The growing spread and resistance of various pathogens call for developing new promising antimicrobial agents. One such group of agents that have received attention due to a wide variety of biological activities (such as analgesic, antipyretic, antimicrobial, bactericidal, fungicidal, hypoglycaemic, and antitumor) and applications in agriculture are chloroacetamides (1, 2, 3, 4, 5, 6, 7, 8, 9, 10). Their biological activity is driven primarily by their chemical structure, i.e. the type of functional groups that bind to active sites on receptors of bacterial and fungal strains and promote desired intermolecular interactions. Knowing the relation between specific structures and their activity allows us to predict the biological activity of newly synthesised structures. As there is ample evidence (1, 2, 3, 4, 5, 6, 7, 8, 9, 10, 11, 12, 13, 14, 15, 16, 17, 18) that N-substituted chloroacetamides are highly effective and selective as microbial reagents, we were encouraged to develop new N-(substituted phenyl)2-chloroacetamide analogues (19) (Figure 1) with an aim to improve their selectivity, lipophilicity, and antimicrobial activity. This study is therefore an extension on a series of newly synthesised N-(substituted phenyl)-2-chloroacetamides with the aim to determine how the chemical structure of their substituted functional residues contributes to their antimicrobial activity.

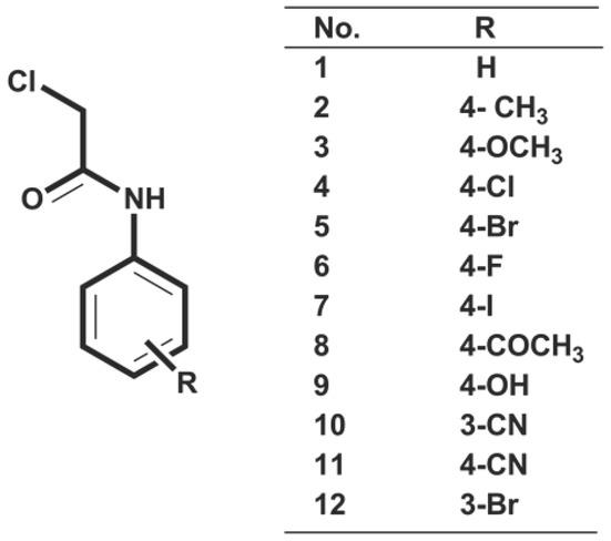
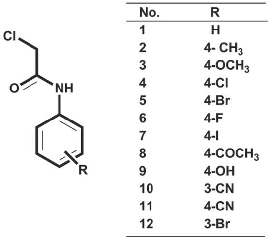
Structural formula of the investigated N-(substituted phenyl)-2-chloroacetamides
To do that, we applied quantitative structure-activity relationship (QSAR) analysis as well as Lipinski’s rule of five (Ro5) (20) and its extensions such as Veber’s (21) and Egan’s (22) methods. The assessment of biological activity took into account molecular descriptors, biophysiochemical properties, and biophysical-kinetic parameters. In addition, the synthesised derivatives were evaluated in vitro for antimicrobial activity against some of the most common pathogens.
N-(substituted phenyl)-2-chloroacetamides – namely N-phenyl chloroacetamide (SP1), N-(4-methylphenyl) chloroacetamide (SP2), N-(4-metoxylphenyl) chloroacetamide (SP3), N-(4-chlorophenyl) chloroacetamide (SP4), N-(4-bromophenyl) chloroacetamide (SP5), N-(4-fluorophenyl) chloroacetamide (SP6), N-(4-iodophenyl) chloroacetamide (SP7), N-(4-acetylphenyl) chloroacetamide (SP8), N-(4-hydroxyphenyl) chloroacetamide (SP9), N-(4-cyanophenyl) chloroacetamide (SP10), N-(3-cyanophenyl) chloroacetamide (SP11), and N-(3-bromophenyl) chloroacetamide (SP12) – were synthesised following the method described in our earlier article (19).
The chemical structure and purity of the synthesised compounds were verified by melting point, Fourier-transform infrared (FTIR), and 1H and 13C nuclear magnetic resonance (NMR) spectroscopy. FTIR spectra were recorded in transmission mode using a Bomem MB 100 (ABB Bomem Inc., Quebec, Canada) spectrometer. 1H and 13C NMR spectra were determined in deuterated dimethylsulphoxide (DMSO-d6), used as the solvent, and recorded on a Bruker AC-250 spectrometer (Bruker Corporation, Billerica, MA, USA) at 200 MHz using tetramethylsilane (TMS) as internal standard. Chemical shifts were determined with respect to distorsionless enhancement by polarisation transfer (DEPT), two-dimensional 1H to 13C heteronuclear correlation (HETCOR), and selective insensitive nuclei enhancement by polarisation transfer (INEPT) long-range experiments and are expressed in ppm with respect to TMS (δH=0 ppm) in the 1H NMR spectra and to residual solvent signal (δC=39.5 ppm) in the 13C NMR spectra. Full spectral characterisation of all 12 chloroacetamides is given in Tables 1–3.
