Solid organ transplantation faces challenges such as acute and chronic rejection, compounded by significant morbidity associated with existing immunosuppressive treatments. Therefore, the overarching objective of transplantation research is to explore alternative therapies that aim to achieve donor-specific immune tolerance. This requires reprogramming of the recipient's immune system to recognize the transplanted tissue as “self,” thereby mitigating rejection responses.
One potential avenue to achieve this is the induction of donor-specific tolerance through the donor-derived bone marrow transplantation (BMT), resulting in mixed hematopoietic chimerism (Li et al. 2019). However, the toxicity of current BMT protocols precludes this approach from being used in routine clinical application, underscoring the urgent need for innovative stem cell-based therapies to enhance survival rates while reducing reliance on traditional immunosuppressive treatments.
Our laboratory has over 20 years of research experience in vascularized composite allograft (VCA) transplantation models, chimerism induction, and bone marrow (BM)-based therapies (Siemionow and Klimczak 2013; Siemionow et al. 2016; Jundziłł et al. 2021). Leveraging our well-established rat limb transplantation model, we have achieved the long-term survival (720 days) of limb allografts across major histocompatibility complex (MHC) barriers (Siemionow et al. 2002). This promising outcome was attributed to the presence of stable multilineage chimerism, the migration of donor-derived cells to the recipient's bone marrow compartment (BMC) and lymphoid organs, as well as the induction of tolerance across the MHC barriers (Arslan et al. 2007; Siemionow and Nasir 2007).
Our earlier investigation into tolerance induction laid the groundwork for the creation of donor-recipient di-chimeric cells (DCC), derived from the hematopoietic stem cells (HSC) of the donor's BM. DCC were generated through spontaneous in vivo fusion within the BM compartment of the recipients, as well as via an innovative ex vivo polyethylene glycol (PEG) fusion procedure. The created DCC were characterized by the cell membrane markers and the adjacent epitopes derived from both donor and recipient hematopoietic cells (Siemionow et al. 2005). Moreover, DCC maintained viability, phenotype, and clonogenic properties after long-term culture. Our previous research demonstrated the beneficial effect of intraosseous administration of DCC on the host immune response, establishing donor-specific tolerance in vivo under a short 7-day course of immunosuppressive therapy (Klimczak et al. 2007).
Since in the experimental models, the BM-derived CD90+ HSC have the capability to engraft and repopulate the BMC (de Vasconcelos and Lacerda 2022; Bastani et al. 2023), we performed ex vivo fusion of CD90+ hematopoietic progenitor cells from the allogeneic August Copenhagen Irish (ACI) and Lewis donors and successfully generated HSC/HSC DCC.
Furthermore, given that BM-derived mesenchymal stem cells (MSCs) possess potent immunomodulatory properties and facilitate allograft tolerance when administered alongside short-term immunosuppressive protocols (Heyes et al. 2016; Yu and Lu 2023), we generated HSC/MSC DCC by fusing allogeneic CD90+ HSC from the ACI donors with the MSC derived from Lewis donors.
This study successfully confirmed the feasibility of stem cell-based fusion, as well as the phenotype, viability, and tolerogenic properties of HSC/HSC DCC and HSC/MSC DCC derived from BMC. These findings are encouraging and introduce DCC as a novel, cell-based chimeric therapeutic approach aimed at prolonging the survival of VCAs without the need for lifelong immunosuppression.
This study received approval from the Animal Care Committee (ACC number 16-054, approved April 26, 2016) of the University of Illinois at Chicago, accredited by the American Association for the Accreditation of Laboratory Animal Care (AAALAC). All animals received humane care in compliance with the “Principles of Laboratory Animal Care” formulated by the National Society for Medical Research and the “Guide for the Care and Use of Laboratory Animal Resources” published by the US National Institutes of Health. In this experimental study, a total of 80 male ACI donors (RT1a) (strain: ACI, RRID: RGD_737892) and 80 Lewis donors (RT11) (strain: LEW, RRID: RGD_737932), between 8 weeks old and 10 weeks old, were purchased from the Charles River Laboratories (Chicago, Illinois, United States of America [USA]) and used in this study. The animals were housed in an accredited animal facility at the University of Illinois at Chicago, with access to rodent food and water ad libitum, and maintained on a 12-h light/12-h dark cycle.
Prior to initiating the in vivo study, we evaluated and characterized the HSCACI/HSCLewis DCC and HSCACI/MSCLewis DCC lines. For this purpose, HSCs and MSCs were isolated from 20 ACI (RT1a) and 20 Lewis (RT11) donors for the creation of both DCC lines. Following the in vitro characterization, 36 ACI and 36 Lewis donors were used for the large-scale generation of DCC lines designated for in vivo studies in a VCA (groin flap) model (Figure 1a). A total of 24 VCA were transplanted between ACI (RT1a) donors and fully MHC-mismatched Lewis (RT11) recipients (Figure 1b). The VCA Lewis recipients (weight 250–300 g) were ear-tagged and randomly divided into four experimental groups (n = 6/group) based on the type of injected cells: Group 1 control – received 0.1 mL of saline; Group 2 – received MSC (4 × 106–5 × 106 cells) therapy; Group 3 – received HSC/HSC DCC (4 × 106 to 5 × 106 cells) therapy; and Group 4 - received HSC/MSC DCC (4 × 106–5 × 106 cells) therapy. All cellular therapies were administered via intraosseous injection into the recipient's femur (Figure 1c). All animals received a 7-day immunosuppression protocol, which included an intraperitoneal injection of anti-αβTCR monoclonal antibody (250 μg/day, BD Pharmingen, Franklin Lakes, NJ, USA) and a subcutaneous injection of tacrolimus (0.5 mg/kg/day, Prograf, Astellas Pharma Inc., Northbrook, IL, USA). After the injection of cellular therapies, all treated animals were observed daily for any local signs of infection, edema, or hematoma.

