The main sources of fluorides (F-) are water and food, but they can also be found in various minerals in the Earth’s crust (1, 2, 3) and the atmosphere due to release from a variety of industries, including pesticide, glass, aluminium, and cement (1, 4, 5, 6). Groundwater pollution exceeding concentrations of 1.5 mg/ L, however, is the major source of overexposure for more than 200 million people worldwide (7, 8, 9, 10, 11).
Even though F- is beneficial for physiological functions, its excess leads to dental and skeletal fluorosis and damage of various tissues, organs, and systems (12, 13, 14, 15, 16, 17, 18). Its toxicity mechanisms are complex, as they interact with enzymes, induce inflammation, and damage cells (19, 20). One of the most significant mechanisms is the induction of oxidative stress (21, 22). At the cell level oxidative stress could lead to chronic inflammation and cause various pathological conditions, such as diabetes mellitus, neurological disorders, and neoplasms (23, 24). In vitro and animal studies show that F- promotes generation of reactive oxygen species (ROS) and directly reduces antioxidant capacity (25, 26, 27, 28). In addition, it may affect hormonal balance, enzyme and protein activity/ expression, and have genotoxic and cytotoxic effects in various tissues and species (29, 30, 31, 32).
However, little is known about how subacute sodium fluoride (NaF) exposure affects the behaviour of essential bioelements such as copper (Cu), zinc (Zn), iron (Fe), and selenium (Se), which are important for homeostasis, DNA transcription regulation, and enzyme synthesis and activity (33, 34, 35). In addition, these bioelements can act as antioxidants (36). What we do know from animal studies (37, 38, 39) is that F- does interact with some microelements and their levels in urine, serum, and soft and mineralised tissues.
We also know that one of these bioelements, Se, counters toxic effects of different substances, such as apoptosis, oxidative damage, and telomere shortening (40, 41, 42, 43). Protective effects of Se against NaF-induced oxidative and DNA damage have been confirmed both in vivo and in vitro (44, 45). We too have reported that Se mitigated DNA damage in liver and spleen cells after subacute NaF treatment of rats but did not improve liver histology (32).
Having all of this in mind, we hypothesized that F- might cause toxic effects by provoking oxidative stress and perturbations in bioelement levels and that Se could mitigate these effects. Therefore, the aim of our study was to fill in gaps in knowledge about how subacute F- exposure affects redox status parameters and bioelements (Cu, Zn, and Fe) in the blood, liver, spleen, kidneys, and brain of experimental rats, and to explore the potential protective effects of Se.
All chemicals were of analytical grade. Sodium fluoride was purchased from Kemika (Zagreb, Croatia), sodium selenite (Na2SeO3x5H2O) from Fluka (Buchs, Switzerland), perchloric acid (HCIO4) from Fisher Scientific (Waltham, MA, USA), and nitric acid (HNO3) and chemicals for redox status and bioelement determination from Sigma-Aldrich-Chemie (Steinheim, Germany).
The study included 20 male albino Wistar rats, obtained from the Military Medical Academy (Belgrade, Serbia). At the time of the experimental treatment, animals were eight weeks old, weighing 140–190 g. One week before the experiment, the animals were acclimatized to controlled conditions: relative humidity 60–70 %, temperature 22±2 °C, and 12 h light/12 h dark cycle. They had free access to tap water and standard food pellets, obtained from the Veterinary Institute Subotica, Serbia.
They were randomly divided into four groups of five animals. Our decision to use only five rats per group and one F- and Se dose stemmed from the principles of 3Rs (replacement, reduction, and refinement) and animal welfare (46). The first group was control, with free access to tap water and food. The other three groups were exposed to NaF and/or Se through tap water solutions prepared on a daily basis. The fluoride group was exposed to NaF in the concentration of 150 mg/ L (F group), the selenium group to Na2SeO3 in the concentration of 1.5 mg/ L (Se group), and the combination group to NaF + Na2SeO3 in the concentrations given above (F+Se group). We selected this exposure route instead of gavage to simulate real-life exposure through drinking water as one of the main sources of exposure to F- for the general population (47, 48). In addition, this route is less invasive for the animals. Our choice of the Se concentration was based on literature data, which indicate that 1.5 mg/ L is optimal against F- toxicity in rats (49, 50, 51). To get an approximation of exposure, we measured water consumption for each group every day throughout the experiment, and calculated average daily water consumption per group. Based on these measurements of water consumption and body mass, we calculated that rats ingested 19.2 mg of F- per kg of body weight (bw) a day, which is subacute exposure, considering that acute toxicity was reported at daily doses between 31 and 102 mg/ kg bw. Furthermore, our previous research (52, 53) has shown that this subacute dose can induce oxidative stress in the serum, liver, spleen, and kidney.
Experimental exposure lasted for 28 days, after which the rats were euthanised with 300 mg/kg of ketamine (100 mg/mL) combined with 30 mg/ kg of xylazinum (20 mg/mL) administered intraperitoneally (ip).