Melting point and yield of N-(substituted phenyl) chloroacetamides
| Compound | Substituent | Melting point (ºC) | Yield (%) |
|---|---|---|---|
| SP1 | H | 136–137 | 86 |
| SP2 | 4-CH3 | 160–162 | 89 |
| SP3 | 4-OCH3 | 117–119 | 84 |
| SP4 | 4-Cl | 166–168 | 65 |
| SP5 | 4-Br | 178–180 | 88 |
| SP6 | 4-F | 128–130 | 83 |
| SP7 | 4-I | 192–195 | 72 |
| SP8 | 4-CH3CO | 144–145 | 64 |
| SP9 | 4-OH | 144–146 | 76 |
| SP10 | 4-CN | 180–183 | 56 |
| SP11 | 3-CN | 165–170 | 61 |
| SP12 | 3-Br | 110–113 | 83 |
SP1 – N-phenyl chloroacetamide; SP2 – N-(4-methylphenyl) chloroacetamide; SP3 – N-(4-metoxylphenyl) chloroacetamide; SP4 – N-(4-chlorophenyl) chloroacetamide; SP5 – N-(4-bromophenyl) chloroacetamide; SP6 – N-(4-fluorophenyl) chloroacetamide; SP7– N-(4-iodophenyl) chloroacetamide; SP8 – N-(4-acetylphenyl) chloroacetamide; SP9 – N-(4-hydroxyphenyl) chloroacetamide; SP10 – N-(4-cyanophenyl) chloroacetamide; SP11 – N-(3-cyanophenyl) chloroacetamide; SP12 – N-(3-bromophenyl) chloroacetamide
Characterisation of investigated N-(substituted phenyl)-2-chloroacetamides
| Comp | R | IR (KBr) νmax (cm-1) |
|---|---|---|
| SP1 | H | 3267 (N-H); 3207, 3145, 3098 (C-H aromatic ring); 2947 (C-H); 1671 (C=O); 1618 (C=C); 1557 (N-H deformation); 1498, (C-H bending); 1443 (C-H bending); 1344 (C-H); 1251 (C-N); 749 (N-H). |
| SP2 | 4-CH3 | 3273 (N-H); 3204, 3135, 3090 (C-H aromatic ring); 2954 (C-H); 1673 (C=O); 1616 (C=C); 1554 (N-H); 1402 (C-H); 1343 (C-H); 1251 (C-N); 818 (N-H). |
| SP3 | 4-OCH3 | 3295 (N-H); 3139, 3073 (C-H aromatic ring); 2957 (C-H); 2909 2835 (C-H); 1663 (C=O); 1612 (C=C); 1547 (N-H); 1510 (N-H); 1465 (C-H); 1413 (C-H); 1247 (C-N); 830 (N-H). |
| SP4 | 4-Cl | 3264(N-H); 3199, 3131, 3082 (C-H aromatic ring); 3005, 2952(C-H); 1669 (C=O); 1614 (C=C); 1551 (N-H); 1490 (C-H); 1400 (C-H); 1248 (C-N); 825 (N-H). |
| SP5 | 4-Br | 3263 (N-H); 3194 (C-H); 3125, 3077 (C-H aromatic ring); 3000 2953 (C-H); 1669 (C=O); 1549 (N-H); 1488 (C-H); 1395 (C-H); 1248 (C-N); 822 (N-H). |
| SP6 | 4-F | 3275, 3221 (N-H); 3165 (C-H aromatic ring); 2947 (C-H); 1668 (C=O); 1508 (N-H); 1406 (C-H); 1292; 1212 (C-N); 832 (N-H). |
| SP7 | 4-I | 3309, 3270 (N-H); 3194, 3077 (C-H aromatic ring); 2936 (C-H); 2953 (C-H); 1672 (C=O); 1610 (N-H); 1543 (C-H); 1392–1089 (CH); 1245 (C-N); 817 (N-H). |
| SP8 | 4-COCH3 | 3325, 3286 (N-H); 3196, 3109 (C-H aromatic ring); 2922, 2857 (C-H); 1707 (C=O); 1655 (C=C); 1599 (N-H); 1539 (C-H); 1283 (C-O); 1252 (C-N); 834 (N-H). |
| SP9 | 4-OH | 3296 (O-H); 3144 (N-H); 3098 (C-H); 1677 (C=O); 1508 (N-H); 1313 (C-H); 1211 (C-N); 820 (N-H). |
| SP10 | 4-CN | 3265 (N-H); 3192, 3119 (C-H); 2946 (C-H); 2226 (C?N); 1681 (C=O); 1603 (C=C); 1539 (N-H); 1408, 1345 (C-H); 1256 (C-N); 839 (N-H). |
| SP11 | 3-CN | 3265 (N-H); 3096 (C-H); 2964 C-H); 2232 (C?N); 1678 (C=O); 1610 (C=C); 1561 (N-H); 1485 (C-H); 1293 (C-N); 1089 (C-H); 799 (N-H). |
| SP12 | 3-Br | 3268 (N-H); 3193, 3127 (C-H); 2945 (C-H); 1679 (C=O); 1594 (N-H); 1424 (C-H); 1249 (C-N); 779 (N-H). |
SP1 – N-phenyl chloroacetamide; SP2 – N-(4-methylphenyl) chloroacetamide; SP3 – N-(4-metoxylphenyl) chloroacetamide; SP4 – N-(4-chlorophenyl) chloroacetamide; SP5 – N-(4-bromophenyl) chloroacetamide; SP6 – N-(4-fluorophenyl) chloroacetamide; SP7 – N-(4-iodophenyl) chloroacetamide; SP8 – N-(4-acetylphenyl) chloroacetamide; SP9 – N-(4-hydroxyphenyl) chloroacetamide; SP10 – N-(4-cyanophenyl) chloroacetamide; SP11 – N-(3-cyanophenyl) chloroacetamide; SP12 – N-(3-bromophenyl) chloroacetamide
1H and 13C NMR spectral data