Experimental study design and group allocation for the evaluation of the therapeutic efficacy of DCC lines in a rat VCA model. Creation of: (a) HSCACI/HSCLewis DCC and (b) HSCACI/MSCLewis DCC lines generated via ex vivo PEG-mediated cell fusion. BM cells were isolated from ACI (RT1a) and Lewis (RT11) donors, with HSCs obtained from both strains and MSCs from Lewis donors. ACI and Lewis cells were fluorescently labeled with PKH26 (red) or PKH67 (green) fluorescence dyes, respectively. Next, the cells were subjected to PEG-mediated fusion to generate the HSCACI/HSCLewis and HSCACI/MSCLewis DCC lines, which were subsequently characterized. (c) VCA transplantation and DCC therapies administration. From the left: VCA groin flaps were harvested from ACI (RT1a) donors and transplanted to the groin region of the fully MHC-mismatched Lewis (RT11) recipients. Following transplantation, Lewis VCA recipients received intraosseous administration of MSCLewis, HSCACI/HSCLewis DCC, or HSCACI/MSCLewis DCC and a 7-day immunosuppression protocol of anti-αβTCR monoclonal antibody and tacrolimus. ACI, August Copenhagen Irish; BM, bone marrow; DCC, di-chimeric cells; FACS, fluorescence-activated cell sorting; HSCs, hematopoietic stem cells; MHC, major histocompatibility complex; MSCs, mesenchymal stem cells; PEG, polyethylene glycol; VCA, vascularized composite allograft.
The MSC were isolated from BM aspirates obtained from 20 Lewis donors. Briefly, the donors' legs were shaved and washed with an iodine solution. Subsequently, both femurs and tibias from Lewis donors were dissected under sterile conditions, and the intramedullary cavities were rinsed using a 3-mL syringe and an 18 G needle (305195, BD® PrecisionGlide™ Needle, Becton Dickinson, Franklin Lakes, NJ, USA). Following rinsing, the bones were washed with 20 mL of Dulbecco's modified eagle's medium (DMEM; Thermo Fisher Scientific, Waltham, MA, USA) solution. Mononuclear BM cells were then isolated through density gradient separation using Ficoll-Paque PLUS (Thermo fisher Scientific). After 3 days of culture in a low-glucose Corning® DMEM (Corning, Corning, NY, USA) with Gibco™ 1X antibiotic/antimycotic solution (Fisher Scientific) and 10% fetal bovine serum (FBS; MilliporeSigma, Burlington, MA, USA), non-adherent cells were discarded, and adherent cells were resuspended in Bead Buffer (Miltenyi Biotec, Bergisch Gladbach, Germany). The cell fraction was then loaded into a magnetic-activated cell sorting (MACS) column (Miltenyi Biotec) within the magnetic field of a MACS® Separator (Miltenyi Biotec) for purification. The cells were purified by depleting CD11b+ and CD45+ cells once the population of CD11b+ or CD45+ cells exceeded 3% among the MSC. The pure Lewis MSC population was expanded through six passages and characterized by the expression of cell markers at every passage. Isolated CD29+, CD73+, CD90+, CD105+, CD45−, and CD11b− cells were cultured in vitro in StemSpan™ H3000 medium (StemCell Technologies, Vancouver, Canada) supplemented with 10% FBS (MilliporeSigma).
The HSC were isolated from BM aspirates obtained from both ACI and Lewis donors. Donors' legs were shaved and sterilized using an iodine solution. Femurs and tibias were then aseptically dissected from 20 ACI donors, and the intramedullary cavities were flushed using a 3-mL syringe and an 18 G needle (305195, BD® Needle, Becton Dickinson). Subsequently, the bones were rinsed with 20 mL of DMEM (Thermo Fisher Scientific) solution. Following histopaque density gradient separation, BM mononuclear cells underwent positive MACS to enrich the CD90+ population. For this purpose, anti-CD90-PE-conjugated primary antibodies (Life Sciences, St. Petersburg, FL, USA) were used, followed by anti-PE microbeads (Miltenyi Biotec) to obtain an enriched CD90+ population. The CD90+ HSC were then cultured for 7 days in a serum-free medium for culture and expansion of hematopoietic cells (StemSpan™ SFEM, StemCell™ Technologies) with Gibco™ 1X antibiotic/antimycotic solution (Fisher Scientific, Waltham, MA, USA), and 10% FBS (MilliporeSigma), characterized for purity and viability, and subsequently used for the creation of DCC therapies.