The experiment was approved by the ethics committees of the University of Belgrade School of Dental Medicine and Faculty of Pharmacy (Belgrade, Serbia; approval Nos.: 36/2 and 323-07-11822/2018-05) in accordance with the EU Directive 2010 /63/EU on the Protection of Animals Used for Scientific Purposes (54).
Body weight gain (BWG) was calculated at four time points (on days 7, 14. 21, and 28 of the experiment) using the following equation:
where cbm is the current body mass on measurement day and bbm the baseline body mass of each animal in each group.
Blood samples were collected from the euthanised animals into 3 mL heparinised syringes by direct cardiac puncture with a 21G needle and their aliquots transferred in two heparin tubes. To assess redox status parameters, we separated plasma in the first aliquot by centrifugation at 3000×g for 15 min, stored it in Eppendorf tubes (2 mL), and frozen in liquid nitrogen (-80 °C) until further analyses. The second aliquot of whole blood was stored at -20 °C until bioelement analysis.
Liver, spleen, brain, and kidney tissue samples were excised and rinsed from blood with cold saline (0.9 % NaCl). Those for redox status analysis were immediately frozen to -80 °C in liquid nitrogen, and those for bioelement and F- analyses were stored at -20 °C.
In a glass tube we homogenised liver, spleen, brain, and kidney samples (0.2–0.4 g) with 0.1 mol/L phosphate buffer (pH 7.4) in the 1:9 weight-to-volume ratio and added the T10 basic Ultra-Turrax homogeniser (IKA, Königswinter, Germany). Homogenates were centrifuged at 800 ×g for 10 min and then at 9500 ×g for 20 min to obtain post-mitochondrial supernatant fraction, which was stored at -80 °C until further analysis.
Tissue protein concentrations were determined using the method described by Bradford (55), which is based on Coomassie Brilliant Blue G-250 binding to a protein molecule, and showing absorption peak at 465–595 nm. For readings we used a SPECTROstar Nano UV/VIS spectrometer (BMG Labtech, Ortenberg, Germany) and for standard we used bovine serum albumin.
To determine the levels of O2.- we followed the method described by Auclair (56), in which O2.- reduces the yellow nitro group of nitroblue tetrazolium (NBT) to mono and diformazan (nitro blue formazan), whose absorbance was measured at 550 nm with the ILAB 300 plus analyser (Instrumentation Laboratory, Milan, Italy). Results are presented as μmol/min/L or μmol/min/g of protein.
Total oxidative status (TOS) was quantified with the spectrophotometric method described by Erel (57). This method is based on the capacity of total oxidants (such as lipid hydroperoxide and hydrogen peroxide) to oxidise the ferrous ion–o dianisidine complex to ferric ion. In acidic conditions, ferric ion with xylenol-orange creates a coloured complex, whose absorbance was measured spectrophotometrically at 560 nm with the ILAB 300 plus analyser and corresponds with the overall content of oxidants in the sample. Hydrogen peroxide (10–200 μmol/L) was used as a standard, and the results are presented as μmol of H2O2 equivalent per L or g of protein.
Superoxide dismutase (SOD1) activity was determined as described by Misra and Fridovich (58). This method is based on the enzyme’s potential to inhibit epinephrine auto-oxidation in an alkaline solution (pH 10.2) at 25 °C. One unit of activity (U) corresponds to 50 % inhibition of epinephrine auto-oxidation. SOD1 activity was determined spectrophotometrically with the ILAB 300 plus analyser by measuring the absorbance of a red product of adrenaline oxidation at 480 nm and is expressed as U per L or per g of protein.
The levels of sulphhydryl (SH) groups were determined with a method described by Ellman (59), in which 2-nitrobenzoic acid (DTNB, 10 mmol/ L in 50 mmol/ L phosphate buffer, pH 7.0) reacts with aliphatic thiols (0.2 mol/ L K2HPO4, 2 mmol/ L EDTA, pH 9.0) to form yellow-coloured p-nitrophenol. SH levels were determined spectrophotometrically, by measuring the absorbance of the formed yellow reaction product at 412 nm with the SPECTROstar Nano UV/VIS spectrometer, and the results are expressed as mmol/ L or mmol/g of protein.
The levels of malondialdehyde (MDA) were measured as described by Girotti et al. (60). Briefly, we mixed homogenised samples with 0.375 % thiobarbituric acid (TBA), 15 % trichloroacetic acid, and 0.25 mol/L HCl and incubated them at 100 °C for 5 min to let MDA react with TBA and form a red-coloured complex. After cooling on ice, samples were centrifuged at 10,000×g for 10 min and complex absorbance measured spectrophotometrically at 535 nm with the SPECTROstar Nano UV/VIS. The concentration of MDA is expressed as μmol/L or μmol/g of protein.