| N-phenyl chloroacetamide (SP1) | 1H NMR (CDCl3): δ 4.272 (2H, s, Cl-CH2), 7.057–7.130 (1H, t, JHH = 7.4 Hz, Ar-4H), 7.302–7.380 (2H, t, JHH = 7.8 Hz, Ar-H), 7.597–7.636 (2H, d, JHH = 7.8 Hz, Ar-H), 10.321 (1H, s, NH). 13C NMR (CDCl3): δ 43.833 (Cl-CH2), 119.651 (C2,C5), 124.130 (C4) 129.119 (C3,C5), 138.751 (C1), 164.934 (C=O). |
| N-(4-methylphenyl) chloroacetamide (SP2) | 1H NMR (CDCl3): δ 2.255 (2H, s, CH3), 4.421 (1H, s, Cl-CH2), 7.111–7.153 (2H, d, JHH = 8.2 Hz, Ar-H), 7.473–7.515 (2H, d, JHH = 8.2 Hz, Ar-H), 10.222 (1H, s, NH). 13C NMR (CDCl3): δ 20.655 (CH3), 43.797 (Cl-CH2), 119.614 (C2,C6), 129.483 (C3,C5), 133.088 (C1), 136.238 (C4), 164.643 (C=O). |
| N-(4-metoxylphenyl) chloroacetamide (SP3) | 1H NMR (CDCl3): δ 3.729 (2H, s, OCH3), 4.229 (1H, s, Cl-CH2), 6.886–6.948 (2H, d, JHH = 9.0 Hz, Ar-H), 7.481–7.560 (2H, d, JHH = 9.0 Hz, Ar-H), 10.177 (1H, s, NH).). 13C NMR (CDCl3): δ 43.742 (Cl-CH2), 55.359 (OCH3), 114.189 (C3,C5), 121.217 (C2,C6), 131.814 (C1), 155.885(C4), 164.424 (C=O). |
| N-(4-chlorophenyl) chloroacetamide (SP4) | 1H NMR (CDCl3): δ 4.280 (1H, s, Cl-CH2), 7.358–7.431 (2H, d, JHH = 9.0 Hz, Ar-H), 7.613–7.686 (2H, d, JHH = 9.0 Hz, Ar-H), 10.445 (1H, s, NH), 13C NMR (CDCl3): δ 43.741 (Cl-CH2), 121.162 (C2,C6), 129.010 (C3,C5), 137.677 (C1), 165.061 (C=O). |
| N-(4-bromophenyl) chloroacetamide (SP5) | 1H NMR (CDCl3): δ 4.274 (1H, s, Cl-CH2), 7.495–7.616 (4H, m, Ar-H), 10.447 (1H, s, N-H). 13C NMR (CDCl3): δ 43.742 (Cl-CH2), 115.736 (C4), 121.526 (C2,C6), 131.923 (C3,C5), 138.095 (C1), 165.061 (C=O). |
| N-(4-fluorophenyl) chloroacetamide (SP6) | 1H NMR (CDCl3): δ 4.369 (1H, s, Cl-CH2), 7.122–7.226 (2H, t, JHH = 9.0 Hz, Ar-H)), 7,588–7,675 (2H, m, Ar-H), 10,337 (1H, s, NH). 13C NMR (CDCl3): δ 43.688 (Cl-CH2), 115.463–115.900 (C3,C5), 121.381 (C2,C6), 135.073 (C1), 160.983 (C4), 164.861 (C=O). |
| N-(4-iodophenyl) chloroacetamide (SP7) | 1H NMR (CDCl3): δ 4.263 (1H, s, Cl-CH2), 7.425–7.4709 (2H, d, JHH = 9.0 Hz, Ar-H), 7,658–7,701 (2H, d, JHH = 9.0 Hz, Ar-H), 10.416 (1H, s, NH). 13C NMR (CDCl3): δ 43.760 (Cl-CH2), 87.732 (C4), 121.745 (C2,C6), 137.750–138.551 (C3,C5), 165.043 (C=O). |
| N-(4-acetylphenyl) chloroacetamide (SP8) | 1H NMR (CDCl3): δ 2.544 (3H, s, CH3), 4.328 (1H, s, Cl-CH2), 7,723–7,768 (2H, d, JHH = 9.0 Hz, Ar-H), 7.945–7.990 (2H, d, JHH = 9.0 Hz, Ar-H), 10.646 (1H, s, NH). 13C NMR (CDCl3): δ 26.645 (CH3), 43.833 (Cl-CH2), 118.868 (C2,C6), 129.793 (C3,C5), 132.451 (C4), 143.030 (C1), 165.462 (C=O), 196.798 (COCH3). |
| N-(4-hydroxyphenyl) chloroacetamide (SP9) | 1H NMR (CDCl3): δ 4.280 (2H, s, Cl-CH2), 4.684 (1H, s, OH), 7.139–7.184 (2H, d, JHH = 9.0 Hz, Ar-H), 7.625–7.686 (2H, d, JHH = 8.8 Hz, Ar-H). 13C NMR (CDCl3): δ 43.706 (Cl-CH2), 120.671(C3,C5), 122.091 (C2,C6), 136.7489 (C1), 146.180 (C4), 164.989–166.791 (C=O). |
| N-(4-cyanophenyl) chloroacetamide (SP10) | 1H NMR (CDCl3): δ 4.319 (2H, s, Cl-CH2), 7.552–7.619 (2H, d, JHH = 9.0 Hz, Ar-H), 7.782–7.877 (2H, d, JHH = 9.0 Hz, Ar-H), 10.745 (1H, s, 2-H). 13C NMR (CDCl3): δ 43.669 (Cl-CH2), 111.985 (C3), 118.668 (CN), 122.309 (C2), 124.203 (C6), 127.662 (C4), 130.321–130.594 (C5), 139.516 (C1), 165.589 (C=O). |
| N-(3-cyanophenyl) chloroacetamide (SP11) | 1H NMR (CDCl3): δ 4.339 (1H, s, Cl-CH2), 7.552–7.619 (2H, d, JHH = 5.6 Hz, Ar-H), 7.782–7.813 (1H, m, Ar-H), 8.094 (1H, s, Ar-H), 10.745 (1H, s, NH). 13C NMR (CDCl3): δ 43.669 (Cl-CH2), 111.985 (C3), 118.668 (CN), 122.309 (C2), 124.203 (C6), 127.662 (C4), 130.321–130.594 (C5), 139.516 (C1), 165.589 (C=O). |