The HSCACI/HSCLewis DCC line was created from CD90+ HSC derived from ACI and Lewis donors, while the HSCACI/MSCLewis DCC line was created from HSC derived from ACI donors and MSC from Lewis donors, as presented in Figure 1a,b. Prior to fusion, the parent cells were fluorescently stained with either PKH26-red or PKH67-green traceable membrane dyes (MilliporeSigma). The cells from each donor, labeled separately with either PKH26 or PKH67, were mixed in a 1:1 ratio and washed with serum-free RPMI 1640 medium (Thermo Fisher Scientific). Following the mixing of parent cells, the cell fusion procedure was performed using a 10% dimethyl sulfoxide (DMSO) solution containing PEG 4000 (EMD, Burlington, MA, USA), as previously reported (Siemionow et al. 2016). The fused cells were sorted based on double PKH26/PKH67 fluorescence using fluorescence-activated cell sorting (FACS) with a BD FACSAria™ II cell sorter (Becton Dickinson) (Figure 1a,b), representing the DCC population. The purified DCC lines were then administered intraosseously to Lewis recipients of VCA transplants (Figure 1c).
The creation of HSC/HSC DCC and HSC/MSC DCC via ex vivo PEG-mediated cell fusion was verified by flow cytometry (FC) and confocal microscopy (CM). First, FC analysis evaluated the staining efficacy and confirmed the efficacy of the fusion procedure. Then, cell samples were spun onto Fisherbrand™ Superfrost™ Plus Microscope Slides (Fisher Scientific), fixed in 4% paraformaldehyde (EMS, Hatfield, PA, USA) for 15 min at room temperature, and mounted using VECTASHIELD® Antifade Mounting Medium with DAPI nuclear counterstain (Vector Laboratories, Burlingame, CA, USA). The slides were analyzed using an upright confocal microscope (Leica TCS SP2 Upright CM, RRID: SCR_020231, Leica Microsystems, Wetzlar, Germany) with a digital camera (QImaging® Retiga-2000R Charge Coupled Device, QImaging, British Columbia, Canada) and ImagePro Plus (RRID: SCR_016879, Media Cybernetics, Rockville, MD, USA) software.
Phenotypic characterization of the stem cell surface marker expression of HSC (CD34+, CD45+, and CD90+) and MSC (CD90+, CD29+, and CD73+) was performed before the fusion in both respective parent cell lines and post-fusion in each DCC line by FC (Gallios, Beckman Coulter, Brea, CA, USA). For this purpose, the following anti-rat monoclonal antibodies were used: CD34 (BD Pharmingen™ APC CD34, RRID: AB_398614, BD Biosciences, (Becton, Dickinson and Company) – San Jose, CA, USA), CD45 (Brilliant Violet 570™, RRID: AB_10899568, BioLegend, San Diego, CA, USA), CD90 (BD Horizon™ BV421, RRID: AB_2737651, BD Biosciences), CD29 (BD Pharmingen™ fluorescein isothiocyanate (FITC) CD29, RRID: AB_395639, BD Biosciences), and CD73 (BD Horizon™ V450 CD73, RRID: AB_10714078, BD Biosciences). All cell samples were suspended in phosphate-buffered saline (PBS) containing 1% bovine serum albumin (BSA; Sigma-Aldrich, St. Louis, MO, USA) and incubated on ice with the aforementioned anti-rat monoclonal antibodies at saturating concentration. Data acquisition was performed using a BD LSRFortessa™ cell analyzer (RRID: SCR_018655, BD Biosciences). FC data were analyzed using FlowJo™ software (RRID: SCR_008520, Becton Dickinson) to determine the phenotype of parental and DCC cell lines.
The viability of donor cells (HSCACI, HSCLewis, and MSCLewis) before the cell fusion procedure, as well as the viability of both DCC lines at 14 days after the fusion procedure, was determined with 0.4% Trypan Blue staining (Millipore Sigma), following the manufacturer's instructions. The results were analyzed using an upright light microscope (Leica CD4000B, RRID: SCR_018895, Leica Microsystems) to assess the percentage of viable cells showing no dye inclusion. The data were normalized to the total cell counts.
Evaluation of allogeneic responses of ACI and Lewis parent cells and the created HSCACI/HSCLewis DCC and HSCACI/MSCLewis DCC lines after ex vivo cell fusion was performed by fluorescence-based lymphocyte reactivity assay. Lewis splenocytes were isolated via Histopaque density gradient centrifugation and subsequently labeled with eFluor 647 proliferation dye (eBioscience, San Diego, CA, USA). The labeled cells were then co-cultured in 96-well plates at a density of 1 × 105 cells per well, with a 1:1 ratio of splenocytes to each parent cell and DCC lines. Following 4 days of co-culture, samples were collected, and the extent of fluorescent dye dilution was assessed using a BD LSRFortessa™ Cell Analyzer (RRID: SCR_018655, BD Biosciences). Allogeneic ACI lymphocytes were used as a positive control to represent maximal proliferation, whereas co-culture with autologous Lewis lymphocytes and cultures in basal media served as negative controls, reflecting minimal proliferation.
