Have a personal or library account? Click to login
How many is good enough? An analysis of serological follow-up after vaccination against SARS-CoV-2 Cover

How many is good enough? An analysis of serological follow-up after vaccination against SARS-CoV-2

Open Access
|Dec 2023

Full Article

1.
Introduction

The emergence of severe acute respiratory syndrome coronavirus 2 (SARS-CoV-2) in December 2019 has led to the pandemic that engaged many researchers and pharmaceutical companies to establish protective measures as well as to prepare and produce effective vaccines. After a bit more than one year the first vaccine was available, and many people all over the world, especially in well-developed countries, have started vaccination. It has allowed control of the spread of SARS-CoV-2, and helped to save millions of people while reducing the burden of this disease [1].

Vaccine efficacy (VE) was estimated originally for more than 95% of BNT162b2 (Pfizer–BioNTech) in terms of symptomatic Covid-19. However, this has dropped after the Delta variant started to circulate but was still protective (74.2%). There were declines of effectiveness in those admitted to the hospital and older than 65 years of age.

Independently of which kind of vaccine was used, breakthrough infections in vaccinated patients have been observed in those with lower antibody titers [2].

SARS-CoV-2 infection and/or vaccination results in humoral response and the development of neutralizing antibodies specific for SARS-CoV-2, especially against receptor binding domain (RBD) of the spike (S) protein [3,4].

Neutralizing antibody titers achieved after infection and/or vaccination seem to be an important marker of protection. It is noteworthy to say that WHO has established an international standard for evaluation of the antibody response to COVID-19 vaccines. Use of these standards is intended to contribute to better understanding of the immune response, and particularly of the correlates of protection [5,6].

There are many reports describing the data obtained by the use of the anti-SARS-CoV-2 RBD IgG and SARS-CoV-2 neutralization antibody assays, but in real life commercially available quantitative IgG assays which can reflect neutralization to some extent are more practical, easier to perform, and cheaper [7].

New variants that are emerging are able to evade immunity connected with the original vaccines [8]. It turned out that antibodies produced in response to previous vaccination against SARS-CoV-2 do not provide enough protection against the Omicron variant and its subvariants. Moreover, despite the fact that the new bivalent vaccines used as boosters in previously vaccinated individuals have been prepared, they have diminished efficacy against much more transmissible Omicron subvariants – BA.1, BA.4, BA.5, XBB – which have been spreading quickly all over the world [9, 10, 11]

These vaccines are encoding spike proteins both from previous SARS-CoV-2 and Omicron subvariants [12]. One of the explanations of lower efficacy of bivalent vaccines can be the phenomenon called immune imprinting: those initially exposed to the virus present decreased immune response if they meet similar, but not the same virus [13]. Memory B cells which are produced after the first exposure to the virus are able to produce antibodies in a short time after the next contact with the same strain. If it is not the same, mostly antibodies against the previous strain are still generated, but in a significantly lesser amount. Antibodies that exhibit cross-reactivity are produced by the previously generated memory B-cells. Also, IgM are produced to some extent [14]. Some experts suggest that it can make bivalent boosters less effective [15,16]. Also, previous infections with older common seasonal coronaviruses can influence and shape antibody response to SARS-CoV-2 infection and /or vaccination against Covid-19 [17].

It cannot be excluded that immune imprinting can be responsible for the decline of antibody titers after the second dose of vaccine in the convalescents who underwent SARS-CoV-2 infection before vaccination.

We conducted a prospective study evaluating evolution of antibody IgG titers and vaccine efficacy from 0–6 months after 2 doses of BNT162b2 (Pfizer–BioNTech) in 3 groups of adults: naïve, and 2 convalescent groups: one with surprisingly lower antibody concentration after the second shot compared with antibody titers after the first shot, and the second with higher antibody concentration after the second shot of vaccine.

The main aim of the study was to establish the efficacy of full anti-SARS-CoV-2 vaccination and to evaluate antibody levels, especially of the convalescents with antibody decline after the second dose.

