uncontrolled inflammation will accelerate the loss of supportive tissue during treatment.17 It is also worth noting that tooth movement in patients with a reduced periodontium, in which the tooth’s centre of resistance is apically displaced, results in the expression of greater moments of force.18 Skeletal Class III patients are susceptible to alveolar bone resorption in the lower anterior region during orthodontic treatment.19 Furthermore, the position of the lower incisors is significantly correlated with the treatment outcomes of skeletal Class III patients.16 Accordingly, to maintain periodontal health and avoid undesirable movement, attention should be directed to the position of the lower anterior teeth. Several studies have reported that suitable displacement of the overall dentition can be achieved by selecting the appropriate force vectors during distalisation.20–22 However, there have been few investigations regarding the biomechanical considerations surrounding the distalisation of a lower dentition affected by anterior alveolar bone resorption.
A finite element analysis (FEA) is widely used to investigate the biomechanical characteristics of orthodontic treatment.21–25 Therefore, the present study aimed to evaluate the biomechanical analysis related to the distalisation of the mandibular dentition with anterior alveolar bone loss through a FE analysis, based on the location of an applied force, and thereby provide a reference for the treatment of skeletal Class III patients affected by periodontal disease.
The study was approved by the ethics committee of Qingdao Stomatological Hospital affiliated with Qingdao University. The participant was informed about the research purpose and signed a consent form. A 23-year-old adult patient with a mild skeletal Class III malocclusion and who had an aligned lower dentition was selected. Before orthodontic treatment, both mandibular third molars were extracted. A cone-beam computed tomography image obtained by a three-dimensional (3D) examination device (Kavo Dental GmbH, Biberach, Germany) was stored in DICOM format, imported to Mimics 21.0 (Materialise, Leuven, Belgium), and then exported to Geomagic 2017 (3D Systems, Rock Hill, SC) in STL format for the construction of three solid models. Model 1 simulated the mandibular anterior teeth without alveolar bone loss while Models 2 and 3 characterised the alveolar bone of the mandibular anterior teeth with bone to one-third and one-half of the root length resorbed, respectively (Figure 1A). The thickness of the PDL was accepted as 0.3 mm.26

A, Construction of orthodontic models of mandibular anterior alveolar bone of different heights. (a) Alveolar bone not resorbed. (b) Alveolar bone absorbed by one third. (c) Alveolar bone resorbed by a half. B, Experimental conditions. Conditions 1−9: the effect of lever arm length (extended between lateral incisor and canine, conditions 1, 4 and 7: 2 mm, conditions 2, 5 and 8: 7 mm, conditions 3, 6 and 9: 12 mm, respectively).
Brackets with 0.018 × 0.025-inch slots were constructed and bonded on the buccal surfaces of the teeth (placement was a reference plane established 4 mm from the incisal edge of the central incisor and 4.5 mm from the canine). Two millimetre, 7 mm and 12 mm traction hooks, which are commonly used in clinical practice, were attached to the mandibular arch wire (0.018 × 0.025-inch) between the lateral incisor and canine. According to a previous study on safe regions for mini-screw implantation for the distal movement of the mandibular dentition, a mini-screw (2 mm in diameter and 7 mm in length) was placed between the mandibular first and second molars and 7 mm from the crest of the alveolar ridge.27,28 The angle of implantation was 30° to the long axis of the second molar. The models were assembled and then saved as SLDPRT files.
All materials in the present study were considered to be homogeneous linear elastic bodies, and the material deformation was minimal.23 Young’s modulus and Poisson’s ratio used were obtained from the literature and are presented in Table I.29 The FE models were constructed using tetrahedral elements. The mesh size for the teeth and bone was 0.8 mm and 0.3 mm for the mini-screws and surrounding bone. The average total number of nodes and entity units of the nine models was 274190 nodes and 805921 units, respectively. All models were generated using ANSYS Workbench software and prepared for analysis (Figure 1B).
