Brominated flame retardants (BFRs) are organic compounds that had been on the market for quite a while due to high efficiency and low cost (1). The most common and consequently analysed among them were polybrominated biphenyls (PBBs), polybrominated diphenyl ethers (PBDEs), tetrabromobisphenol A (TBBPA), its analogue tetrabromobisphenol S (TBBPS), and hexabromocyclododecane (HBCD) (Figure 1). They used to be added to textiles, plastic, building materials, and electrical and electronic equipment to prevent fire outbreak or slow down its spread. PBBs, PBDEs, and HBCD were used as additives, while TBBPA was mostly used as a reactive flame retardant (about 80 % of its production), which unlike additives, chemically bind to the materials they protect. However, both types are released into the surrounding air, soil, dust, and water during use, disposal, and/or recycling of materials to which they have been added (1–4).

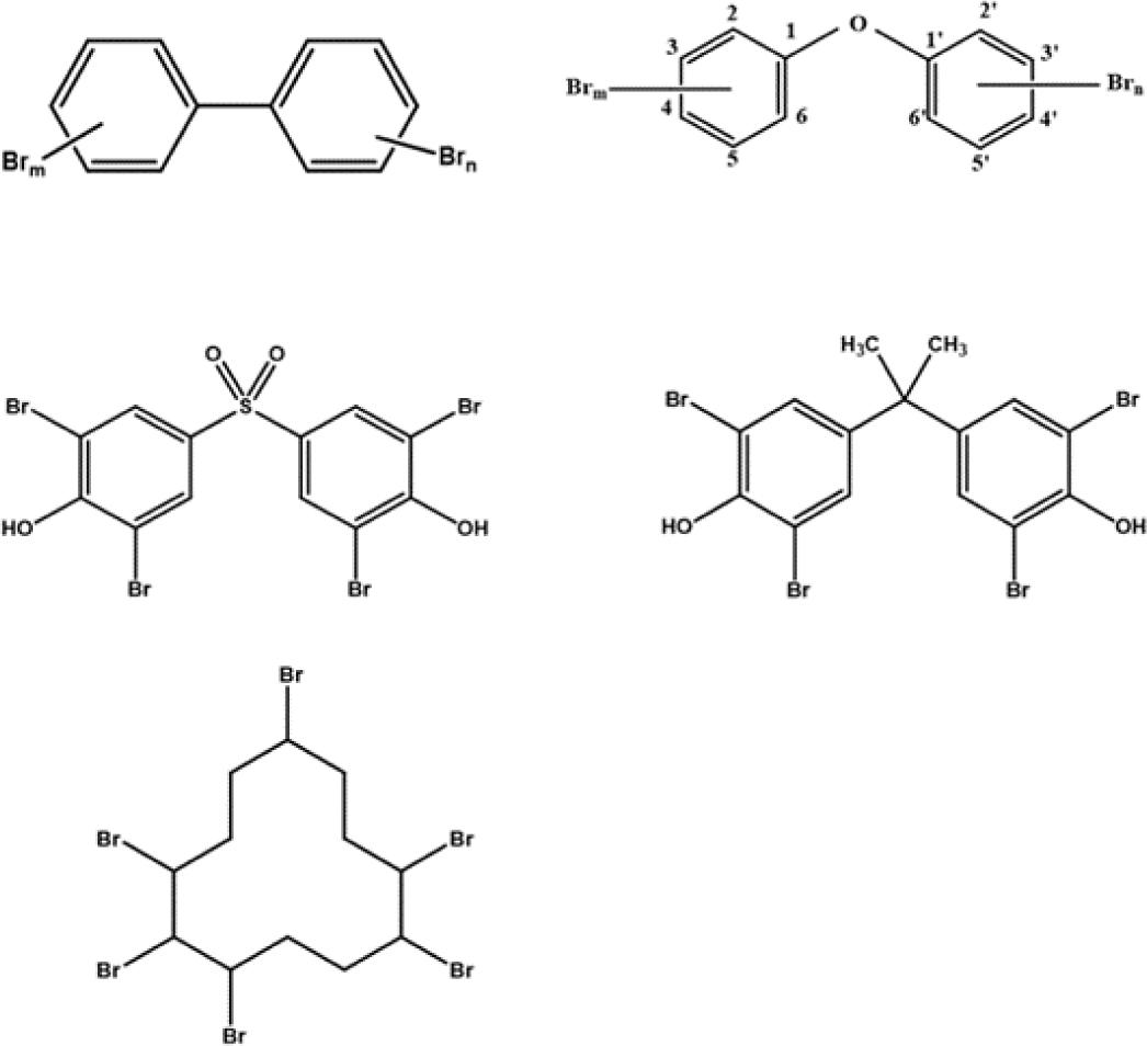
PBBs, PBDEs, TBBPA, TBBPS, and HBCD structure
Since the beginning of their use in the 1960s and 1970s, BFR levels have risen sharply in all parts of the environment (soil, water, and sediment), animals, and humans. Because of their toxicity to humans and animals, persistence in the environment, and a tendency to bioaccumulate and biomagnify in terrestrial and marine food chains, they are considered persistent organic pollutants (POPs) (1, 4–6). Annex A of the Stockholm Convention on Persistent Organic Pollutants (7) has listed hexabromobiphenyl (HBB), HBCD, tetra-, penta-, hexa-, hepta-, and deca-BDE as pollutants whose production, use, import, and export are to be eliminated by countries signing the Convention to protect human health and the environment.
Polybrominated biphenyls were used mainly back in the 1970s. There are 209 PBB congeners, which differ in the position and number of bromine atoms attached to the two benzene rings (8). The most widely used PBB congeners were hexa-, octa- and deca-BB (9). They are lipophilic compounds with logarithmic values of the n-octanol/water partition coefficient (log Kow) ranging from 5.53 for mono-BB to 9.10 for deca-BB (4). HBB was banned shortly after a mixture of PBBs with its highest proportion was accidentally added to animal feed in Michigan in 1973, and contamination with it spread to agricultural products. PBBs can cause cancer and impair the immune system and brain development (4, 6, 10).