The induction of Treg was evaluated using FC (Gallios, Beckman Coulter). First, splenocytes from Lewis rats were subjected to red blood cell lysis and evaluated for the expression of CD3, CD4, and CD25 cell surface markers. For this purpose, the following anti-rat monoclonal antibodies were used: CD3 (BD Horizon™ V450 CD3, RRID: AB_10894392, BD Biosciences), CD4 (BD Pharmingen PE CD4, RRID: AB_395548), and CD25 (APC CD25, RRID: AB_2814101, Biolegend). The CD3+/CD4+/CD25− T-cell population was sorted by a MoFlo Astrios Cell Sorter (Beckman Coulter). The selected CD3+/CD4+/CD25− T-cells were then co-cultured in 96-well plates at a density of 1 × 105 cells per well, with a 1:1 ratio with parent cells from ACI and Lewis donors, as well as with both DCC lines. After 4 days of co-culture, samples were harvested, and Treg induction was assessed by analyzing CD4+, CD25+ surface markers, and the forkhead box P3 (FoxP3) transcription factor (FITC FoxP3, eBioscienceTM, RRID: AB_465243, Thermo Fisher Scientific). The quantification analysis of the CD4+/CD25+/FoxP3+ Treg cell population was performed using a BD LSRFortessa™ Cell Analyzer (BD Biosciences) and FlowJo™ software (Becton Dickinson). Cultures maintained in basal medium served as negative controls.
The surgical technique of VCA using the rat groin flap model was performed following established protocols described in previous studies (Zor et al. 2016; Jundziłł et al. 2021). Briefly, both ACI donors and Lewis recipients were anesthetized via subcutaneous administration of ketamine (30 mg/kg), acepromazine (1 mg/kg), and xylazine (1 mg/kg). The right groin and leg regions were shaved, sterilized, and draped under aseptic conditions. The allograft boundaries were outlined using a surgical marker, extending from the xiphoid to the pubis along the midline, the inguinal ligament inferiorly, the costal arch superiorly, and the axillary line laterally. Under 40× magnification (Wild M-691, Leica Microsystems), a 3 cm × 3 cm groin flap was elevated to expose the vascular pedicle. The lateral femoral circumflex artery and vein, with accompanying femoral branches, were ligated using 10-0 nylon monofilament sutures (Ethicon Inc., Raritan, NJ, USA). The femoral artery and vein were then sharply divided, and the proximal adventitia was trimmed. The vessels were flushed with heparinized saline (10 IU/mL), and the harvested allograft was maintained in moist gauze prior to transplantation. Recipient site preparation followed the same dissection technique, with excision of a 3 cm × 3 cm area of the groin to create a recipient bed. Standard end-to-end microvascular anastomoses of femoral arteries and veins of the donor and recipient were performed under 40× magnification (Wild M-691, Leica Microsystems) using 10-0 nylon sutures (Ethicon Inc.,). The warm ischemia time after revascularization averaged 55 min. Anastomotic patency was confirmed by visual inspection for hemorrhage, thrombosis, and vessel tension. Following restoration of perfusion, the skin was closed with subcutaneous interrupted 5-0 Vicryl sutures (Ethicon Inc.).
Following VCA transplantation, cellular therapies were administered into the BMC of the right femoral bone of Lewis recipients as previously described (Siemionow et al. 2005; Klimczak et al. 2007). Under general anesthesia with 1.5%–2.5% isoflurane, a 1 cm dorsal mid-femoral incision was made, and the skin, subcutaneous tissue, and overlying muscles were dissected. To prevent intraosseous hyperpressure and improve cell distribution, 0.1 mL of BM was aspirated using a 0.5-mL syringe with a 30-gauge needle (BD Ultra-Fine™, Becton Dickinson) before cell injection. Subsequently, in the respective experimental groups, 60 μL of cellular suspension of MSC, HSC/HSC DCC, or HSC/MSC DCC in sterile saline was gently injected through a hole created in the femoral bone with a 30-gauge drill bit. The entry site was sealed with bone wax (Medline Industries, Northfield, IL, USA) to prevent leakage, and the wound was closed with 4-0 nylon sutures (Ethicon Inc.). Following cell administration, animals recovered in a heated environment and received standard postoperative care before being returned to the colony.
Throughout the 100-day post-transplant observation period, animals underwent daily monitoring to assess general health, behavior, and well-being. To assess the VCA acceptance and rejection, the animals underwent daily examination for any signs of VCA rejection, including edema, erythema, epidermolysis, graft shrinkage, hair loss, mummification, and ulceration. Necrosis affecting 80% of the VCA groin flap was deemed indicative of rejection. The survival rate of VCA transplants was assessed based on the number of days from transplantation to the onset of VCA graft rejection.
GraphPad Prism (ver. 9.5.0, RRID: SCR_002798, Dotmatics, Boston, MA, USA) software was used for statistical analysis. Statistical significance for survival was assessed using Kaplan–Meier survival curve analysis with log-rank and chi-square tests. Other quantified data were analyzed using the ordinary one-way analysis of variance (ANOVA) test for group comparison. Data are expressed as the mean ± standard error of the mean (SEM). Results were considered statistically significant for p < 0.05. Statistical significance is marked with asterisks: *p < 0.05, **p < 0.01, ***p < 0.001, and ****p < 0.0001.
The efficacy of the cell fusion procedure was assessed at 80%–97%, as verified by FC analysis (Figure 2a). The efficacy of the cell fusion procedure and the quality of the created chimeric cells were additionally validated by CM (Figure 2b), which demonstrated the presence of double PKH26/PKH67 staining, confirming the chimeric state of the generated DCC. The presented data unequivocally confirm the successful generation of DCC lines from ACI and Lewis BM cells, as determined through FC and CM analyses.