Materials properties
| Material | Young’s modulus (MPa) | Poisson’s ratio |
|---|---|---|
| Tooth | 2.0E + 04 | 0.3 |
| PDL | 6.8E-02 | 0.45 |
| Alveolar bone | 1.3E + 04 | 0.3 |
| Bracket | 2.0E + 05 | 0.3 |
| Arch wire | 2.0E + 05 | 0.3 |
To investigate the tooth movement patterns and stress distributions at different levels of anterior alveolar bone loss after applying a distal force on the traction hooks of different heights, a distalisation force of 2.0 N was applied along a line from the mini-screw to the three different heights of the retraction hook: 2, 7 and 12 mm. For the boundary condition, all nodes at the base and distal extremities of the model were fixed in all directions. A bonded contact type was used to constrain relative sliding of the tooth-brackets, tooth-PDL, and alveolar bone-PDL. The contact between the bracket and the arch wire was set to “no separation”, which meant that under low-friction conditions, the arch wire moved along the bracket slot without separation in the vertical direction. The mini-screws were rigidly connected to the mandible.
A standard co-ordinate system was constructed for each model. The displacements of the midpoints of the incisal edges and apical points of the incisors, the cusp and apical points of the canines, the buccal cusps and apical points of premolars, and the mesiobuccal cusps and mesial apical points of the molars were expressed in the x-, y-, and z-axes (Figure 2). The x-axis represented the direction of transverse movement, the y-axis represented the direction of anterior-posterior, and the z-axis represented the direction of vertical movements, respectively. The positive values of the x-, y-, and z-axes were defined as the medial, posterior and upward directions. Furthermore, the von Mises stress distribution in the periodontal ligament was recorded for each model. ANSYS 17.0 (Ansys Inc., Canonsburg, PA, USA) was used for the finite element analysis.

Landmarks for the assessment of displacement.
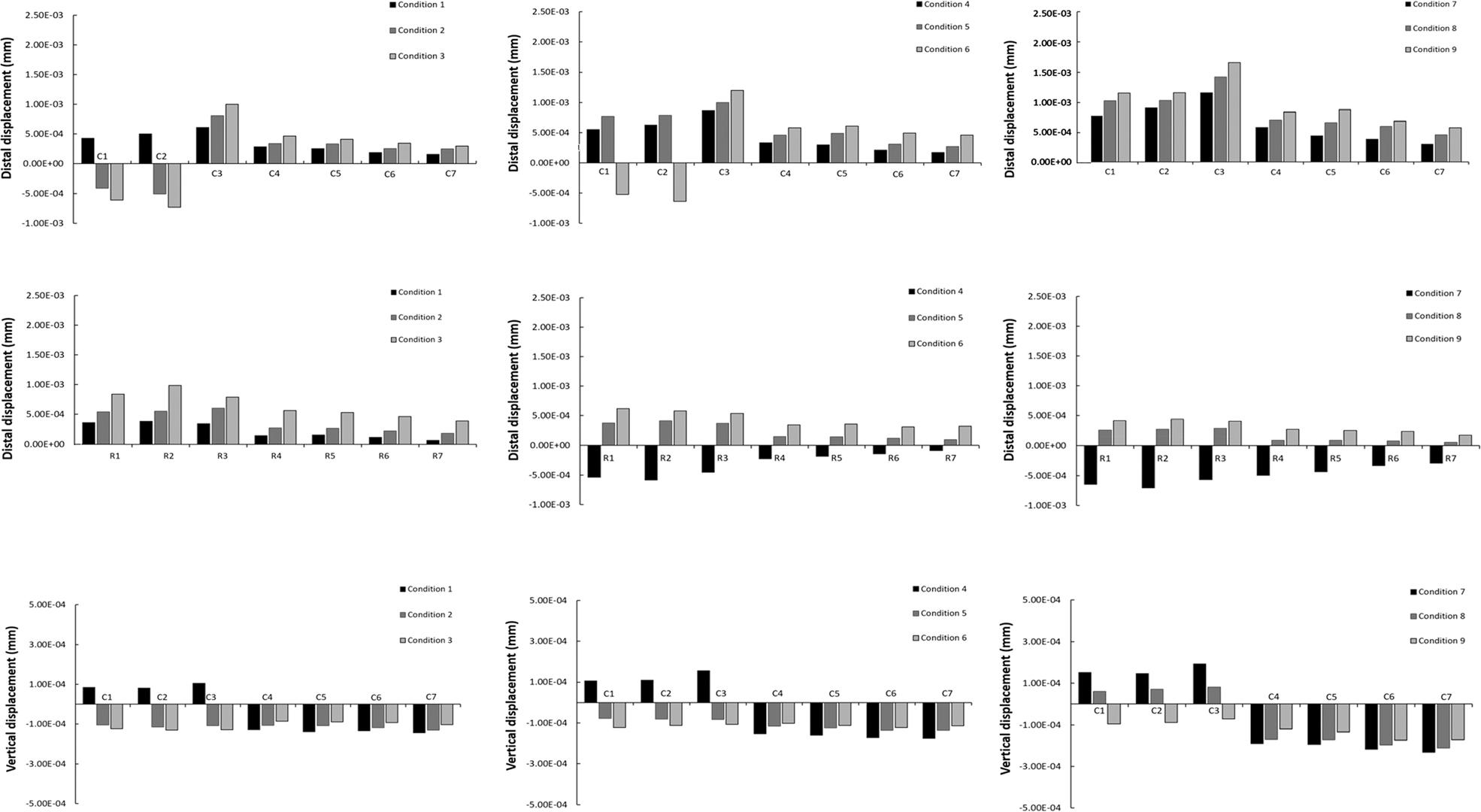
In the model with no alveolar absorption, when the distalising force was applied to the 2 mm retraction hook, the mandibular central and lateral incisors showed controlled lingual tipping and counterclockwise rotation, as both the crowns and roots moved toward the lingual and the displacement of the crowns was greater than that of the roots. As the length of the hooks increased, a clockwise rotation (the labial crown and lingual root movement) occurred, the displacement of the incisors under the 12 mm hook was greater than that under the 7 mm hook. In