Cu, Zn, and Fe levels were determined in 1 mL of blood and about 500 mg of organ fragments. Glass platters used for blood and organs were soaked in 10 % HNO3 and washed with distilled water. Samples were weighed on an analytical balance (Radwag, Radom, Poland) and placed in Erlenmeyer flasks to which we added 8 mL of 69 % HNO3 and 2 mL of 71 % HCIO4 for digestion. Samples were then placed in a sand bath (Elektron, Trstenik, Serbia) at 200 °C to dry by evaporation. Cu, Zn, and Fe were quantified with flame atomic absorption spectrometry (FAAS, 240FS AA, Agilent Technologies Santa Clara, CA, USA) against an external standard, while calibration was performed with the ICM-100 calibration standard solution (Agilent Technologies) in the following increasing concentrations: 0.10 mg/L, 0.20 mg/L, 0.50 mg/L, 1 mg/ L, 5 mg/ L, and 10 mg/ L. For analytical accuracy we used whole blood level 2 (SeronormTM, Sero, Billingstad, Norway) and 1577c - bovine liver (LGS Standards, Teddington, UK) as standard reference materials (SRM), and the obtained recovery ranged from 88.4 % to 106.2 %. Absorbance was measured for Zn at 213.9 nm, for Cu at 324.8 nm, and for Fe at 248.3 nm.
After euthanasia, rat liver, spleen, brain, and kidney tissue samples were kept in a freezer at -20 °C and F- determined as described elsewhere in detail (61). Briefly, each diffusion cell (Uniplast, Čačak, Serbia) was added 0.5 mL of 1 mol/ L NaOH in ethanol and placed in the laboratory oven (SAUTER SA, Basel, Switzerland) at 55 °C for 2 h for ethanol to evaporate and let a thin layer of NaOH form on the cap due. The diffusion cells were then ready to receive tissue samples (200–300 mg), 1.5 mL of 40 % AgClO4, and 1.5 mL of 70 % HClO4 to start microdiffusion at 55 °C for 24 h. Microdiffusion allows F- (released thanks to 70 % HClO4) to react with NaOH and form a thin layer of NaF on the cap. This layer was washed with 5 mL of deionised water, moved into a polyethylene dish, and mixed with 5 mL of TISAB buffer solution [57 mL glacial acetic acid, 58 g sodium chloride, 300 mg sodium citrate, and water up to 500 mL, pH 5–5.5 (pH meter Iskra MA 5735)]. Fluoride concentration (mg/kg) was determined by measuring the potential (mV) of the prepared solution using a fluoride ion-selective electrode (type 800, Consort Belgium, Brussels, Belgium) and calculating its negative logarithm, as it equals F- concentration The electrode was checked against NaF standards in the concentrations of 0.01 mg/ L and 0.1 mg/ L (Merck Millipore, Burlington, MA, USA). Another solution with 0.05 mg/ L of NaF standard (Merck Millipore) was used for control. To ensure method accuracy the electrode was checked against control after the measurement of every 15th sample.
Statistics were run on the GraphPad Prism 8 software (GraphPad Software, Inc., San Diego, CA, USA). The normality of distribution for variances was determined with the Shapiro-Wilk test. One-way ANOVA was used for normal distribution, followed by Fisher’s least significant difference (LSD). Data not distributed normally were run with the Kruskal–Wallis test, followed by Dunn’s post-hoc test. The level of significance was set to p<0.05.
Table 1 shows changes in body weight gain by treatment groups over the 28 days of the experiment. Significantly lower BWG was observed in the F group compared to control only on day 7 of measurement. By day 28, the two groups did not differ significantly, which is in line with some earlier reports (62, 63, 64). However, BWG seems to depend on the NaF dose, as some authors (65) reported higher BWG than ours at a lower NaF concentration of 50 mg/L NaF over 11 weeks, and others (66) reported lower BWG at NaF concentration of 500 mg/L over 60 days. Interestingly, BWG in the F+Se group was lower than control and/or the Se group throughout the experiment.
Mean body weight gain in Wistar rats exposed to fluoride and/or selenium through drinking water for 28 days
| Group | Parameter | Day 7 | Day 14 | Day 21 | Day 28 |
|---|---|---|---|---|---|
| Control | BWG | 0.27±0.03 | 0.68±0.05 | 1.00±0.08 | 0.95±0.11 |
| F group | BWG | 0.17±0.04*** | 0.59±0.04 | 0.92±0.08 | 0.90±0.08 |
| % to control | -37.11 % | -12.27 % | -8.61 % | -5.16 % | |
| Se group | BWG | 0.27±0.04 | 0.47±0.07*** | 0.83±0.08* | 1.1±0.12 |
| % to control | 0.35 % | -30.84 % | -17.39 % | 14.92 % | |
| F+Se group | BWG | 0.19±0.03** ## | 0.57±0.11* # | 0.82±0.14** | 0.88±0.16### |
| % to control | -26.35 % | -15.75 % | -18.18 % | -18.43 % |
Mean (±SD) body weight gain by groups of Wistar rats exposed to fluoride and/or selenium for 28 days. * # p<0.05; ** ## p<0.01; *** ### p<0.001 – significant differences from control group are indicated by *, from the Se group by # (one-way ANOVA followed by LSD test). F group – exposed to sodium fluoride alone (150 mg/L); Se group – exposed to sodium selenite alone (1.5 mg/L); F+Se group – exposed to the combination of F and Se at the same concentrations
Figure 1 shows average water consumption by groups over the 28 days of our experiment. It was significantly lower in all three exposed groups compared to control. Low water consumption is the most prominent in the Se group and may have affected some of the oxidative stress parameters. Our findings confirm some earlier reports, in which Se supplementation (2 mg/L) also resulted in lower water consumption in rats (67, 68).