Polybrominated diphenyl ethers came into use in the 1960s and 1970s. They also have 209 congeners (11) and were the second most represented BFRs in the global market with a share of 33 % (12). They are lipophilic, with a log Kow ranging from 5.08 for mono-BDE to 8.70 for deca-BDE and water solubility ranging from 0.00087 to 0.04 mg/L at 25 °C. In general, log Kow values increase with the number of bromine atoms, while water solubility and vapour pressure decrease. In other words, increasing the degree of bromination reduces the ability of congeners to dissolve in water, and higher brominated PBDEs more easily adsorb onto particles in water (13, 14) and the organic fraction of sediments. This is how they enter organisms, bioaccumulate in lipid-rich tissues, and biomagnify along the food chain (3). PBDEs are endocrine disruptors and as such interfere with the normal hormonal function in animals and humans (15). Some of the consequences are lower intelligence quotient (IQ), lower cognitive and motor function, and hyperactive and aggressive behaviour (3).
Tetrabromobisphenol A is a brominated bisphenol A (BPA). It is lipophilic, with a log Kow value of 4.5 and a water solubility from 0.17 to 4.2 mg/L at 25 °C (1, 13). There is no report describing the exact time when its production began, but nowadays it is one of the most widely used BFRs (16, 17). Due to its physicochemical properties, TBBPA bioaccumulates in organisms less than PBDEs but remains in water, in which it is therefore more often analysed (13, 18). Like PBDEs, TBBPA also disrupts the endocrine system and also affects the immune and nervous system, kidneys, liver, and reproductive development (19, 20).
Tetrabromobisphenol S has recently been introduced in the market to replace TBBPA (21) and, like TBBPA, it is less prone to bioaccumulation in organisms (19, 22). It is lethal even at very low concentrations, disrupts the endocrine system, and directly or indirectly causes hepatotoxicity and cancer (23).
Hexabromocyclododecane is a brominated cyclic alkane most often added to thermoplastic polymers in styrene resins (1). Its commercially available mixture consists of several isomers, most notably α-, β-, and γ-HBCD (24). Like most other BFRs, HBCD is lipophilic, with a log Kow of 5.6, poorly soluble in water (0.002 to 0.03 mg/L at 25 °C), and prone to bioaccumulation (1, 13). Due to its physicochemical properties, it is found at much higher levels in sediment than in water, where it is often undetectable (20). HBCD is neurotoxic and toxic to the thyroid (19), and according to some research it has also been identified to act as an endocrine disruptor (24, 25).
The development of cities, industry, agriculture, and tourism has significantly increased the levels of POPs in the aquatic environment. In 2000, the European Union (EU) Directive 2000/60/EC (26) introduced special measures against water pollution by individual pollutants or groups of pollutants which pose a significant risk to the aquatic environment, including sources of drinking water. These measures were aimed at gradually reducing POP production and at phasing out priority hazardous substances within 20 years to lower the concentrations of naturally occurring substances in the marine environment to near background levels and the concentrations of synthetic substances to zero. The list of priority hazardous substances, which included PBDEs since 2000 (26), has in the meanwhile been amended to include HBCD since 2013 (27). According to Directive 2013/39/EC, the maximum allowable concentration of Environmental Quality Standard (EQS) for PBDEs (BDE-28, -47, -100, -99, -153, and -154) in inland surface waters (rivers, lakes and related artificial or significantly altered water bodies) is 0.14 μg/L and in other surface waters 0.014 μg/L. The maximum allowable concentrations for HBCD were set to 0.5 and 0.05 μg/L, respectively, and the average annual concentrations to 0.0016 and 0.0008 μg/L, respectively (27).
Water, sediment, and suspended particles in water are the main routes of exposure to POPs for aquatic organisms (28). Considering that PBDEs and HBCD are hydrophobic, difficult to detect in water even with the most advanced analytical instruments, and prone to bioaccumulation and biomagnification (24), aquatic organisms often serve as indicators of pollution with these compounds (29). According to the Directive 2013/39/EU (27), the EQS for PBDEs in biota (fish) is 0.0085 ng/g wet weight (ww) and refers to the sum of congeners BDE-28, -47, -99, -100, -153, and -154. The EQS for HBCD is 167 ng/g ww. These values represent the upper limits above which these compounds are considered toxic to the aquatic environment and organisms.
POPs can be detected in the environment at levels that pose a significant risk for decades after measures have been taken to reduce or completely stop their production. The reason is that products containing these compounds are still being used and will remain the source of pollution throughout their lifetime and long after they have been disposed at landfills or recycled.
This short review presents the analytical procedures used to determine PBBs, PBDEs, TBBPA, TBBPS, and HBCD in the aquatic environment (water, sediment, and organisms) and their concentrations around the world.
Quantitation of PBBs, PBDEs, TBBPA, TBBPS, and HBCD in environmental and biological samples takes highly sensitive and accurate methods to detect levels most often expressed in ng/g or ng/L. Another challenge is how to prepare samples with complex matrices, especially biological samples with a higher fat content, such as fish. Preparation requires exhaustive and selective extraction, purification, and concentration of the sample before final instrumental analysis. Depending on the type of chromatography and detection technique used, the procedure may also require fractionation of compounds during purification to prevent co-elution of interfering compounds with the target analytes.
Particularly demanding is the determination of decabromodiphenyl ether (BDE-209) (3, 14, 30). It is non-volatile and quickly decomposes to hepta-, octa-, and nona-BDE and brominated dibenzofurans at high temperatures or in the presence of UV light. Under UV light octa- and nona-BDE can further degrade to more stable lower brominated BDE congeners. Samples and extracts should therefore be protected from UV light throughout the analytical process, usually with tinted (brown) glassware and vials, and by wrapping the dishes in aluminium foil. In addition, BDE-209 behaves differently from other PBDE congeners in the ion source of mass spectrometry (MS).
