Although inhalation fluoride-containing anaesthetics (volatile anaesthetics, VAs) such as halothane, sevoflurane, and isoflurane are considered safe, there is evidence about their toxic and non-toxic effects depending on the organ system observed (1, 2, 3, 4, 5). They usually become toxic as they metabolise in the liver, which makes the kidneys particularly vulnerable as they excrete these metabolites from the body.
Nephrotoxic effects are associated with inorganic fluoride ions from VA defluorination and with metabolite A (from reaction with the carbon dioxide absorbent) (1, 2, 3), seen as the damage to the renal tubule and characterised by vasopressin-resistant polyuria (1, 2). Some animal and human studies, on the other hand, argue that concentrations used in therapy nowadays are not associated with nephrotoxicity, as neither peak values nor systemic exposure duration to fluoride warrant such effects (3, 4). Although subclinical nephrotoxicity cannot always be demonstrated through routine blood biochemistry (blood urea nitrogen, serum creatinine, creatinine clearance, urine concentrating ability, or blood/urine inorganic fluoride levels) (5), it is visible through DNA damage as the consequence of renal damage thanks to sensitive methods such as the alkaline comet assay. This method is used worldwide (6) as a method of choice for DNA damage estimation in human biomonitoring studies after exposure to agents such as anaesthetics or ionising radiation (7, 8, 9, 10, 11, 12, 13) or in in vivo studies following the protocol guidelines on genotoxicity issued by the Organisation for Economic Co-operation and Development (OECD) (14).
Ionising radiation is a well-known cytotoxic and genotoxic agent (15), and even though radiotherapy is focused on the target tissue, healthy nearby tissue can also be damaged, and the usual doses of 1 Gy or 2 Gy, particularly common in fractionated radiotherapy, are high enough to increase DNA damage (15, 16). With no final consensus about VA safety, however, combined exposure to these two agents can produce a synergistic DNA damaging effect. Yearly increase in combined use of VA and ionising radiation (IR), especially during radiotherapy procedures, and the fact that there are no studies about their combined effects on the level of DNA damage motivated us to explore if such synergistic effect should exist. This study was designed to test this hypothesis and see how combined exposure to VA and ionising radiation affect DNA repair in the kidney of Swiss albino mice.
The study was designed in accordance with the Animal Protection Act (17), Ordinance on the Protection of Animals Used for Scientific Purposes (18), EU Directive (19), and OECD guidelines (14) and approved by the Ethics Committee of the University of Zagreb Faculty of Science, Zagreb, Croatia (approval No. 251-58-508-11-9).
The 60±5 days old Swiss albino mice with body weight of 22.4±0.3 g were taken from the breeding unit of the Department of Biology, University of Zagreb Faculty of Science. Due to sex differences in DNA damage induced by ionising radiation (female mice suffer higher DNA damage due to hormonal influence and can lose the X chromosome much more easily) (20, 21), we chose only male mice.
The housing conditions of the animals were 22±1 °C, 50–70 % humidity, 12/12 h light/dark cycle, and free access to water and standard laboratory diet (4RF 21, Mucedola, Settimo Milanese, Italy).
The animals were divided into 48 subgroups with five animals each as illustrated in Table 1. Time points were based on our previous experiments (7, 9).
Distribution of 240 male Swiss albino mice by study groups
| Control | Halothane (2.4 % v/v) | Sevoflurane (2.4 % v/v) | Isoflurane (1.7 % v/v) | |
|---|---|---|---|---|
| Non-irradiated | ||||
| Time points | 0 h | 0 h | 0 h | 0 h |
| 2 h | 2 h | 2 h | 2 h | |
| 6 h | 6 h | 6 h | 6 h | |
| 24 h | 24 h | 24 h | 24 h | |
| Irradiated with 1 Gy | ||||
| Time points | 2 h | 2 h | 2 h | 2 h |
| 0 h | 0 h | 0 h | 0 h | |
| 6 h | 6 h | 6 h | 6 h | |
| 24 h | 24 h | 24 h | 24 h | |
| Irradiated with 2 Gy | ||||
| Time points | 0 h | 0 h | 0 h | 0 h |
| 2 h | 2 h | 2 h | 2 h | |
| 6 h | 6 h | 6 h | 6 h | |
| 24 h | 24 h | 24 h | 24 h | |
If not specified otherwise, chemicals, reagents, and other materials were purchased from Sigma-Aldrich Chemical Co. (St. Louis, MO, USA). The inhalation anaesthetic sevoflurane (Sevorane®), isoflurane (Forane®), and halothane (Halothane®) were provided by Abbott Laboratories Ltd. (Queenborough, UK).