Confirmation of creation of the HSCACI/HSCLewis DCC and HSCACI/MSCLewis DCC lines via PEG-mediated ex vivo cell fusion procedure. (a) Representative FC dot-plots confirming the efficacy of PKH staining and PEG-mediated cell fusion (in sequential order from the left): isolated unstained HSC; single PKH26-labeled HSCACI before fusion procedure; single PKH67-labeled HSCLewis and MSCLewis before fusion procedure; fused HSCACI/HSCLewis DCC (gate R4); and fused HSCACI/MSCLewis DCC (gate R5), the gate based on PKH26- vs. PKH67-labeling. (b) Representative immunofluorescence CM images of (in sequential order from the left): single PKH26-labeled HSCACI before fusion procedure (red); single PKH67-labeled HSCLewis (upper row) and MSCLewis (lower row) before fusion procedure (green); fused and sorted HSCACI/HSCLewis DCC (upper row) and HSCACI/MSCLewis DCC (lower row), revealing the overlapping of PKH26/PKH67 membrane dyes (orange), confirming the di-chimeric state of the created DCC lines. Nuclei were counterstained with 4′,6-diamidino-2-phenylindole (DAPI) (blue). Images were captured using an upright confocal microscope (Leica TCS SP2 Upright CM) at a magnification of 400x, with a scale bar of 100 μm. ACI, August Copenhagen Irish; CM, confocal microscopy; DCC, di-chimeric cells; FC, flow cytometry; HSCs, hematopoietic stem cells; MSCs, mesenchymal stem cells; PEG, polyethylene glycol; VCA, vascularized composite allograft.
The FC analysis evaluated the expression of selected hematopoietic (CD34, CD45, and CD90) and mesenchymal (CD90, CD29, and CD73) cell surface markers in the parent cells before fusion and in both DCC lines after fusion (Table 1). The expression of hematopoietic cell surface markers on the HSCACI parent cells before fusion revealed: CD34+ (93.33%), CD45+ (80.33%), and CD90+ (79.33%), and on the HSCLewis parent cells: CD34+ (90.33%), CD45+ (80.33%), and CD90+ (76.00%). The FC analysis confirmed that the HSCACI and HSCLewis parent cells expressed HSC-specific surface markers (CD34, CD45, CD90). The created HSCACI/HSCLewis DCC expressed hematopoietic cell surface markers: CD34+ (74.33%), CD45+ (72.33%), and CD90+ (69.67%), which were comparable with the expression of the parent cells markers, further confirming both hematopoietic origin and maintenance of the hematopoietic phenotype of the HSCACI/HSCLewis DCC line. The HSCACI/MSCLewis DCC revealed: CD90+ (73.33%), CD29+ (80.00%), and CD73+ (69.67%), which was comparable with the expression of the surface markers on the MSCLewis parent cells: CD90+ (72.67%), CD29+ (95.00%), and CD73+ (78.00%). These findings verified that the created HSCACI/MSCLewis DCC expressed both HSC (CD34, CD45, CD90) and MSC (CD29, CD73, CD90) specific cell surface markers. These findings confirm maintenance of the hematopoietic and mesenchymal phenotypes of the created HSCACI/MSCLewis DCC line.
Confirmation of hematopoietic phenotype maintenance in the created HSCACI/HSCLewis DCC and HSCACI/MSCLewis DCC lines by assessment of the hematopoietic cell surface markers expression
| Samples | CD34+ | CD45+ | CD90+ | CD29+ | CD73+ |
|---|---|---|---|---|---|
| HSCACI | 93.33 | 80.33 | 79.33 | 1.07 | 3.47 |
| HSCLEWIS | 90.33 | 80.33 | 76.00 | 1.00 | 1.93 |
| MSCLEWIS | 53.33 | 3.40 | 72.67 | 95.00 | 78.00 |
| HSCACI/HSCLEWIS DCC | 74.33 | 72.33 | 69.67 | 3.20 | 2.33 |
| HSCACI/MSCLEWIS DCC | 77.33 | 62.67 | 73.33 | 80.00 | 69.67 |
Expression of the stem cells surface markers, including HSC (CD34+, CD45+, CD90+) and MSC (CD90+, CD29+, CD73+), was assessed in parent cells before fusion and in DCC lines after fusion. Hematopoietic cell surface marker expression was considered positive if at least 60% of cells expressed the specific cell surface marker (green field), and was considered negative when surface marker expression was below 5% (orange field).
ACI, August Copenhagen Irish; DCC, di-chimeric cells; HSCs, hematopoietic stem cells; MSCs, mesenchymal stem cells.
The assessment of viability of the parent cells before fusion and both DCC lines after fusion was performed by Trypan Blue staining (Figure 3a). There was no statistical difference in the average viability of the parent cells (HSCACI: 86.33% ± 6.06%, vs. HSCLewis: 80.67% ± 3.84%) and the created HSCACI/HSCLewis DCC (89.67% ± 0.33%; p > 0.05) at 14 days culture as assessed by Trypan Blue staining (Figure 3b). Furthermore, there was no statistical difference in the average viability of the parent cells (HSCACI: 90.67% ± 2.19%, vs. MSCLewis: 86.33% ± 4.91%) and the created HSCACI/MSCLewis DCC (87.00% ± 4.04%; p > 0.05) at 14 days of culture as assessed by Trypan Blue staining. These findings demonstrated that both DCC lines maintained viability after the fusion procedure and 14 days of DCC culture, confirming that the cell fusion technology using the PEG/DMSO-mediated fusion procedure did not compromise cell viability.