Sample collection, preparation, and storage are important steps before extraction, as they need to minimise the risk of contamination or thermal and photolytic degradation of individual compounds. The sampling site must be selected carefully to obtain samples representative of the tested area. Wastewater samples need to be collected downstream or upstream of urbanised areas or industrial plants to reflect changes in water composition. Drinking water, in turn, should be collected at the midstream of rivers at a depth of 20 to 50 cm (15). Samples of seawater and lake water are collected at the same depth (13, 31). Depending on the sensitivity and limit of detection (LOD) of the analytical method, the volume of collected water can range from 50 mL to 20 L. Collection bottles should be pre-washed with distilled deionised water and an organic solvent, usually methanol (15). After collection, water samples are filtered through a 0.45 μm pore size membrane and stored at 4 °C in brown glass bottles to minimise photolytic degradation or biodegradation of the compounds. Analysis is usually performed within 48 hours (12, 15, 19, 20, 32). The optimal volume required for analysis with gas chromatography (GC) coupled with tandem mass spectrometry (MS/MS) or with liquid chromatography (LC) coupled with MS/MS is from 0.250 mL to 1 L (2, 13, 15, 19, 31, 32). Sometimes, samples can be collected and extracted at the same time with passive samplers, such as the polar organic chemical integrative sampler (POCIS) or with the diffusive gradients in thin films (DGT) technique, which consists of a diffusive agent and a binding agent (sorbent). The best sorbent for TBBPA is a mesoporous silica-based imprinted polymer, as it shows good selectivity and affinity (15, 33).
Water samples can be adjusted to the required pH, usually ~2, by adding 1 % (v/v) formic acid, diluted sulphuric acid, or diluted hydrochloric acid. Acidification of water samples reduces precipitation, microbial activity, and loss of analyte due to sorption onto the bottle. Wastewater samples can be acidified only after they have been filtered. Chlorine present in tap water samples is most often removed with sodium thiosulphate (15, 19).
Biological samples are lyophilised and homogenised before extraction and stored at -20 °C (6, 34, 35).
Sediment samples are usually collected by taking a few subsamples at one location of interest, which are then combined and homogenised to obtain a representative composite sample for that location. Additionally, if sediment cores are collected, they can be stratified by sediment depth to obtain data for targeted analytes at a certain time estimated from the sedimentation rate at a location. Sediments are usually stored at -20 °C until analysis (13, 32, 36, 37).
The first step in the analysis of target compounds in environmental and complex biological samples is to extract them with minimal loss and minimal consumption of time and chemicals. Sample volume will depend on the levels of target compounds in it and the sensitivity of the analytical technique. Unlike environmental samples (water and sediment), biological samples (fish and seafood) have a high content of organic matter, protein, and lipids (35). Lipids should therefore be dissolved with a suitable solvent (34). Emulsions are often treated with a (Tris)-citrate buffer to improve separation of the organic and aqueous phases. The remaining emulsion is often treated with 25 % KOH in methanol (35). Despite differences in matrix composition, the same or similar combinations of extraction techniques and solvents are used to analyse BFRs in environmental and biological samples, and the procedure usually differs in extract purification (34).
Review of methods used to analyse brominated flame retardants in environmental samples
| Sample | Compounds | Extraction technique | Extract purification | Detection technique | Ref. |
|---|---|---|---|---|---|
| Water | PBDE | USAEME | / | GC-EI-MS | (31) |
| PBDE | SPE | / | GC-ECD | (12) | |
| PBDE | UA-DLLME | / | HPLC-UV | (6) | |
| PBDE | SBSE | / | GC-EI-MS | (42) | |
| PBDE | LLE | / | GC-EI-MS | (32) | |
| PBDE | SPE | silica gel/aluminium oxide or Florisil® | GC-EI-HRMS | (13) | |
| TBBPA, TBBPS | SPME | / | HPLC-UV | (22) | |
| TBBPS | MSPE | / | HPLC-UV | (41) | |
| TBBPA | US-DLLME | / | HPLC-UV | (44) | |
| TBBPA | SPE | / | HPLC-UV | (33) | |
| TBBPA | MSPE | / | HPLC-UV | (2) | |
| TBBPA, TBBPS | LLE | / | HPLC-ICP-MS/MS | (19) | |
| TBBPA, HBCD | DI-SPME | / | HPLC-ESI-MS | (20) | |
| TBBPA, HBCD | SPE, PLE | silica gel/aluminium oxide or Florisil® | LC-MS/MS | (13) | |
| TBBPA, HBCD | PLE | SPE | LC-ESI-MS/MS | (37) | |
| Sediment | PBDE | UAE | SPE | GC-EI-MS | (40) |
| PBDE | PLE | silica gel/aluminium oxide or Florisil® | GC-EI-HRMS | (13) | |
| PBDE | Soxhlet | silica gel | GC-EI-MS | (32) | |
| PBDE | Soxhlet | GPC/silica gel | GC-HRMS | (46) | |
| PBB, PBDE | Soxhlet | multilayer silica gel | HRGC-HRMS/GC-ECD | (10) | |
| PBB, PBDE | UAE | silica gel | GC-EI-MS | (52) | |
| HBCD | Soxhlet | multilayer silica gel | HPLC-MS/MS | (55) | |
| TBBPA, HBCD | PLE | SPE | LC-ESI-MS/MS | (37) | |
| TBBPA, HBCD | UAE | silica gel/aluminium oxide or Florisil® | LC-MS/MS | (13) | |
| TBBPA | Soxhlet, LLE | silica gel | HPLC-ESI-MS/MS | (36) | |
| TBBPA | Soxhlet | silica gel | HPLC-ESI-MS | (61) |
DI-SPME – direct immersion solid phase microextraction; ECD – electron capture detector; EI – electron ionisation; ESI – electrospray ionisation; GC – gas chromatography; HBCD – hexabromocyclododecane; HPLC – high performance liquid chromatography; HRGC – high resolution gas chromatography; HRMS – high resolution mass spectrometry; ICP – inductively coupled plasma; LC – liquid chromatography; LLE – liquid-liquid extraction; MS – mass spectrometry; MS/MS – tandem mass spectrometry; MSPE – magnetic solid phase extraction; PBB – polybrominated biphenyls; PBDE – polybrominated diphenyl ethers; PLE – pressurized liquid extraction; SBSE – stir bar sorptive extraction; SPE – solid phase extraction; SPME – solid-phase microextraction; TBBPA – tetrabromobisphenol A; TBBPS – tetrabromobisphenol S; UAE – ultrasound-assisted extraction; UA-DLLME – ultrasound-assisted dispersive liquid-liquid microextraction; USAEME – ultrasound-assisted emulsification microextraction; US-DLLME – ultrasound-dispersive liquid–liquid microextraction; UV – ultraviolet detection
The most common techniques used to extract BFRs from water samples are liquid-liquid extraction (LLE) and solid phase extraction (SPE). Recently, these have been expanded to include solid-phase microextraction (SPME), stir bar sorptive extraction (SBSE), dispersive liquid-liquid microextraction (DLLME), and ultrasound-assisted emulsification microextraction (USAEME), which minimise or completely get rid of the use of extraction solvent (6, 12, 15, 19, 20, 31).