2.
Materials and methods
2.1.
Study Group

This study is a follow-up for the participants of a single-center study performed at the Medical University of Wroclaw, Poland, between February 20, 2021 and August 25, 2021 (dates of the follow-up November 17–December 15, 2021). At the very beginning of the project the patients were recruited by an announcement in local media (such as newspapers, television, and the local hospital's website). They filled in a contact form and were called or messaged by members of our team to confirm their willingness to be vaccinated against SARS-CoV-2, to take part in our study, and to initially exclude any contraindications. Later, in person, the volunteers signed a questionnaire, where they had to provide information about exclusive diseases such as diabetes; any cancer within the last 5 years; chronic kidney, liver, or lung diseases; AIDS or immunosuppression for any other reason. The patients registered for a specific date. Each patient was informed about the aim of the study. Patients were informed that they could withdraw their consent at any stage of the study, and they signed informed consent. It was also necessary for the volunteers to sign in for the vaccination against SARS-CoV-2 before joining the study. In the first part of the study, we assessed anti-SARS-CoV-2 antibody levels before vaccination. Due to frequent changes in registration rules and vaccination dates and patients’ individual health contraindications at the moment, the interval between collecting blood samples for testing and the first dose of vaccine varied from 1 day to 6 weeks, usually approximately 1 week.

Later, we invited the patients for antibody level follow-ups after the first dose, precisely up to 7 days before the second vaccination and again 4–5 weeks after the second/last dose. 87 patients were invited for another follow-up approximately 6 months after second dose. In this paper we focus on the results obtained from the last follow-up. These patients were vaccinated only with the Pfizer (Pfizer–BioNTech, BNT162b vaccine).

Inclusion criteria: Patients over 18 years of age who signed informed written consent to participate in the study and were willing to be vaccinated were included. The patients disclosed whether they had had SARS-CoV-2 infection and if it was confirmed with PCR or a serological test. Exclusion criteria: Those who suffered from diabetes; any cancer within the last 5 years; chronic kidney, liver or lung diseases; AIDS or immunosuppression for any other reason were excluded.

Before a blood sample was taken, patients were asked to fill in a questionnaire and to answer questions about their age, weight, height, whether they were ill recently, vaccinated against flu, if they were smoking.

According to the previously established criteria, 87 patients, citizens of Lower Silesia region, Poland, mostly from Wrocław, of both sexes were enrolled to this part of the study. Based on final serological results obtained in earlier stages of the study three groups of patients were established:

  • Group A: COVID-19 convalescent with antibody presence in the first stage of this study; with increase of antibody level after second dose (27 people)

  • Group B: patients without evidence of previous SARS-CoV-2 infection and with 0 anti-SARS-CoV-2 antibodies before vaccination (naive patients – 30 people);

  • Group C: COVID-19 convalescent with antibody presence in the first stage of this study, convalescents who had lower antibody level after second dose compared to the results after first dose (30 people)

During the study, participants were tested 4 times so far:

  • D0 (test before vaccination)

  • D1 (test after first dose – up to 7 days before the second dose)

  • D2 (test after second dose – 4–5 weeks after the second dose)

  • D3 (test 6 months after second dose)

All individuals participated in the previous parts of the study, in which we assessed initial antibody titers (before vaccination), also during and shortly after the vaccination. The manuscripts are available online.

2.2.
Methods

All 87 participants were tested for the presence of anti-SARS-CoV-2 IgG antibodies. Plasma samples were collected using heparin, centrifuged and stored in aliquots at −70 °C for later use. The Anti-SARS-CoV-2 QuantiVac ELISA (IgG) (EUROIMMUN MedicinischeLabordiagnostica AG, Luebeck, Germany) was used for quantitative detection of anti-SARS-CoV-2 antibodies by means of 6-point calibration curve.

In the quantitative enzyme-linked immunoabsorbent assay the S1 domain of the spike protein of SARS-CoV-2 including the receptor binding domain (RBC) was used as an antigen. ELISA assay was performed, and the results were evaluated as recommended by the manufacturer. Samples with absorbance higher than the absorbance of the highest standard (386 IU/mL) were diluted and retested. The final results were calculated by multiplying by a dilution factor. The assay was standardized against “First WHO International Standard for anti-SARS-CoV-2 immunoglobin” (NIBSC 20/136), so the quantitative results are given in standardized units: IU/mL (IU, international units) which are identical to BAU/mL (BAU, binding antibody units).