| N-(3-bromophenyl) chloroacetamide (SP12) | 1H NMR (CDCl3): δ 4.286 (3H, s, Cl-CH2), 7.285–7.358 (2H, m, Ar-H), 7.470– 7.571 (1H, m, Ar-H), 7.962 (1H, s, Ar-H), 10.489 (1H, s, N-H). 13C NMR (CDCl3): δ 43.688 (Cl-CH2), 118.376 (C2), 121.836 (C5), 121.927 (C6), 126.697 (C4), 131.067 (C3), 140.262 (C1), 165.243 (C=O). |
Molecular descriptors, i.e. molecular weight (MW), hydrogen bond donor (HBD), hydrogen bond acceptor (HBA), molecular hydrophobicity/partition coefficient (logP), number of rotatable bonds (Nrot), and topological polar surface area (TPSA) of the twelve synthesised chloroacetamides were obtained using the available computational web tools, namely Molinspiration (23) and SwissADME (24), while their biophysical-kinetic parameters related to absorption and metabolism were obtained using SwissADME (24), PreADMET (25), and PkcSM (26) designed to predict absorption, distribution, metabolism, excretion (ADME) and bioactivity of tested molecules.
Antibacterial activity was tested against Escherichia coli ATCC 25922, Staphylococcus aureus ATCC 25923, and methicillin resistant S. aureus (MRSA) ATCC 33591 and antifungal activity against Candida albicans ATCC 10231. The bacterial strains were cultured in the Luria Bertani (LB) medium (HiMedia, Mumbai, India) and C. albicans in tryptic soy broth (TSB) (Biomedics, Madrid, Spain). The bacterial strains and the yeast were cultured overnight at 37 °C. Suspensions were adjusted to 0.5 McFarland standard turbidity (BioMérieux, Marcy-l’Étoile, France), which corresponds to 108 CFU/mL.
Minimum inhibitory (MIC), minimum bactericidal (MBC), and minimum fungicidal concentrations (MFC) for the 12 N-(substituted phenyl)-2-chloroacetamides (SP1–12) were determined using the broth microdilution method. The final concentration of each sample in the first well was 4000 μg/mL, while the concentration of the solvent dimethyl sulphoxide (DMSO) was 5 %. Twofold serial dilutions of the chloroacetamide samples were made with LB and TSB in 96-well microtitre plates in the concentration range from 32 to 4000 μg/mL. Besides negative control (untreated bacteria and fungi) we also used sterility control (containing only the culture medium) and positive control, treated with rifampicin and nystatin. The final concentration of rifampicin and nystatin in the first well was 400 and 2000 μg/mL, respectively. Each well, except for the sterility control, was inoculated with 20 μL of bacterial and yeast culture (1×108 CFU/mL), reaching a final volume of 200 μL. At the end, 22 μL of resazurin (oxidation-reduction indicator of cell growth) was added to each well. The plates were incubated at 37 °C for 24 h. All tests were performed in a lighted environment, but the plates were incubated in the dark. Resazurin is a blue non-fluorescent and non-toxic dye that becomes pink and fluorescent when reduced to resorufin by oxidoreductases from viable cells (27). MIC was determined as no change in colour. MBC and MFC, which were obtained by sub-culturing test dilutions from each well without colour change on agar plates and incubating them for 24 h, corresponded to the lowest concentration that showed no bacterial or yeast growth. The results were expressed in μg/mL.
For the analysis of variance (ANOVA) we used the Kolmogorov-Smirnov test for the normality of residuals and Levene’s test for homogeneity of variance. For mean separation for MIC, MBC, and MFC we used Tukey’s honest significant difference (HSD) test. Significance was set at P<0.05. All dilutions were tested in duplicate with three repetitions. Statistical analyses were run on STATISTICA v.7 (StatSoft, Inc., Tulsa, OK, USA) and IBM SPSS Statistics v.20 (SPSS, Inc., Chicago, IL, USA).
