Figure 1.

Figure 2.

Figure 3.

Figure 4.

Figure 5.

Data analysis for incisor and molar movements measured from 3D models and cephalometric radiographs, each on two separate occasions (in mm)_
| Intraclass correlation (ICC) | Paired t test | ||||||||
|---|---|---|---|---|---|---|---|---|---|
| Tooth movement | Measurement method | 95% CI | ICC | p-value | Mean (SD) | Standard Error mean | 95% CI of difference | t-stat (df) | p-value |
| Incisor Horizontal | 3D | (0.88, 0.97) | 0.94 | <0.001 | 0.02 (0.65) | 0.11 | (-0.23,0.26) | 0.13 (29) | 0.90 |
| Ceph | (0.67, 0.91) | 0.83 | <0.001 | 0.01 (1.50) | 0.27 | (-0.55,0.57) | 0.05 (29) | 0.96 | |
| Incisor Vertical | 3D | (0.89, 0.97) | 0.95 | <0.001 | -0.06 (0.48) | 0.09 | (-0.24,0.12) | -0.68 (29) | 0.50 |
| Ceph | (0.69, 0.92) | 0.84 | <0.001 | 0.23 (0.93) | 0.17 | (-0.12,0.58) | 1.33 (29) | 0.19 | |
| Molar Horizontal | 3D | (0.89, 0.97) | 0.94 | <0.001 | 0.13 (0.46) | 0.08 | (-0.04,0.30) | 1.56 (29) | 0.13 |
| Ceph | (0.63, 0.90) | 0.81 | <0.001 | 0.18 (1.18) | 0.21 | (-0.26,0.62) | 0.82 (29) | 0.42 | |
| Molar Vertical | 3D | (0.86, 0.97) | 0.93 | <0.001 | -0.03 (0.33) | 0.60 | (-0.16,0.09) | -0.56 (29) | 0.58 |
| Ceph | (0.76, 0.94) | 0.88 | <0.001 | -0.05 (0.87) | 0.16 | (-0.37,0.28) | -0.31 (29) | 0.76 | |
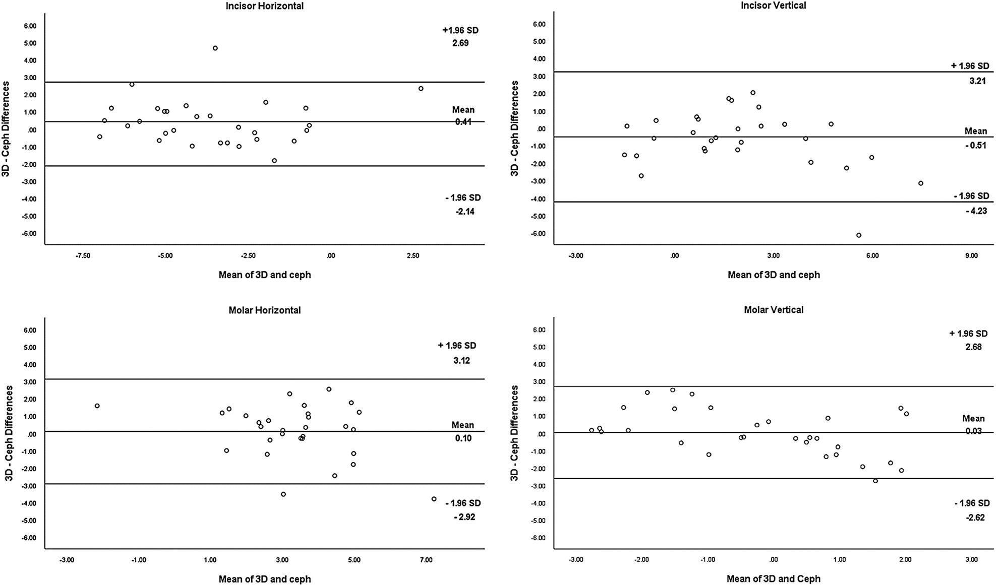
Bland-Altman analysis and paired t tests comparing horizontal and vertical tooth movement from 3D and cephalometric superimpositions_
| Paired t test | Bland–Altman | |||||||
|---|---|---|---|---|---|---|---|---|
| Tooth movement | Mean (SD) | Standard Error mean | 95% CI of difference | t (df) | p-value | Mean difference (SD) | Lower Limit | Upper limit |
| Incisor horizontal | ||||||||
| 3D Ceph | 0.41 (1.30) | 0.24 | (-0.07,0.89) | 1.72 (29) | 0.096 | 0.41 (1.30) | -2.14 | 2.95 |
| Incisor vertical | ||||||||
| 3D Ceph | -0.51 (1.90) | 0.35 | (-1.21,0.20) | -1.46 (29) | 0.156 | -0.51 (1.90) | -4.23 | 3.22 |
| Molar horizontal | ||||||||
| 3D Ceph | 0.10 (1.54) | 0.28 | (-0.47,0.68) | 0.37 (29) | 0.712 | 0.10 (1.54) | -2.91 | 3.13 |
| Molar vertical | ||||||||
| 3D Ceph | 0.03 (1.35) | 0.25 | (-0.48,0.53) | 0.11 (29) | 0.916 | 0.03 (1.35) | -2.62 | 2.67 |