2.3.
Statistical analysis

For each parameter mean, median (M), standard deviation (SD), range (min, max), lower and upper quartile (25Q, 75Q) were calculated. The normality of distribution was tested with the Shapiro–Wilk test. Statistical significance between means for different groups was calculated using the non-parametrical Kruskal–Wallis test (for more than two groups) or Mann–Whitney U test (for two groups). The homogeneity of variance was determined by the Levene's test. The post-hoc comparison was performed for the mean ranks of all pairs of groups.

Statistical significance between frequencies was calculated by the chi-square test with corresponding degree of freedom df (df = (m-1) * (n-1), where m – number of rows, n – number of columns.

The relation between two parameters was assessed using correlation analysis and Spearman correlation coefficients were calculated.

A p value of less than 0.05 was required to reject the null hypothesis. Statistical analysis was performed using EPIINFO Ver. 7.2.4.0 and Statistica Ver. 13.3. software packages.

3.
Results

87 participants of the ongoing study on humoral response to SARS-CoV-2 vaccines and their effectiveness were invited for a follow-up visit 6 months after the second dose of the vaccine. Based on previous results, we were able to divide them into 3 groups: (A) convalescents with increase of antibody level after second dose (27 people); (B) naïve patients (30 people); (C) convalescents who had lower antibody level after second dose compared to the results after first dose (30 people). None of the patients reported COVID-19 infection during or after the vaccinations.

While describing individual groups, we were able to exclude some factors from the analysis as we found them to have no statistical importance (p>0.05): patients’ sex p=0.258 (c22 = 2.71); a diagnosis and new treatment of an acute or chronic disease introduced between second dose and the time of the examination p = 0.685 (c22 = 0.76); smoking p=0.300 (c24 = 4.88); vaccination against flu during that season p = 0.243 (c22 = 2.83).

Age may be a potentially significant factor regarding groups A and B (p = 0.030). Patients of naïve group were slightly younger (median 42.5 vs. 46.0 years old).

While searching for factors which may influence humoral response of the individual groups, various options were taken into consideration. After careful analysis we were able to discover a link between the age and antibody levels before (p = 0.009), during (p = 0.043), and shortly after vaccination (p = 0.020) (D0, D1, D2) but not 6 months later (p = 0.105). Although age seems to shape the stimulation strength of the immune system (measured in increasing antibody levels), it did not correlate with the number of remaining memory cells. The most pronounced difference was shown between groups A vs. B (p = 0.009), whereas the rest of the comparisons did not bring important information (A vs. C p = 0.089; B vs. C p = 0.532; Kruskal–Wallis test p = 0.037)

Also, the baseline results are important in this matter (see Table 1 and Figure 1).

Figure 1.

Correlation between baseline (D0) antibody levels and 6 months after vaccination (D3). Blue rings present individual results; red line – 95% confidence interval (CI)

Table 1.

Correlation between baseline (D0) antibody levels and further sampling (D1 - after 1st dose - up to 7 days before the second dose, D2 – 1 month after vaccination, D3 – 6 months after vaccination)

Antibody levelsSpearman rank correlation
NR Spearmanp
D0 & D1870.730.000
D0 & D2870.340.001
D0 & D3870.450.000

Although all groups presented mildly increased BMI or in the high normal range (for group A, median 25.3, IQR [22.5–27.1], minimal-maximal 20.6–38.7; for group B, median 24.4, IQR [21.6–29.4], minimal-maximal 19.5–34.1; for group C, median 26.0, IQR [23.1–27.9], minimal-maximal 22.5–48.2; in total 25.4, IQR [22.8–27.7]) we were able to identify it as a statistically important factor influencing the antibody levels only before vaccinations (baseline levels; p = 0.001). There seems to be a positive correlation between BMI and antibody levels. It may be connected to severity of COVID-19 in the past, although our data from this paper do not allow us to draw further conclusions – only 4 out of 57 convalescents were asymptomatic, leaving 53 patients with mostly mild symptoms of infections who did not require hospitalization.

We did not find a potential correlation between increased BMI and lower antibody levels during or after vaccination at later stages. For detailed information see Figure 2.

Figure 2.