Table 4 shows that compounds containing the 4-COCH3 (SP8), 4-OH (SP9), 3-CN (SP10), and 4-CN (SP11) groups within the phenyl core had their TPSA in the optimal interval from 46.17 to 52.89 Å2, which is the most favourable for high permeability. N-(4-bromophenyl)-2-chloroacetamoide (SP5) showed the highest lipophilicity, and the compound carrying the p-OH-substituent (SP9) the lowest (Table 5).
Physicochemical properties of the studied chloroacetamides
| Compound | Molecular weight (g/ mol) | Number of atoms | Number of rotatable bonds | Number of hydrogen bond donors | Number of hydrogen bond acceptors | Molar refractivity | Topological polar surface area (Å2) |
|---|---|---|---|---|---|---|---|
| SP1 | 169.61 | 11 | 3 | 1 | 2 | 45.55 | 29.10 |
| SP2 | 183.63 | 12 | 3 | 1 | 2 | 50.52 | 29.10 |
| SP3 | 199.63 | 13 | 4 | 1 | 3 | 52.04 | 38.33 |
| SP4 | 204.05 | 12 | 3 | 1 | 2 | 50.56 | 29.10 |
| SP5 | 248.50 | 12 | 3 | 1 | 2 | 53.25 | 29.10 |
| SP6 | 187.60 | 12 | 3 | 1 | 2 | 45.51 | 29.10 |
| SP7 | 295.50 | 12 | 3 | 1 | 2 | 58.27 | 29.10 |
| SP8 | 211.64 | 14 | 4 | 1 | 3 | 55.75 | 46.17 |
| SP9 | 185.61 | 12 | 3 | 2 | 3 | 47.57 | 49.33 |
| SP10 | 194.62 | 13 | 3 | 1 | 3 | 50.27 | 52.89 |
| SP11 | 194.62 | 13 | 3 | 1 | 3 | 50.27 | 52.89 |
| SP12 | 248.50 | 12 | 3 | 1 | 3 | 53.25 | 29.10 |
| Levetiracetam | 156.23 | 11 | 3 | 1 | 2 | 48.17 | 46.33 |
| Piracetam | 142.16 | 10 | 2 | 1 | 2 | 38.76 | 63.40 |
SP1 – N-phenyl chloroacetamide; SP2 – N-(4-methylphenyl) chloroacetamide; SP3 – N-(4-metoxylphenyl) chloroacetamide; SP4 – N-(4-chlorophenyl) chloroacetamide; SP5 – N-(4-bromophenyl) chloroacetamide; SP6 – N-(4-fluorophenyl) chloroacetamide; SP7 – N-(4-iodophenyl) chloroacetamide; SP8 – N-(4-acetylphenyl) chloroacetamide; SP9 – N-(4-hydroxyphenyl) chloroacetamide; SP10 – N-(4-cyanophenyl) chloroacetamide; SP11 – N-(3-cyanophenyl) chloroacetamide; SP12 – N-(3-bromophenyl) chloroacetamide
Partition coefficients of the studied chloroacetamides
| Compound | logP (22) | logPo/w(XLOGP3) (23) | logPo/w(WLOGP) (23) | logPo/w(MLOGP) (23) |
|---|---|---|---|---|
| SP1 | 1.72 | 1.63 | 1.67 | 1.84 |
| SP2 | 2.17 | 1.99 | 1.98 | 2.15 |
| SP3 | 1.78 | 1.65 | 1.68 | 1.54 |
| SP4 | 2.40 | 2.26 | 2.33 | 2.42 |
| SP5 | 2.53 | 2.32 | 2.44 | 2.56 |
| SP6 | 1.89 | 1.73 | 2.23 | 2.27 |
| SP7 | 2.81 | 2.28 | 2.28 | 2.71 |
| SP8 | 1.62 | 1.86 | 1.88 | 1.47 |
| SP9 | 1.24 | 1.27 | 1.38 | 1.23 |
| SP10 | 1.45 | 1.82 | 1.54 | 1.18 |
| SP11 | 1.48 | 1.35 | 1.54 | 1.18 |
| SP12 | 2.51 | 2.93 | 2.44 | 2.56 |
| Levetiracetam | 0.69 | 0.62 | -0.03 | 0.28 |
| Piracetam | -1.32 | -1.54 | -1.29 | -0.96 |
SP1 – N-phenyl chloroacetamide; SP2 – N-(4-methylphenyl) chloroacetamide; SP3 – N-(4-metoxylphenyl) chloroacetamide; SP4 – N-(4-chlorophenyl) chloroacetamide; SP5 – N-(4-bromophenyl) chloroacetamide; SP6 – N-(4-fluorophenyl) chloroacetamide; SP7 – N-(4-iodophenyl) chloroacetamide; SP8 – N-(4-acetylphenyl) chloroacetamide; SP9 – N-(4-hydroxyphenyl) chloroacetamide; SP10 – N-(4-cyanophenyl) chloroacetamide; SP11 – N-(3-cyanophenyl) chloroacetamide; SP12 – N-(3-bromophenyl) chloroacetamide
The best predisposition for optimal intestinal absorption was seen in the derivatives containing electron-donor substituent (compound SP3) and strong electron-acceptor/ halogen substituents (compounds SP8 and SP10–12), and these properties were significantly higher than those observed for commercial drugs levetiracetam and piracetam (Table 6).