Anaesthetic dosing was similar as in earlier studies (9, 22, 23), as it was shown to ensure deep and constant anaesthesia over two hours. Concentrations of each anaesthetic used in animals corresponded to the concentrations used in humans to maintain deep anaesthesia during a single radiotherapy treatment. The doses in this study followed the Guedel’s guide to laboratory animal anaesthesia (24), in which the anaesthetic concentrations corresponding to human dosages are adjusted to animal species, age, weight, and type (inhalation or injection) and duration of anaesthesia (7, 22, 23, 24, 25, 26, 27).
Each anaesthetic – sevoflurane (2.4 % v/v), isoflurane (1.7 % v/v), or halothane (2.4 % v/v) – was added to a 50:50 mixture of oxygen and air (3 L/min) using a specially designed induction chamber connected to an anaesthetic machine (Sulla 800, Sulla, Dräger, Velbert, Germany). This machine for semi-closed rebreathing system was equipped with a Ventilog for automatic ventilation, a Barlolog A ventilation pressure meter, an Oxydig for O2 measurement, and a compatible evaporator. Mice anaesthesia with either of the three anaesthetics was maintained at a continuous gas flow for 2 h. A satisfactory anaesthesia depth was considered to have been achieved when the mice were sleeping calmly, breathing spontaneously, and not wiggling their tail.
Immediately (about 10 min) after the two-hour anaesthesia, the mice assigned for irradiation (and those that were not anaesthetised) were irradiated with 1 Gy or 2 Gy (60Co source, Theratron Phoenix teletherapy unit, Atomic Energy Ltd., Ontario, Canada), at Sveti Duh Clinical Hospital (Zagreb, Croatia) at a dose rate of 1.88 Gy/ min. These radiation doses are common in diverse radiotherapy procedures (brachytherapy, intraoperative, fractionated, and hypofractionated radiotherapy) (16).
Immediately or 2, 4, 6, or 24 hours after anaesthetic and/or radiation exposure was completed, the animals were sacrificed by cervical dislocation according to laboratory animal legislation (18). Resected mouse kidney cortex samples of each animal were taken from a similar position and placed into a chilled homogenisation buffer (0.075 mol/L NaCl and 0.024mol/L Na2EDTA) at a ratio of 1 g of tissue to 1 mL of buffer. Samples were immediately homogenised at 4 °C by mincing and passing through a stainless-steel mash to obtain a single-cell suspension at 4 °C and immediately take 10 μL to mix with the agarose gel for the alkaline comet assay.
The comet assay was carried out according to a standard procedure described in our previous papers (24, 25). Reporting of the results was in line with the Minimum Information for Reporting on the Comet Assay (MIRCA) and new technical recommendations (28).
Microscopic slides (Vitrognost, Biognost, Zagreb, Croatia) for the comet assay were precoated on the same day with 1 % normal melting point (NMP) agarose and then with a layer of 0.6 % low melting point (LMP) agarose. After solidification, slides were kept at 4 °C in humidified conditions to avoid gel drying. When the kidney cortex single cell suspensions were prepared, a mixture of cell suspension with 100 μL of 0.5 % LMP agarose was immediately layered on the top, and after solidification, a new layer of only 0.5 % LMP agarose was added. When this upper layer turned solid (after 10 min at 4 °C), slides were vertically immersed in Copling jars (Sigma-Aldrich) filled with freshly prepared ice-cold lysis solution (2.5 mol/L NaCl, 100 mmol/L Na2EDTA, 10 mmol/L Tris-HCl, 1 % sodium sarcosinate, pH 10) with 1 % Triton X-100, and 10 % dimethyl sulphoxide (Kemika, Zagreb, Croatia) and kept there protected from light at 4 °C for 2 h. Slides were then washed with distilled water (Yasenka, Vukovar, Croatia) and immersed into a freshly cold denaturation solution (300 mmol/L NaOH and 1 mmol/L Na2EDTA, pH 13) and kept protected from light at 4 °C for 20 min. Under a dim light slides were randomly placed in a new cold electrophoretic solution (the same as the denaturation one) in a horizontal gel-electrophoresis unit facing the anode, and electrophoresis was carried out at 25 V (300 mA, 0.8 V/cm). After 20 min, followed neutralisation of the slides with 0.4 mol/L Tris-HCl buffer (pH 7.5) in the dark, repeated three times at five-minute intervals. All slides were immediately dehydrated by immersion into absolute ethanol (99.6 %, Kemika) for at least 5 min, allowed to air-dry, and then stored at room temperature protected from humidity. Before analysis, slides were rehydrated with distilled water for 10 min, stained with ethidium bromide (20 μg/mL) for another 10 min, and examined under an epifluorescence microscope at 200× magnification (BX40, Olympus, Tokyo, Japan) connected with a camera with a charge-coupled device sending images to a computer-based image analysis system (Comet Assay IV software, Instem, London, UK). For each sample (animal) we analysed the images of 40 randomly selected cells, 200 comets in total for each time point as described earlier (29, 30).