The main disadvantages of LLE are high solvent consumption and a need for repeated extraction to ensure detection of target compounds present at trace levels in water samples. During extraction of target compounds from wastewater, an emulsion can be formed, which further complicates the procedure (15, 34). LLE most often uses dichloromethane, n-hexane, or a mixture of n-hexane and dichloromethane (1:1, v/v) to extract PBDEs from natural and wastewater samples (15, 32). Dichloromethane is also used to extract TBBPA and TBBPS from river, sea, and tap water (19).
Another classic technique still widely used to analyse BFRs at trace levels in water samples is SPE. This technique is based on the sorption of the analyte on a sorbent placed in a disk or column. When the liquid sample is passed through such a column, the compounds of interest are bound to the sorbent and subsequently eluted from the sorbent with an appropriate volume of a suitable solvent. SPE is widespread because it can handle larger sample volumes, reduces solvent consumption, and allows all types of solvents (13, 15). An additional advantage is that, with a suitable sorbent and solvent, it can separate analytes from the sample matrix and purify and concentrate the extract in one step (12). Using SPE and the commercially available ABS Elut-NEXUS® – an ultraclean polymeric sorbent which has bimodal porosity and a high surface area – Suzuki and Hasegawa (38) extracted TBBPA and α-, β-, and γ-HBCD with acceptable recovery. Also, an automated SPE technique has been developed to determine TBBPA and HBCD in seawater (13). It relies on a styrene divinyl benzene disk (SDB-XC, 3M) and accelerated solvent extraction (ASE) with dichloromethane and n-hexane (1:1, v/v). One study (12) compared three types of commercially available sorbents – Oasis HLB®, Isolute® C18, and Isolute® PAH – for extraction of PBDEs from wastewater. Although the first two sorbents are often used to extract and purify PBDEs from environmental samples (12, 13, 39), Isolute® PAH with ethyl acetate as eluent stands out as the best method due to the lowest interference and chromatogram baseline. The reason may be that Isolute® PAH uniquely combines a C18 and an amino-based sorbent.
Recently, molecularly imprinted polymers (MIP) have attracted the attention of researchers due to their high selectivity for target analytes. The structure of imprinted polymers contains selective cavities that correspond to target analytes in size and shape (2, 40). If magnetised, molecularly imprinted polymers can easily be separated with a magnet and used in magnetic solid phase extraction (MSPE). This method was successfully applied by Hu et al. (2) to determine TBBPA in water samples with methanol as solvent and by Wang et al. (41) to determine TBBPS with a methanol and water (3:7, v/v) mixture as solvent. In certain cases, the desired structure of the imprinted polymers may be expensive or the molecules from which the imprinted polymers are made may not dissolve in the required solvent. In these cases, the alternative is to use chemical compounds of similar structure or structural analogues, also known as dummy molecularly imprinted polymers (DMIP).
SPME is a very effective, simple, and fast technique for extracting targeted compounds from liquid samples without the use of solvents. It uses extraction fibres coated with a polymer or sorbent and can be coupled to chromatographic techniques to achieve the needed extract concentration and introduce the sample into the detection system. Although the surface area of the fibre is small, it ensures sufficiently low LOD of trace organic compounds in water samples (15). Fibre selection is a key for successful extraction. One of the best choices are fibres coated with synthetic mesoporous cellular foams (MCFs) because of their large pores. They are superior to commercial sorbents in terms of TBBPA and TBBPS adsorption and extraction from water samples (22). SPME is rarely used for the analysis of α-, β-, and γ-HBCD diastereoisomers in water samples. One exception is direct immersion of the SPME fibres coated with a polydimethylsiloxane/divinylbenzene sorbent (PDMS/DVB), which yields good extraction and determination of TBBPA, HBCD diastereoisomers, and PBDEs with relatively high molecular weight and low vapour pressure. Better recoveries with SPME can also be achieved with headspace (HS) extraction by exposing fibres to the vapour above the sample instead of immersion, which prolongs fibre lifetime and prevents contamination with non-volatile compounds. This HS-SPME technique is suitable for the extraction of PBDEs with lower molecular weights and higher vapour pressures (15, 20, 34).
Another technique based on the fibre-coating sorbent is SBSE. It allows the use of greater amounts of sorbents than SPME, which increases sorption capacity, extraction, and sensitivity, and the method is robust and easy to perform (15). Compounds of interest are sorbed onto polydimethylsiloxane fibre coating by immersing a magnetic plate directly into the liquid sample or by exposing it to vapour above the sample (HS technique) for a while. Stirring the magnetic plate accelerates sorption. The compounds are then chemically or thermally desorbed and introduced directly into the chromatograph (15, 42). SBSE with polydimethylsiloxane is good for extraction of tri- to hexa-BDEs (34). For higher brominated BDEs, which are thermally less stable, a better technique is liquid desorption (LD) (42, 43).