Initial antibody level for groups A (COVID-19 convalescents with increase of antibody level after 2nd dose) and C (COVID-19 convalescent, who had lower antibody level after 2nd dose compared to the results after 1st dose) and BMI level. Blue rings present individual results; red line – 95% confidence interval (CI)

In the table below we gathered information regarding all four sample takings and antibody levels for our A, B, and C groups. Before vaccination (D0) the differences between groups of convalescents and naïve patients were clearly visible, whereas we did not observe them between groups A and C (A vs. B p = 0.0; B vs. C p = 0.0; A vs. C p = 0.353). After the first dose (D1) the numbers remained similar (A vs. B p = 0.0; B vs. C p = 0.0; A vs. C p = 0.733). One month after the second dose (D2), when we started to see changes in some of the convalescents resulting in lower antibody levels than before second dose, the statistical analysis showed an important difference between groups A and C and A and B (A vs. B p = 0.0; B vs. C p = 0.633; A vs. C p = 0.001). The last time the patients were examined, 6 months after the second dose, the differences remained, although they tend to become more like at the beginning on D0 and D1 (A vs. B p = 0.0; B vs. C p = 0.007; A vs. C p = 0.048). We also used the Kruskal–Wallis test to compare all three groups with each other; the result was p = 0.0 for all sample takings (D0 H = 53.8; D1 H = 55.8; D2 H = 20.6; D3 H = 22.8). For detailed information see Table 2 and Figure 3.

Figure 3.

Antibody levels 6 months after vaccination (D3) for group A (COVID-19 convalescents with increase of antibody level after 2nd dose), B (naïve patients) and C (COVID-19 convalescent, who had lower antibody level after 2nd dose compared to the results after 1st dose). Whiskers drawn from minimum (min) to maximum (max).

Table 2.

Minimal (min), maximal (max), median (Me), IQR (Interquartile range), SD (standard deviation) and mean results [IU/ml] on following stages of the study. A (COVID-19 convalescents with increase of antibody level after 2nd dose) – 27 patients, B (naïve patients) - 30, C (COVID-19 convalescent, who had lower antibody level after 2nd dose compared to the results after 1st dose). - 30; 87 participants in total. P-value was find using Kruskal-Wallis test

groupMean [IU/mL]SD [IU/mL]Min-max [IU/mL]Me [IQR] [IU/mL]P
D0A162.4182.80.0–896.092.8 [44.2–227.7]0.000
C222.0289.50.0–1344.0128.1 [83.2–268.8]
B0.0000.0000.0–0.00.000 [0–0]
total127.0218.00.0–1344.057.6 [0.0–144.5]
D1A5959.52415.71830.4–11392.05587.2 [4480.0–7680.0]0.000
C7638.55390.01968.0–21800.05472.0 [4000.0–8256.0]
B856.0875.1185.6–3088.0536.0 [320.0–889.6]
total4778.64525.2185.6–21800.04000.0 [777.9–6075.0]
D2A7664.42616.53360.0–14360.07520.0 [4992.0–9280.0]0.000
C5547.23845.91129.0–19840.04608.0 [3120.0–7456.0]
B4451.91569.11664.0–7680.04032.0 [3360.0–5440.0]
total5826.63103.91129.0–19840.04832.0 [3456.0–7536.0]
D3A2417.11480.2344.0–7316.02336.0 [1453.0–3096.0]0.000
C2146.42453.0236.0–12099.01462.5 [819.0–2177.0]
B965.4485.8340.0–2650.0819.0 [609.0–1216.0]
total1823.21781.8236.0–12099.01301.0 [806.0–2336.0]

In this paper we would like to focus mostly on the results obtained during the last testing (D3) and on group C (convalescents with lower antibody levels after the second dose). As described in the previous manuscript, we have seen the decrease of antibody levels after different vaccines but in order to obtain more credible data, for the follow-up we invited only people vaccinated with Pfizer–BioNTech Covid-19 vaccine.

Group C had lower antibody levels after the second dose. Although group C obtained higher results in comparison with other convalescents before and after the first dose, and also in comparison with naïve patients after the second dose, these results were found not to be significantly important (p = 0.353; p = 0.733; p = 0.633 respectively). 6 months later group C presented still high results, higher than in group B (p = 0.007), but lower than in group A (p = 0.048).