QSAR pharmacokinetic profiles of the selected compounds related to absorption properties
| Compound | SwissADME | pkCSM | SwissADME | PreADMET | SwissADME | PreADMET |
|---|---|---|---|---|---|---|
| Gastrointestinal absorption | Intestinal absorption (%) | the compound penetrates the blood-brain barrier | The compound penetrating the blood-brain barrier (cbrain/cblood) | the compound is a P-gp inhibitor | the compound is a P-gp inhibitor | |
| SP1 | High | 91.156 | Yes | 0.902206 | No | No |
| SP2 | High | 91.692 | Yes | 2.16896 | No | No |
| SP3 | High | 93.810 | Yes | 0.612824 | No | No |
| SP4 | High | 91.969 | Yes | 1.65555 | No | No |
| SP5 | High | 91.902 | Yes | 1.79202 | No | No |
| SP6 | High | 91.217 | Yes | 1.07913 | No | No |
| SP7 | High | 90.802 | Yes | 1.52595 | No | No |
| SP8 | High | 92.635 | Yes | 0.546121 | No | No |
| SP9 | High | 90.745 | Yes | 0.975597 | No | No |
| SP10 | High | 92.986 | Yes | 0.975597 | No | No |
| SP11 | High | 92.817 | Yes | 0.975597 | No | No |
| SP12 | High | 92.405 | Yes | 1.79204 | No | No |
| Levetiracetam | High | 86.852 | No | 0.440234 | No | No |
| Piracetam | High | 86.061 | No | 0.165163 | No | No |
SP1 – N-phenyl chloroacetamide; SP2 – N-(4-methylphenyl) chloroacetamide; SP3 – N-(4-metoxylphenyl) chloroacetamide; SP4 – N-(4-chlorophenyl) chloroacetamide; SP5 – N-(4-bromophenyl) chloroacetamide; SP6 – N-(4-fluorophenyl) chloroacetamide; SP7 – N-(4-iodophenyl) chloroacetamide; SP8 – N-(4-acetylphenyl) chloroacetamide; SP9 – N-(4-hydroxyphenyl) chloroacetamide; SP10 – N-(4-cyanophenyl) chloroacetamide; SP11 – N-(3-cyanophenyl) chloroacetamide; SP12 – N-(3-bromophenyl) chloroacetamide
The above mentioned web tools Molinspiration (23), SwissADME (24), PreADMET (25), and PkcSM (26) predicted that the investigated chloroacetamides would not significantly inhibit the activity of P-glycoprotein (P-gp or ABCB1) (Table 7). Regarding CYP450 inhibition, CYP1A2 showed the highest probability to be inhibited by all tested chloroacetamides.
QSAR biophysical-kinetic profiles of the compounds related to metabolism properties
| Prediction tool | SwissADME | pkCSM | Swiss ADME | pkCSM | SwissADME | pkCSM | SwissADME | pkCSM | SwissADME | pkCSM |
|---|---|---|---|---|---|---|---|---|---|---|
| Compound | Inhibits CYP1A2 | Inhibits CYP1A2 | Inhibits CYP2C19 | Inhibits CYP2C19 | Inhibits CYP2C9 | Inhibits CYP2C9 | Inhibits CYP2D6 | Inhibits CYP2D6 | Inhibits CYP3A4 | Inhibits CYP3A4 |
| SP1 | Yes | No | No | No | No | No | No | No | No | No |
| SP2 | Yes | Yes | No | No | No | No | No | No | No | No |
| SP3 | Yes | Yes | No | No | No | No | No | No | No | No |
| SP4 | Yes | Yes | No | No | No | No | No | No | No | No |
| SP5 | Yes | Yes | No | No | No | No | No | No | No | No |
| SP6 | Yes | Yes | No | No | No | No | No | No | No | No |
| SP7 | Yes | Yes | No | No | No | No | No | No | No | No |
| SP8 | Yes | Yes | No | No | No | No | No | No | No | No |
| SP9 | No | No | No | No | No | No | No | No | No | No |
| SP10 | Yes | Yes | No | No | No | No | No | No | No | No |
| SP11 | Yes | Yes | No | No | No | No | No | No | No | No |
| SP12 | Yes | Yes | No | No | No | No | No | No | No | No |
| Levetiracetam | No | No | No | No | No | No | No | No | No | No |
| Piracetam | No | No | No | No | No | No | No | No | No | No |
Sri –A-phenyl chloroacetannde; SP2 –A-(4-methylphenyl) chloroacetannde; SP3 – N-(4-metoxylphenyl) chloroacetaminde; SP4 – N-(4-chlorophenyl) chloroacetamide; SP5 – N-(4-bromophenyl) chloroacetamide; SP6 – N-(4-fluorophenyl) chloroacetamide; SP7 – N-(4-iodophenyl) chloroacetamide; SP8 – N-(4-acetylphenyl) chloroacetamide; SP9 – N-(4-hydroxyphenyl) chloroacetamide; SP10 –A-(4-cyanophenyl) chloroacetamide; SP11 – N-(3-cyanophenyl) chloroacetamide; SP12 – N-(3-bromophenyl) chloroacetamide
Table 8 shows the results of antibacterial and antifungal activity of the tested chloroacetamides. DMSO, which was used as negative/solvent control, did not show any inhibitory effect on the tested strains. The most sensitive strains, with MIC mainly lower than 100 μg/mL, were S. aureus and MRSA. The MIC of most compounds ranged between 40 and 130 μg/mL for these pathogens and did not significantly differ from rifampicin. N-(4-iodophenyl) chloroacetamide (SP7) showed the strongest activity against both Gram-positive strains (MIC 40 μg/mL). E. coli was the most resistant strain, as the MIC of half of the tested compounds (SP1, SP2, SP4, SP5, SP7, and SP11) ranged from 920 to 4000 μg/mL. All compounds save for SP1 and SP11 were significantly less effective than rifampicin.