The DLLME technique is based on the dispersion of extract droplets in aqueous solution with a suitable dispersion solvent (6, 15). The extraction solvent must be denser than water (44) and the dispersion solvent must be mixed with both the extraction solvent and the aqueous solution to form a cloudy solution that increases the interaction between the two phases to yield better extraction. This technique is fast, efficient, simple, and requires low solvent consumption (6). DLLME provides good repeatability, and its efficiency can be enhanced by the use of ultrasound to obtain as homogeneous a cloudy solution as possible (US-DLLME) (6, 44). It is suitable for the extraction of TBBPA from water samples using tetrahydrofuran as dispersion solvent and chloroform as extraction solvent (44) and for the extraction of PBBs using carbon tetrachloride as extraction solvent and acetonitrile as dispersion solvent (6).
The USAEME technique is based on the emulsification of an organic solvent, which then extracts the desired compounds from the water sample using ultrasound. It is a simple and non-expensive method that allows simultaneous extraction and concentration before GC analysis (15). USAEME efficiency is similar to that of LLE, SPME, or SBSE but results in lower LODs than SPME. It has successfully been applied for the extraction of trace PBDEs in water samples (31).
Classic techniques for BFR extraction from sediment and biological samples are solid-liquid extraction (SLE) and Soxhlet extraction. The most frequent of more recent techniques are ultrasound-assisted extraction (UAE), microwave-assisted extraction (MAE), and pressurised liquid extraction (PLE). The last is also known as accelerated solvent extraction (ASE), as it significantly decreases extraction time and solvent consumption, can be automated or semi-automated, and can process a large number of samples at the same time (13, 36, 40, 45–49).
SLE is used to extract BFRs from fish and seafood samples. It is based on the same principle as LLE, except that target analytes are extracted from solid matrices. For example, PBDEs are extracted from bivalve samples by adding 1 mol/L KOH to form aqueous phase, and then by adding a mixture of n-hexane and methyl tert-butyl ether (1:1, v/v) (13). From fish samples they are extracted with a mixture of cyclohexane and isopropanol (1:1, v/v) (49). As for TBBPA extraction, Hu et al. (2) reported a successfully applied combination of SLE and MSPE. More precisely, TBBPA was extracted from fish with acetonitrile, the supernatant evaporated to dryness, and second extraction completed with a mixture of methanol and water (1:1, v/v) and magnetised MIP as adsorbent.
The second BFR extraction classic from solids such as sediment and biological samples is Soxhlet extraction. It is a simple technique that requires minimal sample preparation but also large volumes of solvents, usually dichloromethane or acetone/n-hexane or dichloromethane and n-hexane mixtures (45, 46, 50). In addition, extraction takes more than 20 h (34). Despite its shortcomings, Soxhlet extraction serves as the benchmark for evaluating the efficiency of other extraction techniques (34, 45) because it achieves high yields for PBDEs, HBCD, and TBBPA and good repeatability for both sediment and biological samples. Water-miscible solvents, such as acetone or methanol, should be added to wet sediment samples to improve solvent penetration into the matrix and ensure extraction of BFRs (34). For sediment samples, the best recoveries for PBDEs, HBCD, and TBBPA are obtained with a solvent mixture of acetone and n-hexane at different ratios (1:1 or 1:3, v/v) (32, 34, 45, 51). Dichloromethane is used to extract PBBs from fish samples (50) and a mixture of n-hexane and dichloromethane (1:4, v/v) to extract both PBDEs and PBBs from sediment (10).
UAE is a simple extraction procedure facilitated by ultrasound passing through the sample and organic solvent. It is relatively fast, can process several samples at once, and does not require expensive instruments. Its disadvantages are high solvent consumption and low efficiency, which is why repeated extractions are sometimes needed to extract enough analytes. However, the method has been successful in extracting PBDEs from sediment and bivalve samples with a solvent mixture of dichloromethane and n-hexane (1:1, v/v) (13) and in extracting PBDEs and PBBs from sediment with a solvent mixture of n-hexane and acetone (4:1, v/v) (52). It has also been successfully combined with SPE and DMIP to purify and concentrate PBDEs from sediment (40). Even though it is generally used for extraction from solid samples, recently it has also been combined with microextraction techniques for the analysis of liquid samples (53).
MAE accelerates and enhances extraction by microwave-heating the solvent and the sample, which increases analyte yield. The procedure can be automated and allows for simultaneous processing of a larger number of samples (45). However, its main disadvantage is that it also extracts other, interfering lipophilic compounds, which can make purification difficult. This problem can be overcome with gel permeation chromatography (GPC), which separates analytes by size, followed by GC coupled with ion trap tandem mass spectrometry (ITD-MS/MS). With larger initial sample masses and large volume injection (LVI), this technique can have recovery and repeatability comparable to automatic Soxhlet extraction, but the LODs can be 10 times lower (34). He et al. (48) compared the effectiveness of three solvent mixtures [ethyl acetate and cyclohexane (1:1, v/v), dichloromethane and n-hexane (4:1, v/v), and n-hexane and acetone (1:1, v/v)] for the extraction of PBDEs from fish samples, and the n-hexane/acetone mixture (1:1, v/v) yielded the best results. MAE has also been successful in extracting α-, β-, and γ-HBCD from sediment samples (54).
The PLE (aka ASE) technique uses high pressure and temperature above solvent’s boiling point to increase extraction kinetics and significantly reduce extraction time and solvent consumption (45). This technique has been successfully applied for the extraction of PBDEs, TBBPA, and HBCD from sediment with dichloromethane or a mixture of dichloromethane and n-hexane (13, 34, 37) as well as for the extraction of PBDEs, PBBs, TBBPA, and HBCD from fish (34, 37, 47).
Wang et al. (45) compared the extraction efficiency of Soxhlet, MAE, and PLE for extracting PBDEs from fish with the n-hexane/acetone mixture (1:1, v/v). The results with MAE and PLE were comparable or even better than with Soxhlet extraction, but PLE showed somewhat lower repeatability than MAE (45). Novak et. al. (35), in turn, compared the extraction efficiency of SLE, MAE, and UAE for the extraction of PBDEs from lyophilised mussel samples. UAE proved to be the most effective with tetramethylammonium hydroxide as solvent, while MAE was the least effective. In another study (53), UAE also showed better extraction yields for HBCD and TBBPA from sediments than PLE.