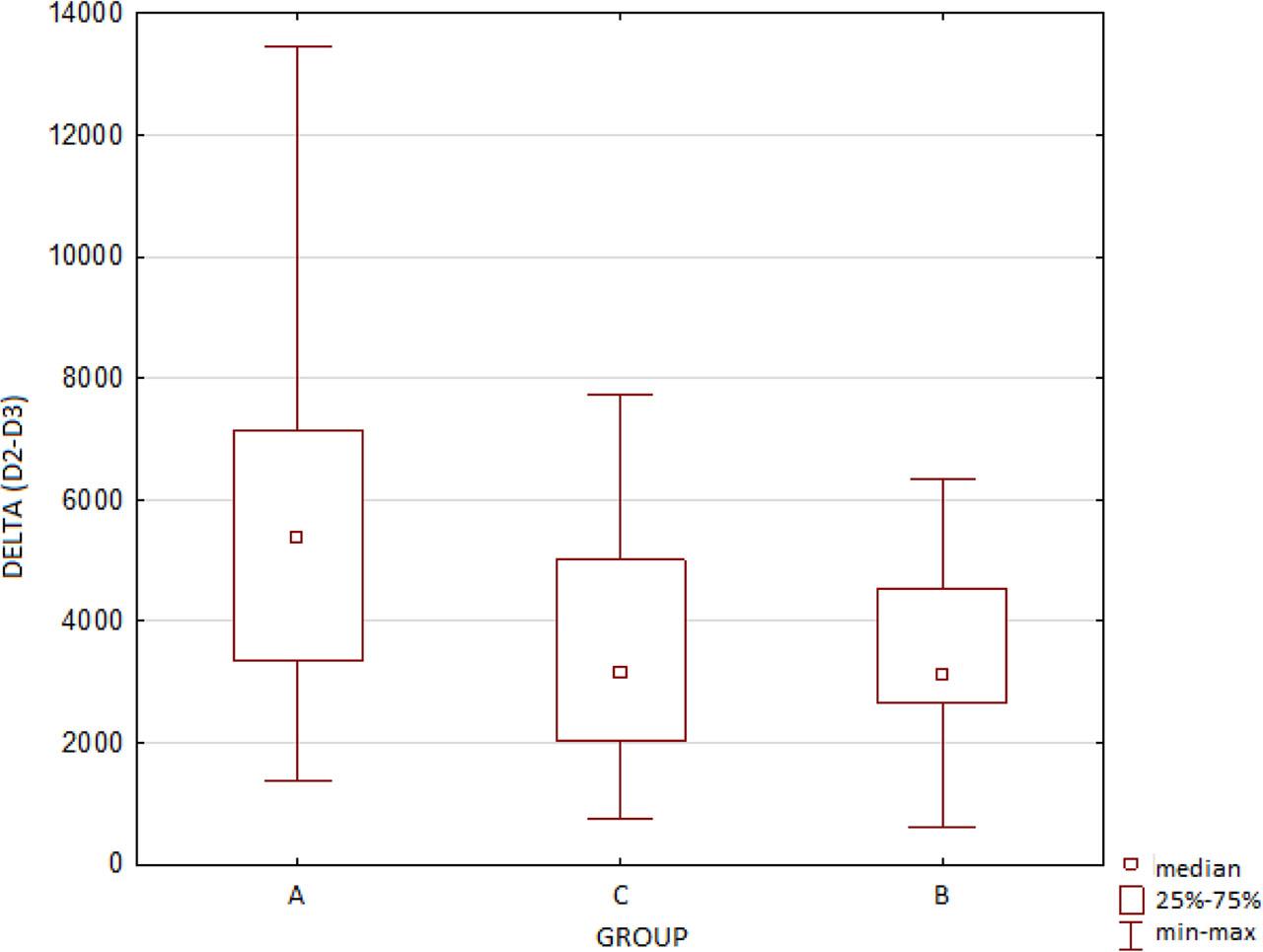
Additionally, we examined the difference (delta) between D2 and D3 (see Table 3 and Figure 4).

Table 3.