Median (and range) of water consumption (mL/day) by groups of Wistar rats exposed to fluoride and/or selenium for 28 days. * p<0.05; *** p<0.001 – significant differences compared to control (Kruskal-Wallis followed by Dunn’s test). F group – exposed to sodium fluoride alone (150 mg/L); Se group – exposed to sodium selenite alone (1.5 mg/L); F+Se group – exposed to the combination of F and Se at the same concentrations
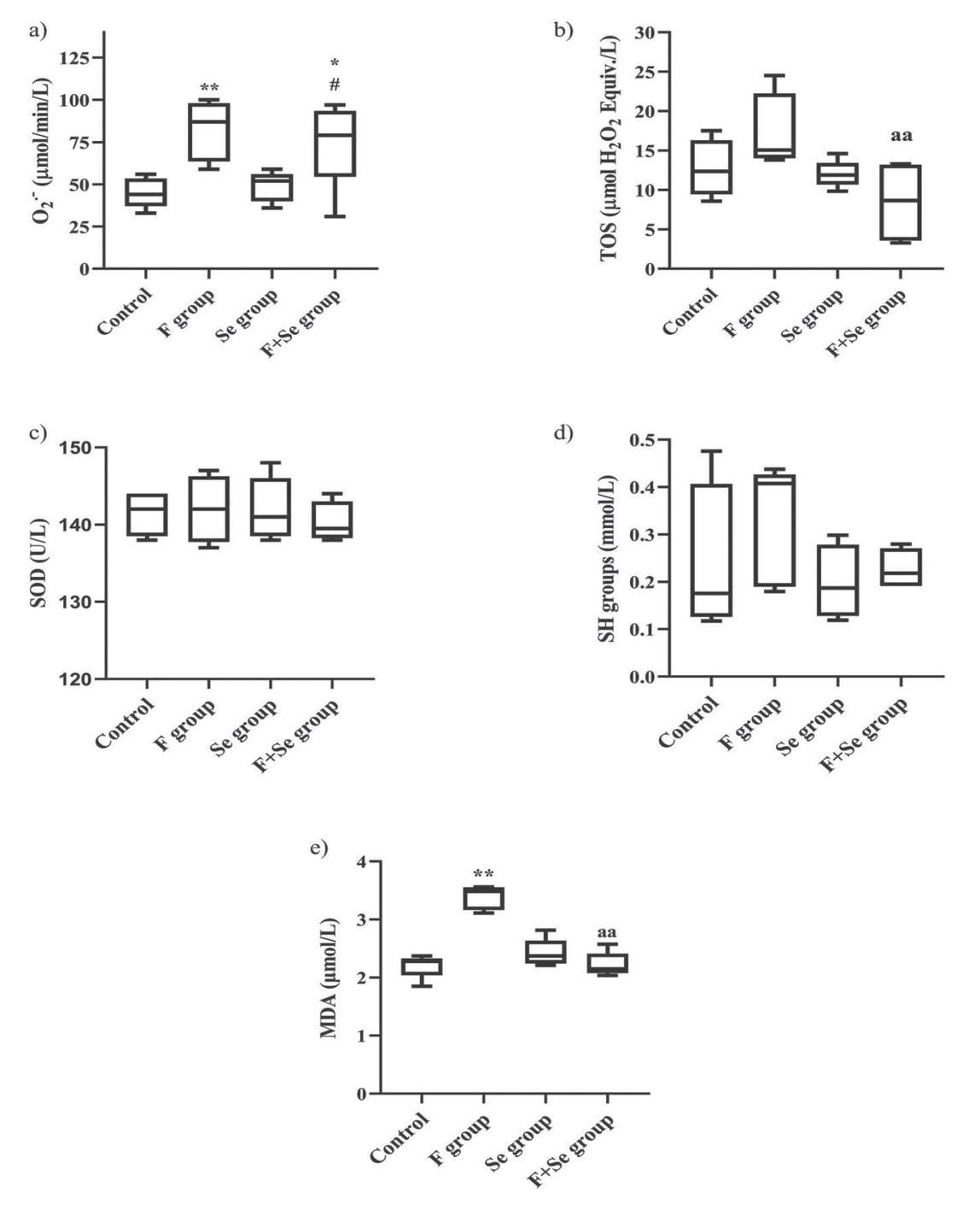
Overall, NaF treatment did not significantly affect SOD1 activity, SH, and TOS (Figure 2b–d), but it did significantly increase blood O2.- and MDA levels compared to control (p<0.01) (Figure 2a and 2e). In combination with NaF, Se supplementation did not reduce elevated O2.- induced by F- (p<0.05 compared to control and Se group) but managed to lower TOS and MDA significantly (p<0.01 compared to the F group) (Figure 2b and 2e), resulting in values similar to control.