In addition to targeted compounds, extracts contain other halogenated organic compounds, and complex matrices (from sediment and biological samples), which can affect selectivity and separation efficacy in the chromatograph. This, in turn, increases analytical uncertainty and reduces accuracy and precision of the procedure. Extracts should therefore be purified to separate target compounds from the matrix and other interfering compounds, which is often quite challenging.
Depending on the type of analyte and sample, purification may require one or more steps. Sediment extracts usually contain high concentrations of elemental sulphur, which can interfere with the determination of BFRs. The retention time of elemental sulphur on the GC column can be equal to the retention time of the analysed compounds, but also elemental sulphur may disrupt the operation of the MS. Elemental sulphur is most often removed by adding Cu powder directly to the sample or extract (32, 34, 52).
Biological samples contain fats that are extracted together with targeted compounds, and they must be removed before further instrumental analysis. This is usually done using destructive methods with acids, because BFRs are stable under acidic conditions. The simplest way is to add sulphuric acid directly to the extract (34, 47, 49). Lipids can also be removed with non-destructive methods, such as GPC. With more complex matrices, it is sometimes also necessary to apply adsorption chromatography. The most common fat sorbents used in adsorption chromatography are Florisil® (silicic acid and magnesium salt), aluminium oxide, and silica gel that can be used as acidic, neutral, or basic silica gel (which may cause a loss of Br atoms in higher brominated BFRs such as HBCD, PBDEs, and PBBs) or a combination of all three (34, 45). If necessary, it is possible to combine several columns with different sorbents. Selection of a suitable eluent and sorbent ensures simultaneous purification and separation of extracted compounds into several fractions containing one or more classes of compounds. Columns with the appropriate sorbent can be prepared in the laboratory, but many are also commercially available.
Review of methods used to analyse brominated flame retardants in biological samples
| Sample | Compounds | Extraction technique | Extract purification | Detection technique | Ref. |
|---|---|---|---|---|---|
| Fish | PBDE | QuEChERS with ultrasound | SPE | GC-ICP-MS/MS | (57) |
| PBDE | SLE | H2SO4 (conc.) | GC-EI-MS | (49) | |
| PBDE | Soxhlet | GPC/silica gel | GC-HRMS | (46) | |
| PBDE | MAE | GPC/SPE | GC-MS | (48) | |
| PBDE | Soxhlet, PLE, MAE | silica gel | HRGC-EI-HRMS | (45) | |
| PBDE, PBB | PLE | H2SO4 (conc.)/aluminium oxide | GC-NCI-MS | (47) | |
| PBDE, PBB | SLE | aluminium oxide | HRGC-HRMS | (56) | |
| PBB | Soxhlet | GPC/silica gel/aluminium oxide | GC-ECD, GC-MS/MS | (50) | |
| TBBPA | SLE, MSPE | / | HPLC-UV | (2) | |
| TBBPA, HBCD | PLE | SPE | LC-ESI-MS/MS | (37) | |
| Bivalves and fish | PBDE | SLE, MAE, UAE | Florisil® | GC-ICP-MS | (35) |
| PBDE | QuEChERS | SPE, GPC | GC-EI-MS/MS | (39) | |
| Bivalves | PBDE | SLE | silica gel/aluminium oxide or Florisil® | GC-HRMS | (13) |
| TBBPA, HBCD | UAE | silica gel/aluminium oxide or Florisil® | LC-MS/MS | (13) |
ECD – electron capture detector; EI – electron ionisation; ESI – electrospray ionisation; GC – gas chromatography; HBCD – hexabromocyclododecane; HPLC – high performance liquid chromatography; HRGC – high resolution gas chromatography; HRMS – high resolution mass spectrometry; ICP – inductively coupled plasma; LC – liquid chromatography; MAE – microwave assisted extraction; MS – mass spectrometry; MS/MS – tandem mass spectrometry; NCI – negative chemical ionisation; PBB – polybrominated biphenyls; PBDE – polybrominated diphenyl ethers; PLE – pressurized liquid extraction; QuECHERS – Quick, easy, cheap, effective, rugged, and safe technique; SLE – solid-liquid extraction; TBBPA – tetrabromobisphenol A; UAE – ultrasound-assisted extraction; UV – ultraviolet detection
The choice of the chromatographic method will depend on the physicochemical properties of target analyte. GC is suitable for the analysis of volatile and semi-volatile compounds, and their separation on the GC column is guided by their difference in volatility. LC is suitable for the analysis of thermally unstable compounds and those that are difficult to convert into the gaseous phase.
GC coupled to an MS detector (GC-MS) or an electron capture detector (GC-ECD) is the most common method to determine PBDEs (12, 13, 39, 47, 52) and PBBs (50, 52). HBCD, TBBPA, and TBPPS are most often analysed with LC coupled to an MS detector (LC-MS) (13, 37) or HPLC coupled to MS detector (19, 20, 55) or UV detector (2, 22). LC-MS is also used to determine PBDEs, but much less often, because it is not sensitive enough to analyse higher brominated BDEs, especially the BDE-209 congener, despite the fact that it is used in the analysis of thermally unstable compounds (14).
Due to the low cost of equipment and maintenance, GC-ECD is often used in the analysis of PBDEs in various types of samples, including water, sediment, and fish. The sensitivity of GC-ECD is higher than that of GC-MS, but its main drawback is low selectivity, as analyte determination is based solely on retention time, which may not distinguish it from other halogenated compounds in the extract. The problem with co-elution of interfering halogenated compounds most often occurs with lower brominated BDEs and BBs, while higher brominated BDEs and BBs are less likely to co-elute, because they have longer retention times than most compounds. Co-elution can be avoided with selective purification of the extract and fractionation before instrumental analysis and with the use of narrow-bore columns, which provide high resolution and rapid analysis. Another option is to use two columns of different polarity and/or GC-MS/MS or GC coupled to high-resolution mass spectrometry (GC-HRMS) as confirmatory method. For the analysis of PBDEs and PBBs it is recommended to use splitless injection, because they are present in environmental samples at very low levels. Using a 15-metre column and increasing the carrier gas flow, in turn, improves simultaneous determination of brominated BDEs, including BDE-209 (12, 14, 50).