Minimum inhibitory, bactericidal, and fungicidal concentrations of N-(substituted phenyl)-2-chloroacetamides (means ± standard errors)
| Tested substances | R | C. albicans | E. coli | S. aureus | MRSA |
|---|---|---|---|---|---|
| MIC (μg/mL) | |||||
| SP1 | 4-H | 190±40c | 920±80c | 90±20c | 50±0cd |
| SP2 | 4-CH3 | 330±110c | 3330±330ab | 60±0c | 60±0cd |
| SP3 | 4-OCH3 | 190±40c | 540±110c | 110±10c | 190±40bc |
| SP4 | 4-Cl | 60±0c | 3670±330ab | 60±0c | 90±20bcd |
| SP5 | 4-Br | 330±80c | 4000±0a | 60±0c | 60±0cd |
| SP6 | 4-F | 110±10c | 500±140c | 150±50bc | 110±10bcd |
| SP7 | 4-I | 830±170c | 2670±330b | 40±10c | 40±10d |
| SP8 | 4-COCH3 | 330±80c | 330±80c | 190±40bc | 90±20bcd |
| SP9 | 4-OH | 2660±670a | 270±20c | 130±0c | 40±10d |
| SP10 | 3-CN | 290±40c | 190±40c | 40±10c | 90±20bcd |
| SP11 | 4-CN | 230±20c | 1000±290c | 750±140a | 220±20ab |
| SP12 | 3-Br | 100±20c | 500±140c | 80±20c | 90±20bcd |
| Ant/Myc | – | 2000±0ab | 90±10c | 40±10c | 70±20cd |
| MBC/MFC (μg/mL) | |||||
| SP1 | 4-H | 500±0c | 2000±0b | 250±0bcd | 120±0c |
| SP2 | 4-CH3 | 670±170c | 4000±0a | 170±40cd | 310±110c |
| SP3 | 4-OCH3 | 330±80c | 1000±0c | 250±0bcd | 330±80c |
| SP4 | 4-Cl | 2000±0b | Nd | 130±0d | 750±140bc |
| SP5 | 4-Br | 4000±0a | Nd | 420±80bcd | 750±140bc |
| SP6 | 4-F | 330±80c | 1000±0c | 750±140bc | 250±0c |
| SP7 | 4-I | 3000±580ab | 4000±0a | 130±0d | 290±110c |
| SP8 | 4-COCH3 | 670±170c | 670±170d | 750±140bc | 330±80c |
| SP9 | 4-OH | 4000±0a | 500±0d | 330±80bcd | 170±40c |
| SP10 | 3-CN | 500±0c | 420±80d | 130±0d | 250±0c |
| SP11 | 4-CN | 500±0c | 2000±0b | 2330±330a | 1330±330ab |
| SP12 | 3-Br | 670±170c | 1000±0c | 210±40cd | 330±80c |
| Ant/Myc | – | Nd | 130±30e | 100±0d | 100±0c |
*Values followed by the same letter in each column and isolate were not significantly different (P<0.05, Tukey’s HSD test). Ant/Myc – rifampicin or nystatin. Nd – not determined (above the highest concentration applied of 4000 μg/mL)
The yeast strain C. albicans showed moderate susceptibility to chloroacetamides compared to Gram-positive bacterial strains, with MICs mostly below 500 μg/ mL, but much higher than to positive control nystatin, with the MIC of 2000 μg/mL. Only N-(4-hydroxyphenyl) chloroacetamide (SP9) had a higher MIC of 2660 μg/mL. The best and statistically significant inhibitory activity vs nystatin against C. albicans was observed for SP4, SP6, and SP12, with MICs ranging from 60 to 100 μg/mL and similar to the one against Gram-positive bacterial strains. In general, N-(4-cyanophenyl) chloroacetamide (SP10) showed significant inhibitory activity (lowest MICs) against all tested bacterial strains and yeast taken together. SP4 and SP12 showed the strongest inhibitory activity against C. albicans and Gram-positive strains. It is interesting to note that SP7 and SP9, which strongly inhibited Gram-positive strains, were completely ineffective against C. albicans.
MICs for rifampicin control were in the range evidenced for most chloroacetamides against Gram-positive strains, and quite lower against E. coli. Chloroacetamide MBCs and MFCs were at least twice as high as their MICs, varying from 120 to over 4000 μg/mL in the case of MBCs for SP4 and SP5 against E. coli, which was the highest concentration we applied in testing (Table 8).