Blood redox parameters in Wistar rats exposed to fluoride 150 mg/L and/or selenium 1.5 mg/L through drinking water for 28 days. a) O2.- – superoxide anion (μmol/min/L); b) TOS – total oxidative status (μmol/L); c) SOD1 – superoxide dismutase activity (U/L); d) SH – total thiol groups (mmol/L); e) MDA – malondialdehyde (μmol/L). * # p<0.05; ** aa p<0.01 – significant differences from control group are indicated by *, from the Se group by #, from the F group by a (one-way ANOVA followed by Fisher’s LSD and Kruskal-Wallis test followed by Dunn’s post-hoc test). The line inside of the box presents the median, the box presents interquartile range (25–75 %). End limiters present minima and maxima
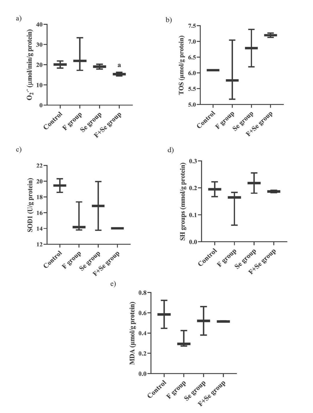
NaF exposure did not affect TOS and MDA levels (Figure 3b and 3e), but did lower SOD1 activity significantly compared to control (p<0.01). In combination with NaF, Se supplementation did not restore it to normal (Figure 3c). Se alone significantly lowered O2.- and SH levels compared to control (p<0.05; Figure 3a and 3d).

Liver redox parameters in Wistar rats exposed to fluoride 150 mg/L and/or selenium 1.5 mg/L through drinking water for 28 days. a) O2.- – superoxide anion (μmol/min/g protein); b) TOS – total oxidative status (μmol/g protein); c) SOD1 – superoxide dismutase activity (U/g protein); d) SH – total thiol groups (mmol/g protein); e) MDA – malondialdehyde (μmol/g protein). * p<0.05; ** ## p<0.01 – significant differences from control group are indicated by *, from the Se group by # (one-way ANOVA followed by Fisher’s LSD and Kruskal-Wallis test followed by Dunn’s post-hoc test). The line inside of the box presents the median, the box presents interquartile range (25–75 %). End limiters present minima and maxima
NaF exposure induced no significant changes in any of the redox parameters, which remained similar to control (Figure 4). The only significant change was a drop in O2.- levels (p<0.05) caused by Se+NaF treatment alone compared to the F group (Figure 4a).

Spleen redox parameters in Wistar rats exposed to fluoride 150 mg/L and/or selenium 1.5 mg/L through drinking water for 28 days. a) O2.- – superoxide anion (μmol/min/g protein); b) TOS – total oxidative status (μmol/g protein); c) SOD1 – superoxide dismutase activity (U/g protein), d) SH – total thiol groups (mmol/g protein); e) MDA – malondialdehyde (μmol/g protein). a p<0.05 – significant differences from the F group are indicated by a (One-way ANOVA followed by Fisher’s LSD and Kruskal-Wallis test followed by Dunn’s post-hoc test). The line inside of the box presents the median, the box presents interquartile range (25–75 %). End limiters present minima and maxima
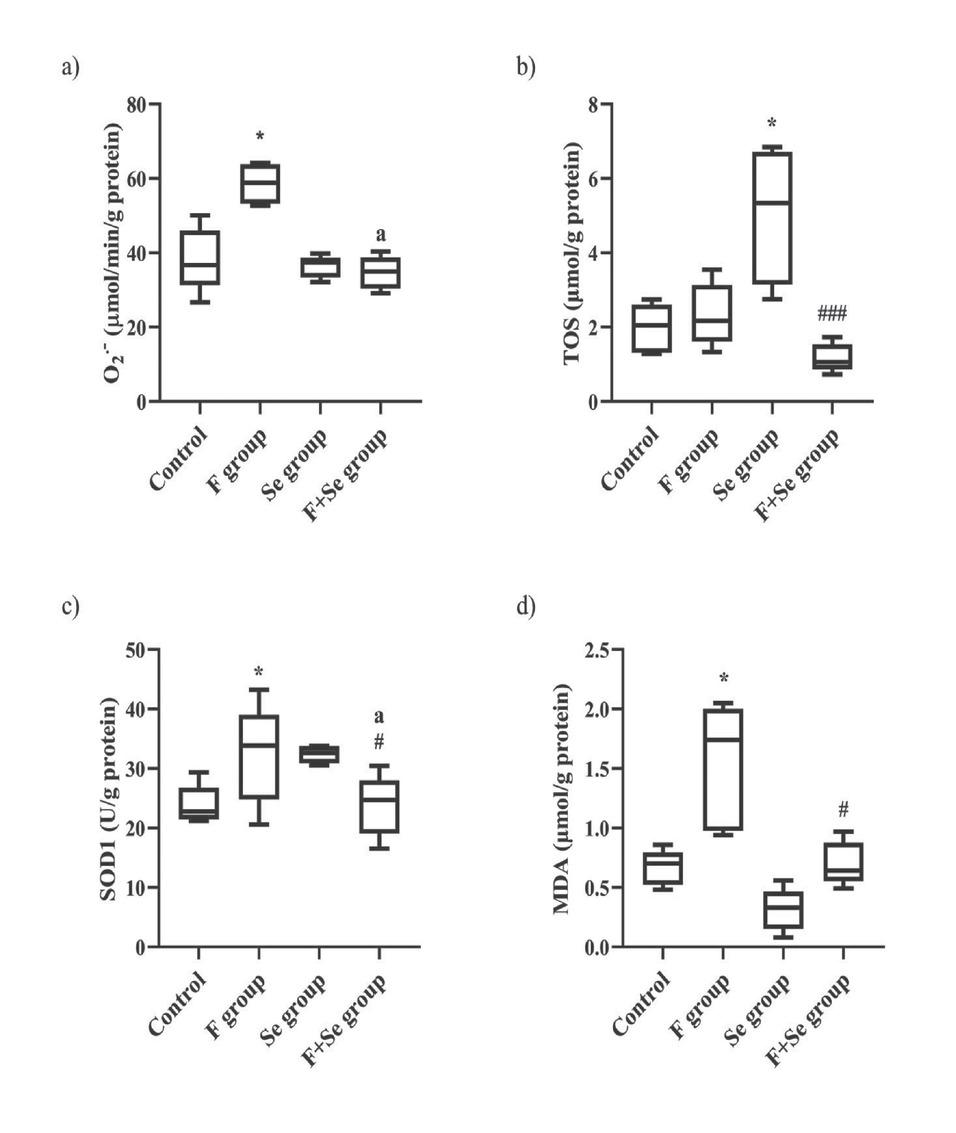