MS is the most common technique for the analysis of organic compounds due to its high selectivity. It allows qualitative and quantitative determination of compounds based on the obtained m/z fragments of analysed compounds.
The most common ionisation techniques for determining PBDEs in environmental samples are electron ionisation (EI), electron capture negative ionisation (ECNI), and inductively coupled plasma (ICP) ionisation. For PBBs, the techniques of choice are EI and negative chemical ionisation (NCI) (12, 31, 39, 40, 47, 49, 52). ECNI and NCI have higher sensitivity than EI, but determination is based only on differences in retention times, and response decreases with the number of Br atoms. EI is more selective, because it provides more information about the structure of ionised compounds (12, 14). One of the most selective and sensitive techniques used in the analysis of PBBs and PBDEs is HRMS (13, 45, 46, 56). It can achieve resolution higher than 4000 without losing sensitivity to compounds with higher molecular weights, because the efficiency of ion transfer through the quadrupole mass analyser is not mass-dependent.
ICP-MS is primarily used to analyse inorganic compounds. Due to its excellent selectivity and sensitivity to bromine ions, it can also be combined with chromatographic techniques to detect PBDEs. Br is atomised and ionised in plasma at high temperature, which reduces the possibility of interference from the matrix in respect to other ionisation techniques. However, non-spectral and spectral interferences limit the application of GC-ICP-MS in the analysis of complex samples. Coupling ICP to MS/MS reduces background interference and increases accuracy, and choosing nitrous oxide over oxygen and hydrogen provides the best signal intensity (57). The advantage of the MS/MS technique is that the chemical reaction in the collision cell can be controlled.
Although for decades GC-MS has been the first choice for the analysis of organic compounds in the aquatic environment and aquatic organisms due to its high resolution, atmospheric pressure ionisation (API) has enabled the development of LC-MS and LC-MS/MS techniques with better sensitivity and selectivity and the possibility to automate determination of POPs in such complex matrices. Unlike GC, LC allows separation of polar compounds without derivatisation. However, to be detected with MS target compounds need to be in the gaseous phase, which is achieved with electrospray ionisation (ESI), atmospheric pressure photoionisation (APPI), and atmospheric pressure chemical ionisation (APCI). ESI is the most common API technique, although it allows greater matrix interference than APCI and APPI (29). Initially, HBCD was analysed with GC-ECD or GC-MS, but GC columns could not separate three HBCD diastereoisomers, and they would convert into each other at temperatures above 160 °C (18). Because of similar instability at high temperature GC is also not suitable for determining TBBPA and TBBPS (19). ESI and APCI, in turn, can determine HBCD and TBBPA diastereoisomers at the same time, and ESI is more sensitive compared to APCI. APPI has showed equal sensitivity as ESI in determining HBCD and TBBPA and is also suitable for determining unstable and sensitive BDE-209 (13, 18, 20, 29, 36).
Wang et al. (6, 22, 44) successfully combined high-performance liquid chromatography (HPLC) with an ultraviolet (UV) detector to analyse TBBPA, TBBPS, and PBBs in water samples. They used C18 reverse phase columns with a mixture of water and acetonitrile as a mobile phase for TBBPA and TBBPS and a mixture of water and methanol for PBBs. The disadvantages of this technique are low selectivity and sensitivity, and it is also necessary to concentrate the sample before analysis (19).
ICP-MS is sufficiently sensitive and selective for determination of trace PBDEs in environmental samples, but had not been used for TBBPA and TBBPS until a few years ago (19). With ICP-MS, TBBPA, TBBPS, and their derivatives can be quantified by determining 79Br and 81Br in the compounds. Spectral interferences of 38Ar40Ar1H and 40Ar40Ar1H resulting from these bromine isotopes are removed with hydrogen as reactive gas or with helium, but sensitivity is somewhat lower. As transfer of mobile phase organic solvents from HPLC to ICP can cause instability or disappearance of plasma and the formation of carbon deposits during detection of brominated compounds, the solution is to use argon with 20 % oxygen as carrier to stabilise plasma (19, 58). As for the separation of TBBPA and TBBPS and their derivatives for HPLC, an option is to use a reverse phase C18 column and a mixture of methanol and water as the mobile phase. Better separation is ensured with gradient elution (19). Inorganic Br forms can be separated from organic compounds by adding 0.1 % (v/v) acetic acid to the mobile phase. Adding acetic acid also reduces splitting and peak tailing problems with TBBPS. HPLC-ICP-MS/MS enables rapid, sensitive, and simultaneous quantification of TBBPA and TBBPS and their derivatives in water samples and can be applied for analysis in much more complex environmental and biological samples (19).
Due to their physicochemical properties, BFRs are more often detected in sediment and aquatic biota than water (Table 3). Values above average were reported for TBBPA and TBBPS in treated wastewater from a plant which produced TBBPA and other brominated flame retardants in China (22), and – what is more surprising – for PBBs in environmental water samples, also in China. The latter may be attributed to the discharge of industrial wastewater of several large petrochemical and coating enterprises near the sampling locations (6). Wastewater treatment plants have generally been identified as a significant source of BFR, including PBDE (59) release into the environment, and their levels also depend on whether the water sample has passed through a purifier. For example, wastewater samples from England collected upstream of a treatment plant were reported to be nearly four times as high as downstream of the plant (169 vs 43 ng/L, respectively) (12). Additionally, higher water and sediment PBDE levels were detected in parts of the rivers passing through urban and highly industrialised areas (32, 67). Also, aquaculture has been shown to cause higher HBCD and PBDE levels in seawater, sediment, and bivalves (13).