Predicting biological activity of newly synthesised small molecules to be screened for medicinal use takes into account simple molecular properties such as molecular weight and the number of hydrogen/rotatable bonds, which determine the size, polarity, and flexibility of a compound (28, 29). The most common screening criterion is Lipinski’s rule of five (Ro5). Its name stems from the following cheminformatics filters: MW≤500 g/mol, number of HBD≤5, number of HBA≤10, and logP≤5), whose aim is to filter out compounds that do not satisfy the most common oral absorption parameters. Although it does not predict whether a compound will be biologically active, Ro5 does not allow more than one deviation from the set parameters (20). This rule was later extended by other empirical thresholds for potential bioactivity, such as those proposed by Veber (21) (Nrot≤10, TPSA≤140 Å2, number of HBD/ HBA≤12) and Egan (22) (WlogP≤5.88 and TPSA≤131.6 Å2).
Chloroacetamides synthesised and tested in our study met all of these criteria (Tables 4 and 5). The introduction of a p-substituted phenyl ring and the chlorine atom into the acetamide fragment increased the molecular weight of the synthesised compounds compared to commercial levetiracetam and piracetam, and their topological polar surface area in the range of 29.10–52.89 Å2 and the number of rotatable bonds not exceeding 4 promise good biological activities (30). Veber (31) demonstrated that molecules with TPSA≤140 Å2 display efficient permeability. Higher partition coefficient logP will allow biologically active chloroacetamides higher efficiency by passive diffusion as well as effective binding to the active receptor sites (32). Besides, almost no divergence in logP (-Br, -CN) was observed for compounds with the same substituent in different positions (3). Likewise, all analysed chloroacetamide molecules showed higher absorption probability (Table 3) thanks to small size and low polarity (29).
In antimicrobial activity tests, all N-(substituted phenyl)-2-chloroacetamides were effective against Gram-positive bacteria, less effective against the Gram-negative E. coli, and moderately effective against the C. albicans yeast (Table 8). This was expected, given the differences in the cell wall structure and composition of these species. Ertan et al. (5) reported good bactericidal and fungicidal effects of organic acetamide derivatives N-(2-hydroxy-4 (or 5 )-nit r o / a m in o phenyl ) be n z a mid e s a n d phenylacetamides, whose structure differs from our compounds. Their MICs (around 250 μg/mL) were higher than ours against C. albicans and E. coli and similar against S. aureus. Similar findings were reported by a study of biologically active 2-chloro-N-alkyl/aryl acetamide derivatives (12). However, as neither study tested their respective compounds against MRSA, ours seems to be the first in this respect. More recently, Sharma et al. (33) identified 2-((4-bromophenyl)amino)-N-(4-(4-bromophenyl)thiazol-2-yl)acetamide, N-(4-(4-bromophenyl) thiazol-2-yl)-2-((4-chloro-3-nitrophenyl) amino)acetamide, and N-(4-(4-bromophenyl)thiazol-2-yl)-2-((2-chloro-4-nitrophenyl)amino)acetamide as effective against S. aureus, E. coli, and C. albicans, with the lowest MICs ranging from 13 to 27 μmol/L. They also reported that the improved antimicrobial activity was owed to the presence of electron withdrawing groups (–Br, –Cl, –NO2) at the ortho, meta, and para-position of the ring B and to N-acylation with the synthesised compounds. Another study (34) indicated high activity of 2-(2-methylquinoxalin-3-ylthio)-N-(benzo[d]thiazol-2-yl)acetamide and 2-(2-methylquinoxalin-3-ylthio)–N-cyclohexylacetamide against E. coli, S. aureus, and C. albicans.
Compounds SP1–SP6, SP9, SP10, and SP12 showed the highest antimicrobial activity in our study, much thanks to their structure (lipophilicity/hydrophobicity) and no more than one hydrogen or nitrogen atom (35). Higher logP values may have facilitated their penetration through the bacterial/fungal cell membrane and microbial death. Good biological activity of SP4–SP7 and SP12 can also be attributed to the presence of halogenated substituents (3, 36).
Jablonkai et al. (37) demonstrated that the biological activity of chloroacetamides varies with the position of substituents bound to the phenyl ring. This may explain different activity of the compounds SP5 and SP12 or SP10 and SP11 against the tested strains. Furthermore, different susceptibility of the tested pathogens to compound SP10 may be the consequence of their morphological characteristics determining compound penetration into the microbial/fungal cell.
Judging from the cheminformatics prediction models such as Molinspiration, SwissADME, PreADMET, and PkcSM, our twelve newly synthesised N-(substituted phenyl)-2-chloroacetamides met all the empirical criteria for good biological activity. Standard antimicrobial activity tests showed they were highly effective against Gram-positive bacteria, less effective against the Gram-negative E. coli, and moderately effective against the C. albicans yeast. Bearing the halogenated p-substituted phenyl ring, N-(4-chlorophenyl) chloroacetamide, N-(4-fluorophenyl) chloroacetamide, and N-(3-bromophenyl) chloroacetamide were among the most active thanks to high lipophilicity, which allows them to pass rapidly through the phospholipid bilayer of the cell membrane. They are the most promising compounds for further investigation, particularly against Gram-positive bacteria and yeasts. Our findings have set the path for the preparation of new, improved N-(p-substituted phenyl)-2-chloroacetamides and for better understanding of the structure-activity relationship, which should extend research to more different bacterial and fungal strains in the future.