NaF exposure significantly increased O2.-, SOD1, and MDA compared to control (p<0.05), but TOS did not change significantly (Figure 5). In combination with NaF, Se supplementation significantly countered NaF effect on O2.– and SOD1(p<0.05), and restored MDA to normal (Figure 5a, 5c, and 5d). Unlike in other tissues, Se alone significantly increased TOS compared to control (p<0.05) (Figure 5b). Unfortunately, our SH measurements in the brain failed, as they kept below the limit of detection in all groups.

Brain redox parameters in Wistar rats exposed to fluoride 150 mg/L and/or selenium 1.5 mg/L through drinking water for 28 days. a) O2.- – superoxide anion (μmol/min/g protein); b) TOS – total oxidative status (μmol/g protein); c) SOD1 – superoxide dismutase activity (U/g protein); d) MDA – malondialdehyde (μmol/g protein). * # a p<0.05; ### p<0.001 – significant differences from control group are indicated by *, from the Se group by #, from the F group by a (one-way ANOVA followed by Fisher’s LSD and Kruskal-Wallis test followed by Dunn’s post-hoc test). The line inside of the box presents the median, the box presents interquartile range (25–75 %). End limiters present minima and maxima
NaF exposure did not significantly affect O2.-, TOS, and MDA levels (Figure 6a, 6b, and 6e) but did increase SOD1 activity significantly compared to control (p<0.01). In combination with NaF, Se administration significantly reduced NaF effect on SOD1 but was not able to restore it to control activity (Figure 6c). All treatments significantly decreased SH compared to control (Figure 6d).

Kidney redox parameters in Wistar rats exposed to fluoride 150 mg/L and/or selenium 1.5 mg/L through drinking water for 28 days. a) O2.-– superoxide anion (μmol/min/g protein); b) TOS – total oxidative status (μmol/g protein); c) SOD1 – superoxide dismutase activity (U/ g protein); d) SH – total thiol groups (mmol/g protein); e) MDA – malondialdehyde (μmol/g protein). * # p<0.05; ** p<0.01; *** p<0.001; **** p<0.0001 – significant differences from control group are indicated by *, from the Se group by # (one-way ANOVA followed by Fisher’s LSD and Kruskal-Wallis test followed by Dunn’s post-hoc test). The line inside of the box presents the median, the box presents interquartile range (25–75 %). End limiters present minima and maxima
Significantly increased blood and brain MDA in the F group in our study corroborate earlier reports for experimental animals and children with chronic fluorosis (69, 70, 71). However, unlike some reports of fluoride poisoning resulting in high MDA levels and oxidative stress that disturbed kidney and liver function in different animal species (72, 73, 74), MDA levels in our study remained similar to control in these organs.