Confirmation of the viability of ACI and Lewis parent cells and the created HSCACI/HSCLewis DCC and HSCACI/MSCLewis DCC lines by Trypan Blue staining at 14 days after fusion. (a) Assessment of viability by Trypan Blue staining of (in sequential order from the left), upper panel: HSCACI and HSCLewis before fusion and HSCACI/HSCLewis DCC after fusion; and lower panel: HSCACI and MSCLewis before fusion and HSCACI/MSCLewis DCC after fusion. Images were captured using an upright CM (Leica TCS SP2 Upright CM), scale bar: 100 μm. (b) Comparison analysis of the number of viable cells based on Trypan Blue dye inclusion (in sequential order from the left), upper panel: HSCACI and HSCLewis before fusion and HSCACI/HSCLewis DCC after fusion; and lower panel: HSCACI and MSCLewis before fusion and HSCACI/MSCLewis DCC after fusion. No statistically significant difference in cell viability was observed between parent cells prior to fusion and DCC lines after fusion. A one-way ANOVA test was used to determine statistical significance for group comparisons. ACI, August Copenhagen Irish; ANOVA, analysis of variance; CM, confocal microscopy; DCC, di-chimeric cells; HSCs, hematopoietic stem cells; MSCs, mesenchymal stem cells.
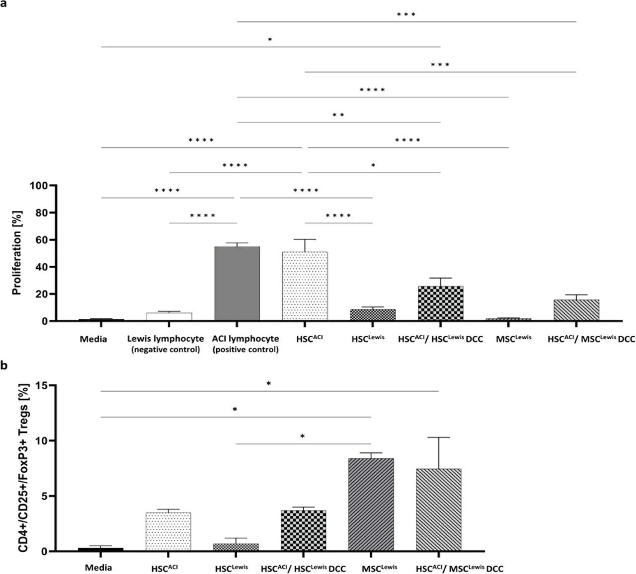
The evaluation of allogeneic responses of the parent cells before fusion and both DCC lines after fusion by fluorescence-based lymphocyte reactivity assay is presented in Figure 4a. Negative controls included co-culture with autologous Lewis lymphocytes (6.07% ± 1.07%) and cultures in basal medium (1.33% ± 0.52%), both of which showed minimal proliferation. By contrast, the positive control, representing co-culture with allogeneic ACI lymphocytes, exhibited significantly higher proliferation compared to both autologous Lewis lymphocytes (54.53% ± 2.81% vs. 6.07% ± 1.07%, p < 0.0001) and basal medium (54.53% ± 2.81% vs. 1.33% ± 0.52%, p < 0.0001), representing the maximal proliferative response. Both DCC lines induced reduced lymphocyte proliferation when compared to the allogeneic HSCACI parent cells (HSCACI/HSCLewis DCC: 25.73% ± 5.94%, vs. HSCACI: 51.07% ± 9.17%, p < 0.05; and HSCACI/MSCLewis DCC: 15.73% ± 3.64%, vs. HSCACI: 51.07% ± 9.17%, p < 0.001).

Evaluation of the immunogenicity of the ACI and Lewis parent cells before fusion and the created HSCACI/HSCLewis DCC and HSCACI/MSCLewis DCC lines after ex vivo fusion. (a) Evaluation of in vitro allogeneic response of ACI and Lewis parent cells, as well as the created HSCACI/HSCLewis DCC and HSCACI/MSCLewis DCC lines by fluorescence-based lymphocyte reactivity assay. (b) FC evaluation of the immunomodulatory properties of in vitro co-cultured CD3+/CD4+/CD25− Lewis T cells with ACI and Lewis parent cells, as well as the created HSCACI/HSCLewis DCC and HSCACI/MSCLewis DCC lines by regulatory T-cell (Treg) induction assay. Data presented as mean ± SEM. An ordinary one-way ANOVA test for group comparison was used to define statistical significance, *p < 0.05, **p < 0.01, ***p < 0.001, ****p < 0.0001. ACI, August Copenhagen Irish; ANOVA, analysis of variance; DCC, di-chimeric cells; HSCs, hematopoietic stem cells; MSCs, mesenchymal stem cells; SEM, standard error of the mean.
The evaluation of Treg-cell induction by both DCC lines is depicted in Figure 4b. The MSCLewis induced elevated levels of Tregs compared with negative media control (Lewis MSC: 8.40% ± 0.50%, vs. basal medium: 0.30% ± 0.20%, p < 0.05). Additionally, the MSCLewis exhibited a higher induction rate of Treg cells compared to HSCLewis (MSCLewis: 8.4% ± 0.5%, vs. HSCLewis: 0.7% ± 0.5%, p < 0.05). The HSCACI/MSCLewis DCC maintained an increased MSC Tregs level when compared to the basal medium (HSCACI/MSCLewis DCC: 7.45% ± 2.85%, vs. basal medium: 0.3% ± 0.2%, p < 0.05), indicating the immunomodulatory properties of the HSCACI/MSCLewis DCC line.
