Fig. 1.

Fig. 2.

Fig. 3.

Fig. 4.

Fig. 5.

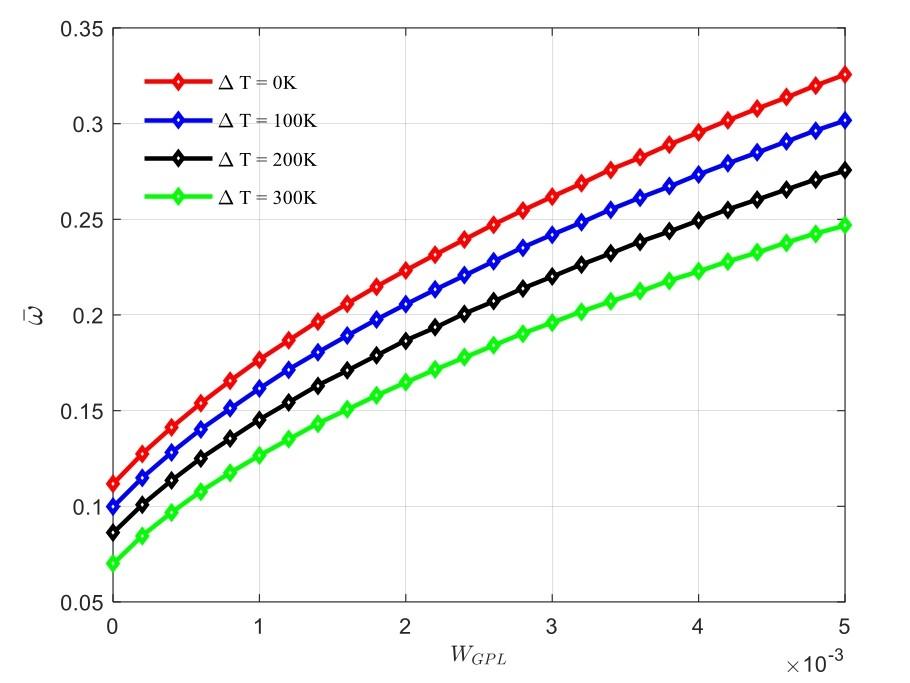
Fig. 6.

Fig. 7.

Fig. 8.

Fig. 9.

Fig. 10.

Fig. 11.