mild horizontal bone absorption models, the incisors showed uncontrolled tipping, noted by lingual crown and labial root movement, when using 2 mm hooks. With the 7 mm hooks, controlled lingual tipping occurred, while with the 12 mm hooks, a clockwise mandibular rotation occurred. In moderate horizontal absorption models, the incisors showed lingual tipping regardless of the height of the traction hook. Uncontrolled tipping occurred associated with a 2 mm hook and more controlled tipping was observed with longer hooks. In the vertical direction, a lower retraction hook was more likely to lead to extrusion of the anterior segment than a longer retraction hook, especially in models with alveolar bone horizontal absorption. The canine showed distal tipping and a counterclockwise rotation in all the models. There was very little lateral displacement of the anterior teeth in the transverse direction (Figures 3, 4).

Total displacement trend of the lower teeth under different conditions.

Displacement of the lower tooth crown (C) and root (R) in the sagittal direction and crown (C) in the vertical direction under different working conditions (mm).
In the sagittal direction, the posterior teeth showed distal tipping and a counterclockwise rotation, except for model 3. In the periodontal health models, as the height of the retraction hooks increased, the distal tipping rotation of the teeth decreased. A clockwise rotation occurred with use of the 12 mm hook, as the distal root movement was greater than that of the crown. In the absorption models, the distal inclination of the teeth increased along with the increase in alveolar bone absorption, but decreased as the length of the traction hook increased. Uncontrolled tipping (distal crown and mesial root) occurred associated with a 2 mm hook. In the vertical direction, the molars and premolars showed intrusion in all models. The displacement of the teeth increased accompanying absorption of the anterior alveolar bone but decreased as the hook size increased. The posterior tooth crowns displayed slight buccal inclination in the mandibular arch (Figures 3, 4).
Under all conditions, the stress was primarily concentrated at the cervical margin and apical area of the lateral incisor and canine teeth. The stress on the lateral incisor exceeded that on the other teeth. With the deterioration of the anterior alveolar bone, stress in the periodontal membrane increased. As the height of the hook increased, the region of stress distribution expanded toward the root apex, and the stress also increased (Figure 5).