DNA damage was determined as tail length (TL, distance between migrated DNA breaks and the nucleus expressed in μm) and tail intensity (TI, % of DNA in comet tail) using the same software.
Cellular DNA repair efficiency can be quantified by determining cellular DNA repair index (CRI), which is defined as decrease in initial value of the parameter due to repair, expressed in percentage. We calculated the CRI for TL and TI according to the formula by Nair and Nair (31) as follows:
Data were analysed with Statistica 14.0.0.15 (TIBCO Software Inc., Palo Alto, CA, USA). Descriptive statistics (mean, median, and standard deviation) was calculated for TL and TI. The data were statistically compared using the Mann Whitney U-test, with statistical significance set at p<0.05.
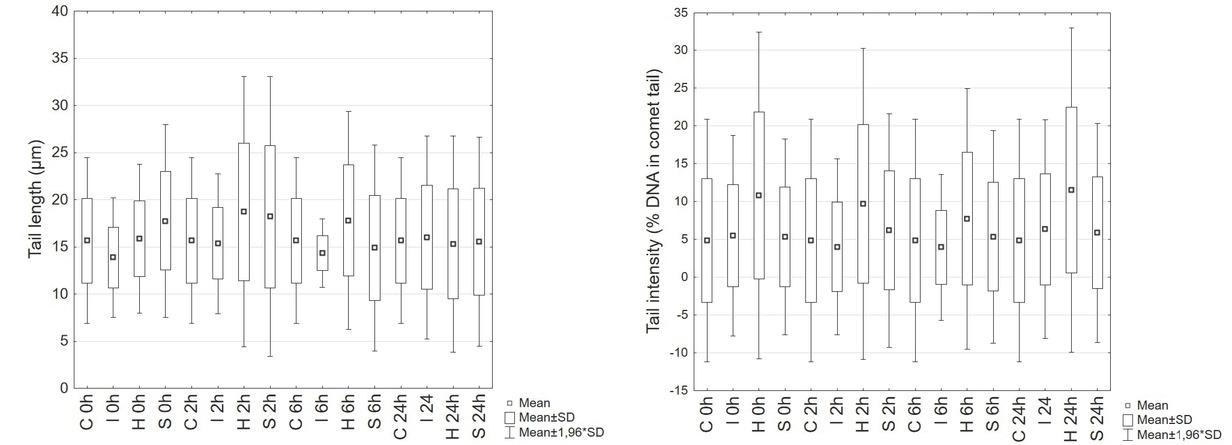
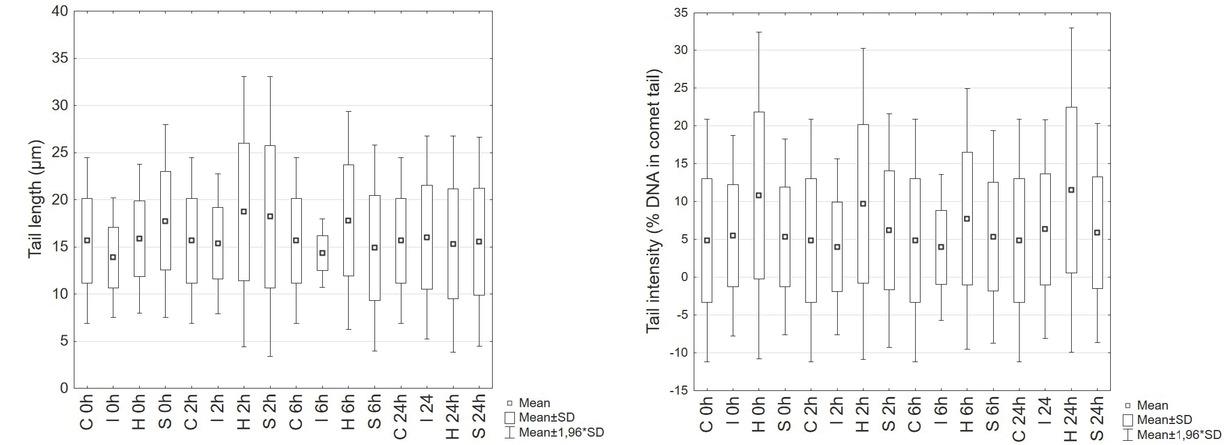
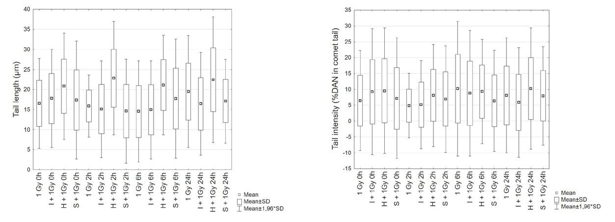
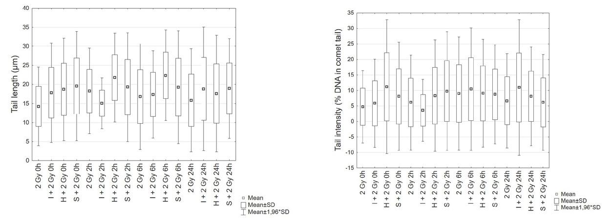
Figure 1 shows TL and TI findings in non-irradiated mice, Figure 2 in mice exposed to 1 Gy alone or in combination with VA, and Figure 3 in mice exposed to 2 Gy alone or in combination with VA. CRI of TL and TI are presented in Table 2. Significant differences compared to control values are given in Table 3.

Tail length and tail intensity in kidney cells of control (C) Swiss albino mice and mice subjected to two-hour anaesthesia with halothane (H), sevoflurane (S), or isoflurane (I) at 0, 2, 6, and 24 h after anaesthesia (based on the total score of 200 comets per group (40 comets per animal)

Tail length and tail intensity in kidney cells of Swiss albino mice exposed to halothane (H), sevoflurane (S), or isoflurane (I) and/or gamma-irradiation (60Co) of 1 Gy 0, 2, 6, and 24 h after irradiation [(based on the total score of 200 comets per group (40 comets per animal)]

Tail length and tail intensity in kidney cells of Swiss albino mice exposed to halothane (H), sevoflurane (S), or isoflurane (I) and/or gamma-irradiation (60Co) of 2 Gy 0, 2, 6, and 24 h after irradiation [(based on the total score of 200 comets per group (40 comets per animal)]