Delta (difference) between antibody levels 1 month after vaccination (D2) and 6 months after vaccination (D3); minimal (min), maximal (max), median (Me), IQR, SD (standard deviation), N – number of subjects, total – summary number of participants. P-value was find using Kruskal-Wallis test

groupMean [IU/mL]NSD [IU/mL]Min-max [IU/mL]Me [IQR] [IU/mL]p
A5247.2272566.41383.0–13459.05389.0 [3354.0–7134.0]0.003
C3400.8301811.0756.0–7741.03158.5 [2024.0–5012.0]
B3486.5301461.3614.0–6331.03105.0 [2654.0–4538.0]
total4003.4872126.7614.0–13459.03505.0 [2496.0–5535.0]

Figure 4.

Delta (difference) between antibody levels 1 month after vaccination (D2) and 6 months after vaccination (D3)

Again, we may observe that the important differences lay between groups A vs. B and A vs. C (U Mann–Whitney test A vs. B p = 0.003, U = 221.0; B vs. C p = 0.633, U = 417.0; A vs. C p = 0.003, U = 223.0; Kruskal–Wallis test H = 11.4, p = 0.003). Convalescents group A lost more antibodies in the mentioned period of time than group B or C.

We also asked if the results obtained after the second dose led to any decisions regarding a third dose. Most of the participants were willing to sign in for the third dose in the recommended time (6–12 months after second dose) – A-15; B-21, C-17; in total 53/87 (60.91%), but interestingly many responders decided to make the decision dependent on the recent results: A-11, B-7, C-12, in total 30/87 (34.48%). Only 2 patients planned to wait more than 12 months (A-1, C-1) and other 2 declared to abstain from the third dose (B-2).

4.
Discussion

In our study initial antibody levels dwindle, which is a fact reported by multiple researchers (citations below). It was observed in all 3 study groups. However, the most important drop in the antibody levels 6 months after vaccination was seen in convalescents group A [difference D2–D3 mean 5247.2 IU/mL, min-max 1383.0–13459.0]. The difference result for group B (naive) and C (convalescents with antibody drop after second dose) were similar [delta D2–D3 mean 3486.5 vs. 3400.8 IU/mL; min-max 614.0–6331.0 vs. 756.0–7741.0 respectively]. The final mean antibody levels 6 months after vaccination were: A-2417.1; B-965.4; C-2146.4 IU/mL, meaning the highest decrease of antibodies was observed in the naïve patients group (4.5-fold decrease). In the modeling of Pérez-Alós L. et al. the decline was also more pronounced in those previously non-infected; moreover, similarly they report that natural infections prior to completion of vaccination induced a more robust immune response, but humoral responses following COVID-19 vaccination decreased in all age groups after approximately 6 months [18]. Also in studies focused on RBD-binding IgG antibody levels the constant decrease among vaccinated people is reported and convalescents tend to have higher antibody titers than naïve patients at the beginning of the study, as well as in the final check-up [19].

M. Skorupa et al. describes a partially similar study [20]. They used the same assay as we did. The changes in the level of antibodies were most dynamic during the first 3 months. In the first month after taking the second dose of BNT162b, the level of antibodies increased intensively, followed by a systematic decrease in the concentration of anti-SARS-CoV-2 IgG. Skorupa et al. observed that 6 months after vaccination a group of patients without prior infection had still high antibody titers compared with the rest of vaccinated individuals. The explanation is that they probably had an asymptomatic infection after full vaccination. It was observed that vaccination can diminish the symptoms or lead to asymptomatic infection with SARS-CoV-2.

Luczkowiak J et al. reported 6.3-fold decline in the neutralizing activity in the cohort of vaccinated individuals 8 months earlier with BNT162b2 vaccine, both naïve and convalescents, however, the mean NT50 titer in the convalescents was higher (839 vs 118 GMT) [21]. There was a significant proportion (19%) of naive individuals without detectable neutralization activity after 8 months.

Levin et al., in the prospective large-scale, real-world, longitudinal study among naïve health care workers under observation till 6 months after receipt of the second dose of the BNT162b2 vaccine, reported a decrease of IgG levels against SARS-Cov-2 at a consistent rate but with a significant drop of neutralizing antibody levels during the first 3 months after vaccination [22]. Then the decline was slower. Moreover, neutralizing antibody levels in the sixth month differed between men and women, were lower in men, and also in persons 65 years of age and older.