Material constituents and properties
| Materials | Piezoelectric | GPLs |
|---|---|---|
| E(Gpa) | 1.4 | 1010 |
| v | 0.29 | 0.186 |
| ρ(g/cm3) | 1.92 | 1.06 |
| α(10–6K–1) | 60 | 5 |
| A31(10–3C/m2) | 50.535 | 50.535 e0 |
| A33(10–3C/m2) | 13.212 | 13.212 e0 |
| A15(10–3C/m2) | -15.93 | -15.93 e0 |
| s11(10–9C/Vm) | 0.5385 | 0.5385 e0 |
| s33(10–9C/Vm) | 0.59571 | 0.59571 e0 |
Dynamic results of FG-GPLRC piezoelectric beam diverse types of distribution and different values of the length-to-thikness pro-portion L/h
| WGPL | Patterns | UD | FG-X | FG-O | FG-A |
|---|---|---|---|---|---|
| 0.1% | L/h=5 | 0.1581 | 0.1765 | 0.1373 | 0.1569 |
| L/h =10 | 0.0448 | 0.0448 | 0.0348 | 0.0398 | |
| L/h 15 | 0.0179 | 0.0200 | 0.0155 | 0.0177 | |
| L/h =20 | 0.0101 | 0.0112 | 0.0087 | 0.0100 | |
| 0.3% | L/h=5 | 0.2237 | 0.2618 | 0.1776 | 0.2194 |
| L/h =10 | 0.0567 | 0.0665 | 0.0450 | 0.0557 | |
| L/h 15 | 0.0253 | 0.0296 | 0.0201 | 0.0248 | |
| L/h =20 | 0.0142 | 0.0167 | 0.0113 | 0.0140 | |
| 0.5% | L/h=5 | 0.2741 | 0.3257 | 0.2104 | 0.2673 |
| L/h =10 | 0.0695 | 0.0827 | 0.0533 | 0.0678 | |
| L/h 15 | 0.0310 | 0.0368 | 0.0238 | 0.0302 | |
| L/h =20 | 0.0174 | 0.0207 | 0.0134 | 0.0170 |
Convergence study of DQFEM related to linear free vibration nanocomposite beam armed with GPLs
| Ne | N | UD | FG-X | FG-O | FG-A |
|---|---|---|---|---|---|
| 1 | 4 | 0.3061 | 0.3637 | 0.2351 | 0.3062 |
| 6 | 0.2742 | 0.3258 | 0.2105 | 0.2674 | |
| 8 | 0.2741 | 0.3257 | 0.2104 | 0.2673 | |
| 10 | 0.2741 | 0.3257 | 0.2104 | 0.2673 | |
| 2 | 4 | 0.2752 | 0.3270 | 0.2113 | 0.2686 |
| 6 | 0.2741 | 0.3257 | 0.2104 | 0.2673 | |
| 8 | 0.2741 | 0.3257 | 0.2104 | 0.2673 | |
| 10 | 0.2741 | 0.3257 | 0.2104 | 0.2673 | |
| 3 | 4 | 0.2743 | 0.3259 | 0.2106 | 0.2676 |
| 6 | 0.2741 | 0.3257 | 0.2104 | 0.2673 | |
| 8 | 0.2741 | 0.3257 | 0.2104 | 0.2673 | |
| 10 | 0.2741 | 0.3257 | 0.2104 | 0.2673 |
Comparative of non-dimensional frequency with Wu et al_ 7 for various GPL distributions at ∆T = 0 K, L/H = 10, and WGPL=0_3%
| Pure epoxy | UD | FG-X | FG-O | FG-A | |
|---|---|---|---|---|---|
| Wu et al.[6] | 0.5998 | 0.8475 | 0.9293 | 0.7508 | 0.8164 |
| Present | 0.5977 | 0.8445 | 0.9300 | 0.7401 | 0.8158 |
Comparative of the non-dimensional fundamental frequency ω1 for Ps/Pcr=0 between the present results and those of Wu et al_ under different temperature conditions
| ∆T | Present | Wu et al.[6] |
|---|---|---|
| 0 K | 0.9666 | 0.9289 |
| 50 K | 0.9275 | 0.8883 |
| 100 K | 0.8865 | 0.8501 |
Comparative examination of the natural frequencies of various boundary conditions with varying L/h ratios
| BC | L/h=10 | L/h=30 | L/h=100 | |
|---|---|---|---|---|
| S-S | Şimşek [37] | 2.695 | 2.737 | 2.742 |
| Present | 2.739 | 2.775 | 2.779 | |
| C-F | Şimşek [37] | 0.969 | 0.976 | 0.977 |
| Present | 0.976 | 0.982 | 0.983 | |
| C-C | Şimşek [37] | 5.811 | 6.167 | 6.212 |
| Present | 5.947 | 6.242 | 6.279 |
Frequency values of functionally graded multilayer X-GPLRC beams with varying boundary conditions and slenderness ratios
| BC | L/h=5 | L/h=10 | L/h=15 | L/h=20 |
|---|---|---|---|---|
| S-S | 0.3257 | 0.0827 | 0.0368 | 0.0207 |
| C-C | 0.7302 | 0.1888 | 0.0844 | 0.0476 |
| C-S | 0.5071 | 0.1297 | 0.0579 | 0.0326 |
| C-F | 0.1180 | 0.0297 | 0.0132 | 0.0074 |
Dynamic Change in the non-dimensional frequency of the S-S beams for different temperatures changes, different patterns and various values for weight fraction
| ∆T | wGPL | 0.1% | 0.3% | 0.5% |
|---|---|---|---|---|
| 0 | UD | 0.1581 | 0.2237 | 0.2741 |
| FG-X | 0.1765 | 0.2618 | 0.3257 | |
| FG-O | 0.1373 | 0.1776 | 0.2104 | |
| FG-A | 0.1569 | 0.2194 | 0.2673 | |
| 100 | UD | 0.1413 | 0.2000 | 0.2451 |
| FG-X | 0.1616 | 0.2419 | 0.3017 | |
| FG-O | 0.1175 | 0.1467 | 0.1711 | |
| FG-A | 0.1415 | 0.1983 | 0.2417 | |
| 200 | UD | 0.1221 | 0.1730 | 0.2122 |
| FG-X | 0.1452 | 0.2201 | 0.2757 | |
| FG-O | 0.0936 | 0.1071 | 0.1194 | |
| FG-A | 0.1240 | 0.1741 | 0.2122 |