Cellular DNA repair index (percentage of repair) of tail length and tail intensity in non-irradiated mice and mice exposed to halothane (H), sevoflurane (S), or isoflurane (I) and/or 1 Gy or 2 Gy 2, 6, and 24 h from irradiation
| Tail length | Tail intensity | |||||
|---|---|---|---|---|---|---|
| 2 h | 6 h | 24 h | 2 h | 6 h | 24 h | |
| Non-irradiated | ||||||
| Halothane | -17.86 | -12.11 | 3.56 | 10.32 | 28.42 | -6.44 |
| Sevoflurane | -2.56 | 16.14 | 12.39 | -15.71 | -0.65 | -10.11 |
| Isoflurane | -10.71 | -3.42 | -15.28 | 26.77 | 28.12 | -15.62 |
| Irradiated with 1 Gy | ||||||
| 1 Gy | 3.76 | 12.01 | -18.10 | 24.20 | -58.95 | -25.08 |
| Halothane + 1Gy | -9.78 | -1.46 | -7.86 | 15.28 | 2.54 | -7.38 |
| Sevoflurane + 1Gy | 16.06 | -2.07 | 1.76 | 3.35 | 11.02 | -10.80 |
| Iisoflurane + 1Gy | 14.92 | 15.91 | 7.34 | 43.96 | 4.92 | 36.08 |
| Irradiated with 2 Gy | ||||||
| 2 Gy | -28.19 | -17.81 | -11.22 | -29.75 | -90.54 | -40.43 |
| Halothane + 2Gy | -16.54 | -19.53 | 5.97 | 25.87 | 18.70 | 27.56 |
| Sevoflurane + 2Gy | 1.44 | 1.59 | 3.09 | -20.68 | -7.65 | 24.16 |
| Isoflurane + 2Gy | 15.54 | 2.52 | -5.55 | 39.13 | -77.69 | -87.18 |
Statistical differences (Mann–Whitney U test; p<0.05), in tail length (TL, μm) and tail intensity (TI, % of DNA in comet tail) in kidney cells of Swiss albino mice treated with halothane, sevoflurane, or isoflurane alone or in combination with 1 or 2 Gy gamma-irradiation (60Co) compared to corresponding controls at the same time point
| Non-irradiated | |||||||
|---|---|---|---|---|---|---|---|
| Exposure | Halothane | Sevoflurane | Isoflurane | ||||
| Time points | TL | TI | TL | TI | TL | TI | |
| 0 h | NS | <0.001 | <0.001 | <0.001 | <0.001 | 0.004 | |
| 2 h | <0.001 | <0.001 | 0.025 | <0.001 | NS | NS | |
| 6 h | <0.001 | <0.001 | <0.001 | 0.01 | 0.021 | NS | |
| 24 h | <0.001 | <0.001 | NS | <0.001 | NS | <0.001 | |
| Irradiated 1 Gy | |||||||
| Exposure | Halothane + 1 Gy | Sevoflurane + 1 Gy | Isoflurane + 1 Gy | ||||
| Time points | TL | TI | TL | TI | TL | TI | |
| 0 h | <0.001 | <0.001 | NS | NS | NS | 0.014 | |
| 2 h | <0.001 | <0.001 | <0.001 | NS | <0.001 | NS | |