Also in the large-scale study, through 6 months of follow-up among naive participants of multinational population who got 2 doses of BNT162b2, it was shown that the vaccine was highly effective (86 to 100%) although the efficacy was gradually declining across the continents, countries, races, etc. [23].

We did not observe any Covid-19 within 6 months after vaccination in either group, naïve or convalescent. It cannot be excluded that some individuals were infected asymptomatically, since these infections usually are not characterized by the severe course of the disease, as reported by Singanayagam, Hakki, Dunning, et al. [24]

At first glance, lower antibody results after the second dose in some convalescents may look disappointing or even alarming – the aim of administering the second doses was contrary to the actual result. The further follow-up showed some calming data which we would like to discuss in the light of the latest news on the topic. In our study the antibody levels after the second dose of vaccine were significantly lower in a group of 30/87 individuals (34.48% of convalescents). The immune imprinting concept cannot be excluded as the explanation of our results in the real-life study.

The phenomenon was described for the first time in 1947 in terms of antibody response after subsequent flu infections [25].

This immune imprinting was also noticed before Omicron occurrence in those who were vaccinated against Covid-19 and previous SARS-CoV-2 infection. The magnitude of immune response depended on earlier infection or vaccination. Reynolds et al. reported that after infection and two vaccine shots S1 antibody, memory B cells, heterologous neutralization of B.1.351, P.1, and B.1.617.2 plateaued, but B.1.1.7 neutralization and spike T cell responses increased. [12].

Marzi et al. observed in previously infected individuals that the serum antibody levels reached the highest results after the first shot, and no further increase was seen after the second or the third dose [26]. Moreover, when looking at the avidity of SARS-CoV-2 S- and RBD-specific serum antibodies they found rapid increase of the avidity in naive donors while in infected individuals it was high before vaccination and did not increase over time.

The question is why lower antibody levels affected only a part of the convalescent individuals after the second dose of vaccine. Seasonal coronaviruses are a common reason of many infections among the population observed every year. Did the previous infections with seasonal coronaviruses influence antibody response to SARS-CoV-2 vaccination against Covid-19? Unfortunately, we did not check antibodies against OC43, HKU1, and 229E seasonal coronaviruses. Aydillo T et al. tested humoral response due to SARS-CoV-2 in patients suffering from Covid-19 as well as pre-existing immunity to OC43, HKU1, and 229E seasonal coronaviruses. There was back-boosting effect to conserved regions of OC43 and HKU1 betacoronaviruses spike protein. The authors suggested that this could negatively influence production of IgG and IgM against the SARS-CoV-2 spike and nucleocapsid protein [17].

Our small observation can confirm the idea of immune imprinting. Large studies are needed to analyze the real significance of this phenomenon in the development of future vaccines, not only those directed against Covid-19.

One could expect better protection than this achieved after vaccination with bivalent boosters against Covid-19, which revealed a modest increase of antibody levels (BA.4 and BA.5). The data of immune imprinting are important in terms of future vaccine creation potent against emerging variants of SARS-CoV-2 [27].

In our cohort we observed significant differences in older age in terms of antibody production after COVID-19 (D0), after the first (D1) and second dose (one month after; D2), but later on, after 6 months the age seemed not to remain as an important factor. The are some known reports about weaker immune response after the vaccination and faster antibody waning in older people [28,29].

Also H.S. Yang et al. came to interesting conclusions while comparing a large group of pediatric patients to young adults (1194 pediatric patients [mean (SD) age, 11.0 (5.3) years] and 30,232 adult patients) [30]. Children exhibited higher median (IQR) IgG levels, TAb (total antibody levels), and SNAb (surrogate neutralizing antibody) activity compared with adolescents (e.g., IgG levels: 473 [233–656] RFU vs 191 [82–349] RFU; P < .001) and young adults (e.g., IgG levels: 473 [233–656] RFU vs 85 [38–150] RFU; P < .001). In our study we recruited only adults aged 18 or older.

Opposite to our findings, Szczepanek et al. concluded that anti-SARS-CoV-2 concentrations were correlated only with earlier infection; they did not identify any link between antibody levels, gender, and age [31].

As many authors mentioned above and more, we decided to measure anti-spike IgG levels, as it is a method easily accessible, relatively cheap, and could be widely used not only in study programs but also in real-life everyday clinical practice.