As for SOD1 activity, NaF exposure lowered it significantly in the liver, which confirms the results of another report with the same NaF dose over 120 days (75). This drop in liver SOD1 can be related to the drop in liver Cu levels (see below), as Cu is a precursor for SOD activation (76). In the brain and kidney, however, SOD1 activity was significantly higher than in control, which points to a possible compensatory mechanism to suppress excessive O2.- production caused by NaF. Blood SOD1 of all groups, in turn, did not differ significantly from control. Similar was reported for mice chronically exposed to NaF (69), but the exposure doses were much lower (10 and 50 mg/ L).
NaF intake also resulted in significantly higher blood and brain O2.- levels in the F group but remained similar to control in the liver, kidney, and spleen. That NaF increases O2.- in the central nervous system has been reported in a study with murine microglial cells (77).
NaF exposure significantly lowered SH only in the kidney, and this is a novel finding, considering that there are few reports of the SH group levels after NaF exposure.
Interestingly, TOS in all tissue samples of NaF-exposed rats in our study did not significantly differ from control (Figures 2–6), unlike in some other reports (78, 79). Our findings suggest that TOS is not the most precise biomarker for F- toxicity. Perhaps a better option would be to measure the oxidative stress index instead, which is the ratio between TOS and total antioxidant capacity (TAC). Besides, TOS values differ even between various cancer stages, so we believe that a higher NaF dose is necessary for TOS to increase (80).
Se alone did not affect redox parameters in the plasma and spleen but did lower SH levels in the kidney and liver.
In combination with NaF, it did not reduce elevated O2.- in the blood but did lower MDA and TOS compared to the F group (Figure 2). Similar was reported by Chouhan et al. (81), who demonstrated that co-treatment with Se (at 6.3 μmol/L) significantly lowered blood and tissue ROS and MDA levels increased by exposure to NaF (50 mg/ L) over three weeks. Our finding of protective effects of co-administered Se against NaF-induced rise in brain MDA also confirms earlier findings in similar animal studies (82, 83). However, unlike some earlier studies (51, 84), we found no beneficial effects of Se in combination with NaF in regard to SOD1 levels in rat liver (Figure 3), but it did counter NaF-induced rise in the brain and kidney. As for SH, Se alone lowered its levels in the liver and kidney, and displayed pro-oxidative features. Previous studies in rats reported similar findings with intraperitoneal sodium selenite (85, 86).
Table 2 shows Cu, Zn, and Fe concentrations after subacute exposure to NaF alone and in combination with Se. NaF alone significantly increased Cu and Zn in the blood but lowered Cu in the liver and Zn in the kidney. It also lowered Fe in the brain and kidney. No significant changes were observed in the spleen.
Copper, zinc, and iron levels in blood, liver, spleen, brain, and kidneys of Wistar rats exposed to fluoride and/or selenium through drinking water for 28 days
| Sample | Bioelements | Groups | |||
|---|---|---|---|---|---|
| Control | F | F+Se | Se | ||
| Blood | Cu (μmol/L) | 22.05±4.97 | 32.51±8.01* | 29.21±3.05### | 51.03±7.881*** |
| Zn (μmol/L) | 60.63 47.55–71.44 | 90.67* 56.84–122.4 | 84.02# 51.64–106.0 | 216.4*** 181.4–226.9 | |
| Fe (mmol/L) | 4.89±2.01 | 5.40±4.47 | 4.79±2.11### | 13.47±0.35*** | |
| Liver | Cu (μg/g) | 3.78±0.43 | 3.07±0.18*** | 3.22±0.18**## | 2.68±0.21*** |
| Zn (μg/g) | 29.86 28.79–31.93 | 31.75 30.97–54.93 | 32.25# 29.63–37.10 | 50.28** 45.43–69.18 | |
| Fe (μg/g) | 122.9±19.59 | 121.8±7.69 | 105.1±11.73*### | 71.52±10.29*** | |
| Spleen | Cu (μg/g) | 1.65±0.41 | 1.14±0.51 | 0.54±1.27 | 0.99±0.00 |
| Zn (μg/g) | 34.55±0.35 | 36.42±1.32 | 42.95±3.185 | 46.47±7.39* | |
| Fe (μg/g) | 239.5±90.27 | 250.6±49.15 | 287.6±26.45 | 224.6±96.80 | |
| Brain | Cu (μg/g) | 2.79±1.39 | 2.21±0.76 | 2.88±0.31 | 3.181±0.68 |
| Zn (μg/g) | 20.08 13.12–38.46 | 12.18 8.30–17.03 | 7.28* 4.62–10.10 | 1.99** 0.53–17.20 | |
| Fe (μg/g) | 48.10±15.35 | 29.90±7.78* | 35.34±9.85 | 44.00±11.27 | |
| Kidneys | Cu (μg/g) | 7.57 5.35–8.69 | 5.06 4.16–7.01 | 4.48# 3.96–5.54 | 7.46 5.37–10.70 |
| Zn (μg/g) | 113.4 74.50–143.9 | 43.87* 23.21–66.48 | 29.59** 22.90–39.13 | 31.32** 23.86–50.85 | |
| Fe (μg/g) | 81.78 71.67–101.6 | 36.48** 31.99–39.67 | 44.40 40.02–51.71 | 37.58** 28.45–47.89 | |