| 6 h | <0.001 | NS | <0.001 | 0.006 | NS | NS | |
| 24 h | <0.001 | 0.004 | 0.001 | NS | <0.001 | 0.003 | |
| Irradiated 2 Gy | |||||||
| Exposure | Halothane + 2 Gy | Sevoflurane + 2 Gy | Isoflurane + 2 Gy | ||||
| Time points | TL | TI | TL | TI | TL | TI | |
| 0 h | <0.001 | <0.001 | <0.001 | <0.001 | <0.001 | NS | |
| 2 h | <0.001 | 0.002 | NS | <0.001 | <0.001 | 0.002 | |
| 6 h | <0.001 | NS | <0.001 | NS | 0.02 | NS | |
| 24 h | <0.001 | <0.001 | <0.001 | NS | <0.001 | <0.001 | |
NS – difference is not statistically significant
Tail intensities for all three anaesthetics at all time points were significantly higher than control, except for isoflurane at 2 and 6 h. Tail lengths for halothane were significantly higher than control at 2 and 6 h and lower at 24 h. With sevoflurane TL values were significantly higher than control at 0 and 2 h and significantly lower at 6 and 24 h. With isoflurane damage was lower than control at 0, 2, and 6 h. Halothane caused the highest DNA damage at all time points, significantly higher than sevoflurane and isoflurane, while the two did not differ significantly, except at 2 h (Figure 1, Table 3).
Both TL and TI in 1 Gy irradiated mice and mice exposed to combined treatments were significantly higher than in non-irradiated controls. The highest TL in 1 Gy irradiated mice was observed 24 h after irradiation. The lowest TL was observed 6 h from exposure. At this time point, TI values were the highest (Figure 2). Halothane combined with 1 Gy significantly increased both parameters compared to irradiated-only counterparts. Sevoflurane yielded TL values similar to irradiated-only groups at all time points, except for 24 h, in which significantly lower value was observed. TI values, in turn, were significantly lower after 6 h compared to samples from the irradiated-only mice. Isoflurane significantly lowered both TL and TI after 24 h compared to irradiated-only groups at the same time points (Table 3). Halothane again had significantly higher TI than sevoflurane and isoflurane at corresponding time points. The latter two VAs differed significantly in TI, except at 2 h.