The von Mises stress distribution in the PDL under different conditions (Mpa).
The distalisation of the mandibular dentition can achieve better treatment outcomes than extractions or more invasive surgery for a mild-to-moderate Class III malocclusion.6–10 TSADs are useful in the distalisation process compared with traditional orthodontic mechanics because they can reduce anchorage loss and patient compliance.14–16 The control and predictability of tooth movement is affected by factors related to the distalising force vectors and the centre of resistance of the teeth.24,30 Therefore, the FEA was used to examine the biomechanical effects of TSADs on the lower dentition with varying levels of anterior alveolar bone resorption during the distalisation of the mandibular dentition, based on different force applications.
The distalisation of the mandibular dentition can correct an anterior crossbite through tipping or bodily retraction of the mandibular incisors.5,31 The varying placement locations of the mini-screws and the different levels of retraction hooks can generate force vectors which subsequently influence the movement patterns and the stress distribution of the entire dentition.23,25 The mandibular buccal shelf (MBS) has been considered as an appropriate insertion site for orthodontic mini-screws due to its adequate bone quality and thickness.32 The present analysis refers to the study by Liu et al.,27 who contended that it is safe for mini-screws to be inserted between the mandibular first and second molars at or below a plane 9 mm from the alveolar ridge. However, according to a previous study which assessed the level of the mucogingival junction in healthy subjects, implanting micro-implants vertically below 7 mm from the top of the alveolar ridge is inevitably constrained by the mandibular vestibular sulcus, thereby causing additional discomfort for patients.33 Consequently, based on the above considerations and clinical practice, a mini-screw was placed in the MBS at a site 7 mm from the alveolar ridge. Furthermore, Hedayati et al.25 contended that the height of the retraction hook can affect movement of the anterior teeth during en-masse retraction. Therefore in support, various height retraction hooks were used and assessed in regulating the tooth movement during the mandibular distalisation. Additionally, the mandibular incisor area is vulnerable to periodontal deterioration.10 A previous study has reported the displacement and stress distribution of the mandibular incisors in the presence of alveolar bone loss under occlusal loads.24 Therefore, in the present study, the mandibular anterior area, without or with a varying level of alveolar bone loss, was constructed to evaluate the impact of alveolar bone height on the mandibular dentition under a distalising force.
The centre of resistance (CR) position is closely associated with the biomechanics of tooth movement. When an orthodontic force passes below the CR of the tooth, a clockwise rotation of the lower anterior teeth will occur. However, if the force passes above the CR, the tipping movement with a centre of rotation near the root the apex would be unavoidable.20,30 In the present study, it was found that lingual tipping and a counterclockwise rotation of the mandibular incisors decreased as the length of the retraction hooks increased. This result corresponded with prior studies, in which force application applied to longer hooks led to lingual root movement of the anterior teeth.23,25 Furthermore, the CR of the teeth gradually shifts toward the root as alveolar bone resorption occurs.17,19 The FEA results of Zeng et al.24 showed that the mobility of the tooth increased with an increase in alveolar bone loss. In the present study, lingual tipping and a counterclockwise rotation of the mandibular incisors increased as the alveolar bone loss increased. Therefore, for patients who have a skeletal Class III malocclusion, periodontal deterioration, and lingually inclined lower anterior teeth, longer retraction hooks are recommended during the distalisation of the mandibular dentition. The hooks can prevent uncontrolled tipping movement and facilitate lingual root movement of the anterior teeth. Not only can they assist in molar relationship correction but can also correct the axial inclination of the anterior teeth, thereby establishing a stable anterior overbite and overjet. Conversely, for patients with proclined incisors, shorter hooks can be used to quickly correct an anterior crossbite by lingual tipping of the tooth crowns.