The procedural workflow and successful outcomes of VCA, combined with intraosseous cell delivery, are illustrated in Figure 5. The composite groin flap was carefully harvested on the vascular pedicle (femoral artery and vein) of ACI donors. (Figure 5a), followed by microsurgical anastomosis between donor and recipient vessels and flap and insertion into the created defect in the Lewis recipient to complete the transplantation (Figure 5b). On postoperative day 63, the graft remained viable and well-perfused, without visible signs of rejection or necrosis (Figure 5c). Following transplantation of the VCA groin flap, DCC therapy was delivered via the intraosseous administration to the femoral bone of the Lewis recipients (Figures 5d,e), highlighting BM aspiration to alleviate intraosseous pressure and create space for controlled delivery of the DCC cell suspension, followed by the sealing of the injection site with bone wax to prevent leakage before final skin closure.

Representative pictures of the VCA (groin flap) transplantation procedure and the intraosseous DCC injection. (a) The Vascularized composite groin flap transplant was harvested from the donor rat on the vascular pedicle of the femoral artery and vein. (b) VCA after transplantation to the recipient. (c) Healthy VCA at day 63 post-transplant. (d) BM aspiration from the femoral medulla to reduce the risk of hyperpressure. (e) DCC therapy injection into the femoral bone, followed by the hole sealing with the bone wax to prevent any cell leakage before skin closure. BM, bone marrow; DCC, di-chimeric cells; VCA, vascularized composite allograft.
The changes in VCA survival rates following intraosseous administration of cellular therapies and immunosuppressive protocol are presented in Figure 6a. Notably, no complications were observed following either the surgical VCA transplantation procedure or the administration of DCC therapies. Throughout the entire observation period, the VCA transplants were examined daily for signs of rejection, characterized by erythema, alterations in fur texture, and discharge secretion. Although all experimental groups experienced allograft rejection, the HSC/MSC DCC therapy group demonstrated the longest average VCA survival (94 ± 1.65 days), followed by the HSC/HSC DCC therapy group (66 ± 1.24 days) and MSC therapy group (45.5 ± 4.08 days). The shortest VCA survival time was observed in the animals receiving saline (38 ± 4.29 days). Following VCA rejection, all tissue grafts were removed and subjected to macroscopic evaluation (Figure 6b). Gross necrosis and visible signs of rejection were most pronounced in the group that received an intraosseous saline injection.

VCA survival and macroscopic assessment following intraosseous administration of cellular therapies combined with a 7-day immunosuppression protocol of anti-αβTCR monoclonal antibody and tacrolimus. (a) Kaplan–Meier survival curve representing the VCA survival in experimental groups based on the number of days from the transplantation procedure to VCA rejection. The longest average VCA survival was observed following intraosseous administration of the HSC/MSC DCC therapy (94 ±1.65 days; mean ± SEM) (b) Representative pictures of the VCA after transplantation on days (from the left) 81, 84, 77, and 111. The columns represent the experimental groups that received an intraosseous injection of (in the sequential order from left to right) saline (control), MSC therapy, HSC/HSC DCC therapy, and HSC/MSC DCC therapy, followed by a 7-day immunosuppression protocol. Upper row: Gross assessment of the transplanted VCA. Lower row: The same VCA transected longitudinally to visualize the subcutaneous tissue condition. DCC, di-chimeric cells; HSCs, hematopoietic stem cells; MSCs, mesenchymal stem cells; SEM, standard error of the mean; VCA, vascularized composite allograft.
In recent years, cell-based therapies have emerged as a forefront strategy in the treatment of various medical conditions, particularly in the context of allogeneic transplantation (Doglio et al. 2022). This is largely driven by the recognition of the serious side effects associated with lifelong immunosuppressive protocols, prompting the exploration of management options with a lower risk profile (Ruiz and Kirk 2015). The promising outcomes from our studies on tolerance induction in allotransplantation have spurred the development of innovative cellular therapies endowed with tolerogenic properties (Siemionow and Klimczak 2013). We have introduced donor–recipient DCC as a novel tolerogenic approach to address the unmet needs for safer, more effective alternatives that do not require immunosuppression (Siemionow and Nasir 2007; Siemionow et al. 2016; Cwykiel et al. 2021a).
In this study, we present a DCC therapy generated via ex vivo PEG-mediated fusion of HSC and/or MSC. This strategy aimed to develop a cell-based therapy to facilitate tolerance induction in VCA transplant recipients by generating a mixed donor-recipient phenotype, reducing immunogenicity, and enhancing engraftment and chimerism development, all without the need for myeloablative preconditioning of the transplant recipient.
In our previous in vitro studies, we successfully developed chimeric cells, demonstrating their low immunogenicity and pro-tolerogenic features (Cwykiel et al. 2021b). Our validated DCC development protocol showed a favorable safety profile and potential for further investigation.