Mass fractions/concentrations of ΣPBBs, ΣPBDEs, TBBPA, TBBPS, and ΣHBCD detected in different compartments of aquatic environment worldwide
| Location (number of analysed congeners in square brackets) | Sample type | Ref. | ||||||
|---|---|---|---|---|---|---|---|---|
| River water (ng/L) | Lake water (ng/L) | Seawater (ng/L) | Wastewater (ng/L) | Sediment (ng/g dw) | Fish (ang/g ww or bng/g lw) | |||
| PBB | Yaner Bay, China [4] | 112400 | 43800–44300 | (6) | ||||
| Three Gorges Reservoar, China [22] | 0.0278–0.1557a | (62) | ||||||
| Vaal River, South Africa [2] | 3.3–18 | (52) | ||||||
| North Sea, France [5] | 0.00057–2.116a | (50) | ||||||
| PBDE | Yellow River, China [14] | 0.491–17.4 | 0.0357–43.0 | (32) | ||||
| Beijing, China [7] | 0.0236–1.255 | (63) | ||||||
| Bailianghe River, China [8] | 45.8–560b | (49) | ||||||
| Shandong Province, China [6] | 0.26–1.02a | (57) | ||||||
| Three Gorges Reservoar, China [27] | 0.023–0.218 | (62) | ||||||
| England [10] | 0.0092–0.1715 | (64) | ||||||
| Latvia [8] | <LOD | <LOD | 0.01–0.13 | (46) | ||||
| Sava River, Slovenia, Croatia, Serbia [7] | 0.24–0.83a | (35) | ||||||
| Evrotas River, Greece [8] | <LOD–4.52 | 9.32–116b | (65) | |||||
| Ancona, Italy [15] | 0.013–0.418a | (39) | ||||||
| Las Tunas River, Cipolleti Lake, Argentina [4] | <LOD(4) | <LOD(4) | (31) | |||||
| Ashley and Cooper River, Charleston Harbor, US [8] | 0.02–3.74a | (66) | ||||||
| Chenab River, Pakistan [8] | 0.48–73.4 | 0.35–88.1 | (67) | |||||
| South Korea [27] | <LOD–0.74 | 0.16–7.09 | <LOD–14.68*b | (13) | ||||
| Tongyeong Bay, South Korea [19] | 1.58–6.94 | 2.18–307 | 4.7–37*b | (59) | ||||
| Ga-Selati River, Africa [7] | <LOD–0.29a | (68) | ||||||
| Vaal River, South Africa [8] | 20–98 | (52) | ||||||
| Brisbane River, Australia [8] | 0.01–12.4 | (69) | ||||||
| Antarctica [12] | <LODa | (70) | ||||||
| TBBPS | Shandong Province, China Xiaoqing River, China | <LOD | 12100 | (22) | ||||
| Pan River, China | <LOD | (19) | ||||||
| TBBPA | Northern China | <LOD–1800 | (71) | |||||
| Shandong Province, China Xiaoqing River, China | <LOD | 19300 | (22) | |||||
| Shandong Province, China Pan river, China | <LOD | 8.41–3.15 | (19) | |||||
| Weihe River, Northwest China | <LOD–12.279 | <LOD–3.889 | (61) | |||||
| South Japan | 0.01–0.11a | (72) | ||||||
| South Korea | <LOD–2790 | <LOD–0.61 | <LOD–158*b | (13) | ||||
| Lake Erie, Canada | <LOD–0.51 | (36) | ||||||
| England | 0.14–3.2 | 0.33–3.8 | <LOD–1.7b | (37) | ||||
| HBCD | Weihe River, Northwest China [3] | <LOD–4.04 | (55) | |||||
| South Korea [3] | <LOD–0.2 | 3.47–168 | <LOD–67.52*b | (13) | ||||
| Brisbane River, Australia [3] | 0.04–9.9 | (69) | ||||||
| England [3] | 0.08–0.270 | 0.88–4.8 | 14–290b | (37) | ||||
dw – dry weight; lw – lipid weight; ww – wet weight;
– bivalve samples; Average annual concentration of Environmental Quality Standard: PBDEs – 0.14 μg/L for inland; 0.014 μg/L for other surface waters; 0.0085 ng/g ww in biota (fish); HBCD – 0.0016 μg/L for inland and 0.0008 μg/L for other surface waters; 167 ng/g ww in biota (fish) (27)
A comparison with Directive 2013/39/EU shows that the sums of the mass fractions of PBDEs in fish mostly exceed the established permissible values, while the values for HBCD are mostly within these limits. It is important to note that the permissible value for PBDEs has been determined based on the negative effects of only one congener (BDE-99) on rats and includes very high safety factors. Therefore, several authors proposed a new allowable value of 44 ng/g, which would include the sum of all six congeners (BDE-28, -47, -99, -100, -153, and -154) on the list of priority substances (60). Although an increase in EQS would seem to improve the situation, some of the detected mass fractions of PBDEs in fish would still exceed this value.
Mass concentrations/fractions of an individual BFR varies between water, sediment, or biota samples. Yet despite differences in the composition of matrices, the analysis relies on pretty much the same or similar extraction techniques. The differences are usually in extract purification, which is often not even needed for water samples.
New extraction techniques use a minimum volume of solvent or no solvent at all, which significantly shortens the time needed for analysis and lowers consumption of chemicals while achieving equal or even better extraction than classic techniques. Nevertheless, the classic Soxhlet extraction technique is still used as the benchmark for the efficiency of other extraction techniques.
PBBs and PBDEs are most often analysed with GC-MS, while LC-MS is most common for TBBPA and its TBBPS analogue. Although poorly soluble in water, LC-MS is also often used to determine HBCD, because its diastereoisomers α, β, and γ cannot be separated on GC columns, and they convert into each other above 160 °C. In general, all the methods we have reviewed here are suitable for application, as they meet the criteria provided by the EU Water Framework Directive (26).
Our brief review of recent BFR measurements clearly shows that these pollutants continue to contaminate the aquatic environment, despite use restrictions and production bans. Fortunately, the effects of bans and restrictions are visible through lower concentrations than before.