Many studies have demonstrated movement of the mandibular posterior teeth during distalisation of the mandibular dentition, particularly in the vertical direction.34–37 Several authors have noted that forces applied upward on the functional occlusal plane resulted in extrusive movement.21,22 Sung et al.23 also found that force applied to longer hooks resulted in extrusion of the posterior dental segment. In the present study, without extrusion observed, the premolars and molars showed decreased intrusive movement as the length of hooks increased. This outcome supports the findings of Nakamura et al.38 who reported that downward and backward forces can cause greater intrusive movement of the posterior teeth, thereby exerting a positive impact on the treatment of skeletal Class III patients with hyperdivergent growth patterns. Furthermore, as the alveolar bone absorbed, the distal tipping trend of the posterior teeth increased, because of the change in the position of the CR. However, as the length of the retraction hooks increased, the counterclockwise trend decreased. These results revealed that a distalising force, from the mini-screw placed in the mandibular buccal shelf to longer traction hooks is important for controlling the movement of the posterior teeth especially in patients with anterior alveolar bone resorption and dolichofacial characteristics who need mandibular dentition distalisation. However, it should be avoided in the treatment of brachyfacial patients.
It is widely acknowledged that the remodelling of alveolar bone and the deformation of the periodontal ligament (PDL) are the foundation of tooth movement. Zeng et al.24 demonstrated that stresses in the PDL around the mandibular incisors increased as alveolar bone height decreased under occlusal loads. In the present study, it was discovered that the von Mises stress was primarily concentrated at the cervical margin of the PDL, specifically on the labial and lingual sides of the anterior teeth and that it increased as the alveolar bone absorbed. Furthermore, it was also observed that the stress concentration areas expanded, and additionally, the stress increased as the length of the retraction hooks increased. A possible explanation is that longer hooks can generate greater lingual root torque and transfer greater force to the apical region. The observations revealed that patients with anterior alveolar bone resorption are more likely to experience stress concentration in the PDL during mandibular dentition distalisation, particularly when a long retraction hook is used. The stress concentration may further harm periodontal health, resulting in serious complications, related to bone fenestration and secondary gingival recession, as reported in previous studies.9,10,18,19 Consequently, considering the characteristics of the malocclusion, a lower force and a suitable length of traction hook should be considered to prevent stress concentration within the periodontal ligament. The present research has unified the magnitude of the force to ensure homogeneity between the various groups. Further research is needed to determine the appropriate level of force for those patients requiring mandibular dentition distalisation.
In the present study, FEA was used to investigate tooth movement patterns and stress distribution with different levels of anterior alveolar bone resorption during the distalisation of the mandibular dentition, and under different force applications. There are likely differences between the experimental conditions and actual clinical situations. Firstly, the resorption of alveolar bone in patients with periodontitis is variable. However, the present study had a limited number of groups for alveolar bone resorption, therefore future studies should establish variable alveolar bone resorption as well as resorption at different sites, providing additional evidence for clinical treatment. Secondly, the mini-screw was firmly connected to the mandible, and its displacement was not considered. Although this might not cause meaningful changes in the results, it may not accurately reflect the movement of teeth and mini-screws over time in actual clinical situations.39 Future studies should consider the impact of anchorage stability on tooth movement through biomechanical analysis. Lastly, the periodontal ligament was considered as a linear material property because the focus was more on the instantaneous displacement pattern of the dentition.40 However, it has been reported that a non-linear model has advantages in measuring tooth movement and stress distribution.41 Future studies should consider bi-linear elastic and non-linear models, and validate them against clinical studies to determine appropriate mechanical properties of the periodontal ligament for application in FEA.
Through three-dimensional finite element analysis, the mechanics of using TSADs and varying the height of traction hooks to distalise the mandibular dentition with different levels of anterior alveolar bone resorption were clarified. The following conclusions were drawn:
During distalisation, the mandibular incisors with alveolar bone loss exhibited significant lingual tipping and counterclockwise rotation. Longer retraction hooks can prevent the uncontrolled tipping movement and achieve lingual root move-ment of the teeth.
In anterior alveolar bone loss, a shorter hook combined with a downward and backward force led to an intrusive distal tipping movement of the posterior teeth. However, longer hooks can reduce the intrusive movement and better control the tipping movement of the teeth.
Stress in the periodontal ligament increases as anterior alveolar bone loss worsens. Longer hooks can result in expansion of the stress distribution area and increased stress on the anterior teeth.