Encouraged by these promising results, we assessed the properties of DCC in vivo as a supportive therapy for VCA recipients. Testing of DCC was conducted using a rat groin flap VCA transplantation model. The DCC were administered according to our well-established protocol for intraosseous injection combined with a 7-day non-myeloablative immunosuppression protocol consisting of anti-αβTCR and tacrolimus. This specific regimen and its duration were chosen based on our previous research in rat limb, face, and groin flap VCA models, which demonstrated the efficacy of short-term (7-day) immunosuppression in supporting graft survival and chimerism induction (Hivelin et al. 2016; Cwykiel et al. 2021a). The feasibility of the cell fusion procedure and the creation of DCCs was evaluated using FC and CM.
DCC therapy combined with a 7-day immunosuppression protocol resulted in significantly prolonged VCA survival compared with untreated controls. These results indicate that DCC therapy can meaningfully delay rejection rather than induction of permanent tolerance; therefore, further optimization of the DCC protocol is warranted. Among the treatment groups, HSC/MSC DCC therapy achieved the longest allograft survival, followed by HSC/HSC DCC therapy. The maximum VCA survival of 94 days observed after HSC/MSC treatment is comparable to previously reported VSA survival under a similar immunosuppression protocol (Eldaly et al. 2024). Collectively, these findings demonstrate that both HSC/HSC and HSC/MSC DCC therapies exert meaningful immunomodulatory effects, supporting the role of DCCs in promoting prolonged graft acceptance and tolerance-associated mechanisms in VCA transplantation (Siemionow and Klimczak 2013; Siemionow et al. 2016).
Our previous studies (Cyran et al. 2024), together with reports from other investigators (Okeke and Uzonna 2019; Ou et al. 2023), indicate that the hematopoietic component of DCC may contribute to the establishment of mixed chimerism, a state strongly associated with immune tolerance, reduced graft rejection, and prolonged allograft survival under reduced immunosuppressive protocols. In parallel, the mesenchymal component of DCC is likely to exert MSC-like immunomodulatory effects, including suppression of effector T-cell and NK-cell activity and promotion of regulatory T-cell induction (Spaggiari et al. 2008; Song et al. 2020).
Multiple studies confirm that regulatory T cells, particularly the CD4+CD25+ subset, are central to the maintenance of immune homeostasis and transplantation tolerance (Cohen et al. 2002; Sakaguchi et al. 2008; Hall 2016). In the present study, the superior VCA survival observed following administration of HSC/MSC DCC containing both hematopoietic and MSC components, compared with the lower survival rates observed after HSC/HSC DCC therapy (consisting only of hematopoietic cell lines), likely reflects a synergistic interaction between complementary immunological mechanisms mediated by the two cell populations (Zhang et al. 2023). Within the HSC/MSC DCC therapy, the hematopoietic component supports the establishment of mixed chimerism and donor-specific immune adaptation, whereas the mesenchymal component provides additional layers of immune modulation. Together, these mechanisms more effectively restrain alloreactivity, enhance immune tolerance and contribute to prolonged VCA survival (Ménard and Tarte 2013).
This study demonstrates that HSC and MSC exhibit distinct molecular and secretory profiles, which influence their intercellular communication and autocrine/paracrine regulatory loops. The new generation of DCC, created through the ex vivo fusion of HSC with MSC, expresses unique tolerogenic properties that support the long-term survival of VCA.
Despite the promising results demonstrated in this study, several translational limitations must be acknowledged. The use of a rat VCA experimental model does not fully recapitulate the complexity of the human immune system or the clinical conditions of transplantation. Species-specific differences in immune regulation, graft size, and long-term immunological responses may therefore limit the direct translation of these findings to humans. Furthermore, graft rejection was evaluated solely using established macroscopic rejection criteria and graft survival analysis, which are commonly applied endpoints in experimental VCA models. No histological evaluation was performed in the present work, as the primary focus was on validating the functional and macroscopic outcomes of the grafts. Future studies will incorporate comprehensive histological grading alongside macroscopic evaluation to provide a more robust assessment of graft rejection. In addition, studies employing immunodeficient and humanized animal models are warranted to evaluate the safety, persistence, and immunomodulatory effects of human DCC derived from human BM-derived HSC and MSC. Finally, adaptation of this strategy to large-animal VCA models will represent a critical step toward its clinical translation.
BMT and solid organ transplantation remain elective procedures based on the availability of donors. This allows DCC therapy to be prepared in advance and administered on the day of the transplant. In the case of clinical VCA transplantation, having access to a large volume of donor-derived BM facilitates the creation of sufficient numbers of cells through multiple cell fusions, thereby providing the initial peri-transplant dose of DCC. The continued propagation of DCC post-transplant allows additional doses to be administered based on the donor's chimerism levels and signs of rejection. Additionally, DCC can be cryopreserved after culturing and propagation and used during long-term follow-up to support VCA survival in cases of chronic graft rejection. Therefore, DCC represents a novel, tolerogenic therapeutic approach to maintain chimerism and prolong VCA survival.
This study is the first to demonstrate the immunomodulatory properties of HSC/HSC and HSC/MSC DCC therapies, both in vitro and in vivo, and confirms a notable extension in VCA survival when combined with a 7-day αβ-TCR and tacrolimus immunosuppression protocol. These findings introduce HSC/MSC DCC therapy as a promising new strategy for clinically viable, personalized cell-based immunomodulatory treatments that support the development of chimerism in VCA transplants.