Assuming that patients’ BMI was relatively stable during the months between each blood examination, we can conclude that being overweight (BMI 25.0–29.9) had some important influence on antibody levels produced or remaining months after SARS-CoV-2 infection, causing higher results in comparison with other convalescents.

Obesity is a problem that scientists are concerned with in many fields. Also, regarding humoral response after SARS-CoV-2 infections or vaccination, patients’ weight was a factor of interest. Arwa A. Faizo et al. presented the prevalence of COVID-19 neutralizing antibodies among control (normal BMI) and study (obese with BMI ≥ 30 kg/m2) groups after two doses of the vaccine, showing higher antibody value in control versus the study group [32]. Compared with normal weight group, significantly more people with severe obesity six months after their second vaccine dose, in the study of A. van der Klaauw et al., had, among others, unquantifiable titers of neutralizing antibody against authentic SARS-CoV-2 virus (NAbs) [33]. Although obesity is a well-known factor which may compromise the immune system to some limited level, there are a few reports concerning overweight, such as the one of Qian Zhu et al., who examined individuals with obesity/overweight (BMI >24) and concluded that they had a reduced seropositivity rate of NAbs compared to those with normal BMI; anti-RBD-IgG and NAbs titers in the high BMI group were significantly lower than those in the normal BMI group [34].

Contrary to our findings, in 17 out of 23 studies of a systematic review of epidemiological studies analyzing the effect of smoking on humoral response, the researchers concluded that current smokers showed much lower antibody titers or more rapid lowering of the vaccine-induced IgG compared with nonsmokers [35]. Emerging evidence has described lower antibody levels in response to COVID-19 mRNA vaccine in smokers, irrespective of duration of smoking or number of cigarettes per day [36]. The differences in our study may be partially explained by the fact that the numbers in our study refer mostly to smoking in the past (only 2 active smokers, 18 who quit; 67 who never smoked).

Surprisingly there was evidence of positive influence of influenza vaccine on humoral response to SARS-CoV-2 vaccine. Data published by Poniedziałek et al. showed that the influenza-vaccinated group of patients had significantly higher frequency and titers of anti-N antibodies (75% vs. 66%; mean 559 vs. 520 U/mL) and anti-RBD antibodies (85% vs. 76%; mean 580 vs.540 U/mL) [37]. Our results do not match; however, our group of patients vaccinated against influenza was not sizeable (11/87 patients) and refers to flu vaccination after 2 doses of anti-SARS-CoV-2 shots (while Poniedziałek et al. examined patients vaccinated against flu in the 2019/2020 season).

5.
Conclusions

Independently of previous differences due to antibody levels both in naïve and convalescent individuals, none of the patients suffered from symptomatic SARS-CoV-2 infection within 6 months after vaccination.

Temporary decrease of antibody levels in convalescents after the second dose of SARS-CoV-2 vaccination did not imply further consequences in the form of important antibody level differences 6 months after vaccination.

Further investigation concerning immune response differences in terms of immune imprinting should be performed in large groups of patients vaccinated and infected with subsequent viral variants.

Patients’ overweight could have an impact on antibody productions but only after natural infection; it did not affect obtained results after vaccinations.

6.
Limitations

This stage of the study takes ended shortly before the Omicron variant spread in Poland and rest of Europe.

During the study, the patients were not tested for SARS-CoV-2 infection between the blood sampling, therefore one may not exclude that asymptomatic infections occurred.

Small study group can influence the results.

Language: English
Page range: 143 - 153
Submitted on: Oct 14, 2022
Accepted on: Mar 21, 2023
Published on: Dec 28, 2023
Published by: Hirszfeld Institute of Immunology and Experimental Therapy
In partnership with: Paradigm Publishing Services
Publication frequency: 1 issue per year

© 2023 Monika Stępień, Małgorzata Zalewska, Amadeusz Kuźniarski, Beata Jankowska-Polańska, Agnieszka Piwowar, Natalia Świątoniowska-Lonc, Brygida Knysz, published by Hirszfeld Institute of Immunology and Experimental Therapy
This work is licensed under the Creative Commons Attribution-NonCommercial-NoDerivatives 4.0 License.