Mean (±SD) or median (± range) of bioelements levels by groups of Wistar rats exposed to fluoride and/or selenium for 28 days. * # p<0.05; ** ## p<0.01; *** ### p<0.001 – significant differences from control group are indicated by *, from the Se group by # (one-way ANOVA followed by Fisher’s LSD and Kruskal-Wallis test followed by Dunn’s post-hoc test). F group – exposed to sodium fluoride alone (150 mg/L); Se group – exposed to sodium selenite alone (1.5 mg/L); F+Se group – exposed to the combination of F and Se at the same concentrations
Fluoride effects on trace metals are still controversial and have not been explored enough. One recent study (70) reported reduced serum Cu and Zn and elevated Fe in children with chronic endemic fluorosis, which, according to authors might be related to oxidative stress. Another epidemiological study in children with endemic fluorosis (87), in turn, reported lower serum Zn but higher Cu. We, in contrast, found increased blood Cu and Zn levels. Other animal study data are also conflicting. In rats exposed to 25 mg/ L of NaF, kidney Zn levels were elevated and Cu did not change significantly (88). We too found stable kidney levels of Cu but also a drop in Zn levels. In the liver, Cu dropped, while Zn remained similar to control. Similar observations for Cu were reported by Kanwar et al. (89) after exposure to different NaF concentrations.
As for the Fe content, our findings seem to confirm the hypothesis that Zn has a role in Fe metabolism and absorption (90), as both Zn and Fe were lower in the brain and kidney tissues.
Se in combination with NaF restored some metal levels to near control but also significantly decreased liver Cu and Fe and brain and kidney Zn compared to control. Alone, it had varying effects on metal levels across the tissues (Table 2). These findings are in line with the bimodal action of Se, both beneficial and adverse, reported by other studies (91, 92, 93), which earned it the nickname of “double-edged sword”.
Table 3 compares F- concentrations across the liver, kidney, spleen, and brain tissues. Liver had the lowest concentrations across all groups, whereas kidneys had the highest in the groups that did not receive Se (control and F) and spleen in the groups that did (Se and F+Se). High kidney levels are expected, as F- is mainly deposited in the bone, and excreted by the kidney (94). On the other hand, the Se+F group had lower liver, brain, and kidney F- levels than control (Figure 7), which may point to an antagonism between Se and F, except in the spleen, in which the F+Se combination resulted in the highest F- levels.

Mean (±SD) liver, spleen, brain, and kidney fluoride levels (mg/kg) in Wistar rats exposed to fluoride (150 mg/L) and/or selenium (1.5 mg/L) through drinking water for 28 days. a p<0.05; ** p<0.01; **** p<0.0001 – significant differences from control are indicated by *, from the F group by a (one-way ANOVA followed by Fisher’s LSD)
Fluoride (mg/kg) distribution across tissues in Wistar rats exposed to fluoride and/or selenium through drinking water for 28 days
| Group | Liver | Spleen | Brain | Kidneys |
|---|---|---|---|---|
| Control | 0.23±0.04bd | 0.98±0.02ad | 0.51±0.11c | 1.43±1.07abc |
| F | 0.27±0.06d | 0.35±0.04d | 0.38±0.03d | 0.77±0.15abc |
| Se | 0.06±0.02bcd | 0.99±0.02cd | 0.45±0.1abd | 0.85±0.32ac |
| F+Se | 0.13±0.05bcd | 2.53±0.03acd | 0.29±0.06abd | 0.48±0.11abc |
Mean (± SD) of fluoride levels by groups of Wistar rats exposed to fluoride and/or selenium for 28 days. a b c d p<0.05 – significant differences from liver are indicated by a, from spleen by b, from brain by c, from kidneys by d (one-way ANOVA followed by Fisher’s LSD). F group – exposed to sodium fluoride alone (150 mg/L); Se group – exposed to sodium selenite alone (1.5 mg/L); F+Se group – exposed to the combination of F and Se at the same concentrations
Our study has confirmed that exposure to F- can bring imbalance to the tissue redox and biometal status. Se supplementation failed to counter all adverse pro-oxidative effects of NaF or to restore trace metal balance and showed its dual nature.
One of the limitations of our study is the use of a single dose of NaF and Se for the sake of the 3R principles. To get a more precise evaluation of F- toxicity mechanisms and Se effects, we need a study with three doses of each. Therefore, before we can recommend Se as a promising strategy for mitigating F- toxicity, further research is needed to better show additive and/or antagonistic interaction between F- and Se.