The highest TL in mice irradiated with 2 Gy was observed 2 h after irradiation, while TI was the highest at 6 h after irradiation. Halothane again had the most damaging effect, that was significantly higher for both parameters than in their irradiated-only counterparts at corresponding time points. Sevoflurane also increased both parameters, which were significantly higher at the first three time points, while TI decreased at 24 h and was even lower than in the irradiated-only group. At 2 h, isoflurane had significantly lower TL and TI than irradiated-only counterparts, which significantly rose at 6 h and 24 h and were almost higher than those in the halothane groups at 0 h (Figure 3 and Table 3). Halothane TI values were significantly higher than sevoflurane at 0 h and 24 h and isoflurane at 0 h and 2 h. Sevoflurane and isoflurane differed significantly only at 2 h.
As we observed DNA repair in the 1 Gy and 2 Gy combined treatment with sevoflurane and isoflurane, we compared CRI for TL and TI as shown in Table 2.
In non-irradiated mice exposure to halothane and isoflurane increased the level of DNA repair by hour 24 from exposure, while it remained below control values for sevoflurane.
In mice irradiated with 1 Gy, all three VAs in general demonstrated higher repair rate than the corresponding control, with the highest level of repair triggered by isoflurane.
In mice irradiated with 2 Gy, CRI visibly dropped in all groups, but improved by hour 24. Only isoflurane had higher repair level than control 2 h from exposure, and then the repair rate dropped.
We demonstrated that combined exposure to VAs and ionising irradiation (with both 1 and 2 Gy radiotherapeutic doses) did not have a synergistic damaging effect on DNA in kidney cells of male Swiss albino mice. We also demonstrated that anaesthesia could have had some beneficiary effect, considering the level of DNA damage repair.
Functionally, with its very low cell division rates, the kidney should be less sensitive to irradiation than other organs, yet research has shown it to be the most radiosensitive organ of the abdominal system (32, 33, 34, 35, 36, 37). Some other studies (38, 39, 40) also demonstrated higher DNA damage in other tissues of male mice of similar weight irradiated with the same dose as in our experiment.
Our study confirmed the ability of volatile anaesthetics to induce DNA damage and singled out halothane as the most damaging. These findings are in line with earlier reports showing that halothane metabolites are more present in the body (15–20 %) than those of sevoflurane (2–5 %) and isoflurane (0.2–2 %) (41, 42, 43). This also explains similar sevoflurane and isoflurane effects, as do reports of no difference between sevoflurane and isoflurane effects in prolonged exposure of rat proximal tubular cells (25, 44, 49).
Damage induced by combined exposure to anaesthetics and 1 Gy irradiation (representing a small radiation dose) remained at levels caused by irradiation alone or even underwent repair. Halothane again was more damaging than the other two anaesthetics and isoflurane induced the highest DNA repair at all time points.
DNA damage in the combined treatment with 2 Gy irradiation did not generally differ much from its 1 Gy counterpart, but the repair rate was lower. Low irradiation dose seems to stimulate various protective functions such as autoimmune and anti-oxidative response to ROS, DNA repair, and apoptosis, and immune response triggered by DNA damage induced directly by radiation or through ROS production (40, 44, 45, 46, 47). Irradiation with higher 2 Gy, can, in addition, activate autophagic pathways arresting the cell cycle, inhibiting cell proliferation, and impairing DNA repair (48).
We have previously demonstrated that DNA damage peaks six hours after VA exposure and that most of the damage is repaired within 24 h after exposure (22, 23, 25). Our current findings also suggest that each VA has different mechanisms of action and that repair mechanisms were more efficient at 1 Gy than 2 Gy irradiation dose. Future studies should investigate those differences further.
This study has confirmed that volatile anaesthetics are capable of damaging DNA in kidney cells of adult male Swiss albino mice but do not act in synergy with 1 Gy or 2 Gy irradiation. It has also pointed to different mechanisms of action and 24-hour repair between single agent and combined exposure. Future studies should shed more light on these mechanisms of action and follow-up damage and repair over longer time. This would be helpful in tailoring radiotherapy and to use only specific, less toxic volatile anaesthetics when it is necessary to immobilise a patient.