Have a personal or library account? Click to login
Biomedyczne właściwości chitozanu – zastosowanie w inżynierii tkankowej Biomedical properties of chitosan: Application in tissue engineering Cover

Biomedyczne właściwości chitozanu – zastosowanie w inżynierii tkankowej Biomedical properties of chitosan: Application in tissue engineering

Open Access
|Feb 2022

Full Article

Inżynieria tkankowa jako nowoczesna metoda terapii w medycynie

Utrata ciągłości tkanek oraz uszkodzenie narządów występuje coraz liczniej w populacjach ludzkich na całym świecie. Postęp nauk medycznych z szybko rozwijającą się medycyną regeneracyjną umożliwia skuteczne leczenie pacjentów wymagających przeszczepu narządów lub tkanek. Komórki autologiczne mogą być hodowane w optymalnych warunkach in vitro, a następnie wprowadzane z powrotem do organizmu ludzkiego. Taka procedura nie wymaga konieczności oczekiwania na dawcę z odpowiednią zgodnością genetyczną, a także zwiększa komfort pacjentów i skraca okres ich leczenia [1, 2].

Inżynieria tkankowa to interdyscyplinarna dziedzina badań, która stosuje zasady inżynierii i nauk przyrodniczych do rozwoju substytutów biologicznych, przywracając, utrzymując lub poprawiając funkcje tkanek. Łączy medycynę kliniczną, inżynierię mechaniczną, materiałoznawstwo i biologię molekularną. Wykorzystuje materiały biomimetyczne, tzw. rusztowania 3D, które mają zapewnić odpowiednie środowisko nowej, rozwijającej się tkanki. Rusztowania, dzięki odpowiednio porowatej strukturze, umożliwiają adhezję komórek, proliferację i osadzanie macierzy zewnątrzkomórkowej (ECM) aż do całkowitego przywrócenia nowej tkanki [3, 4].

Biorusztowania powinny zapewniać przepływ fizycznych i biochemicznych szlaków sygnalizacyjnych, naśladując architekturę natywnej macierzy zewnątrzkomórkowej (ECM), do instruowania komórek progenitorowych i regeneracji tkanki funkcjonalnej [5]. Często biorusztowania łączy się z komórkami i cząsteczkami sygnałowymi lub czynnikami wzrostu, które są głównymi elementami w inżynierii tkankowej. W latach 80. XX w. powstała pierwsza definicja biomateriału, określano nim ,,każdą substancję inną niż lek lub kombinację substancji syntetycznych lub naturalnych, które mogą być stosowane przez dowolny okres czasu, jako całość lub jako część układu, który leczy, uzupełnia lub zastępuje dowolną tkankę, narząd lub funkcję organizmu”. Inżynieria tkankowa, która jest najnowszą dziedziną badań interdyscyplinarnych, wykorzystuje wiedzę z zakresu inżynierii materiałowej do tworzenia nowych funkcjonalnych biomateriałów, które mogłyby działać jako rusztowanie nowej tkanki [6, 7].

Polimery naturalne stosowane w inżynierii tkankowej – chitozan

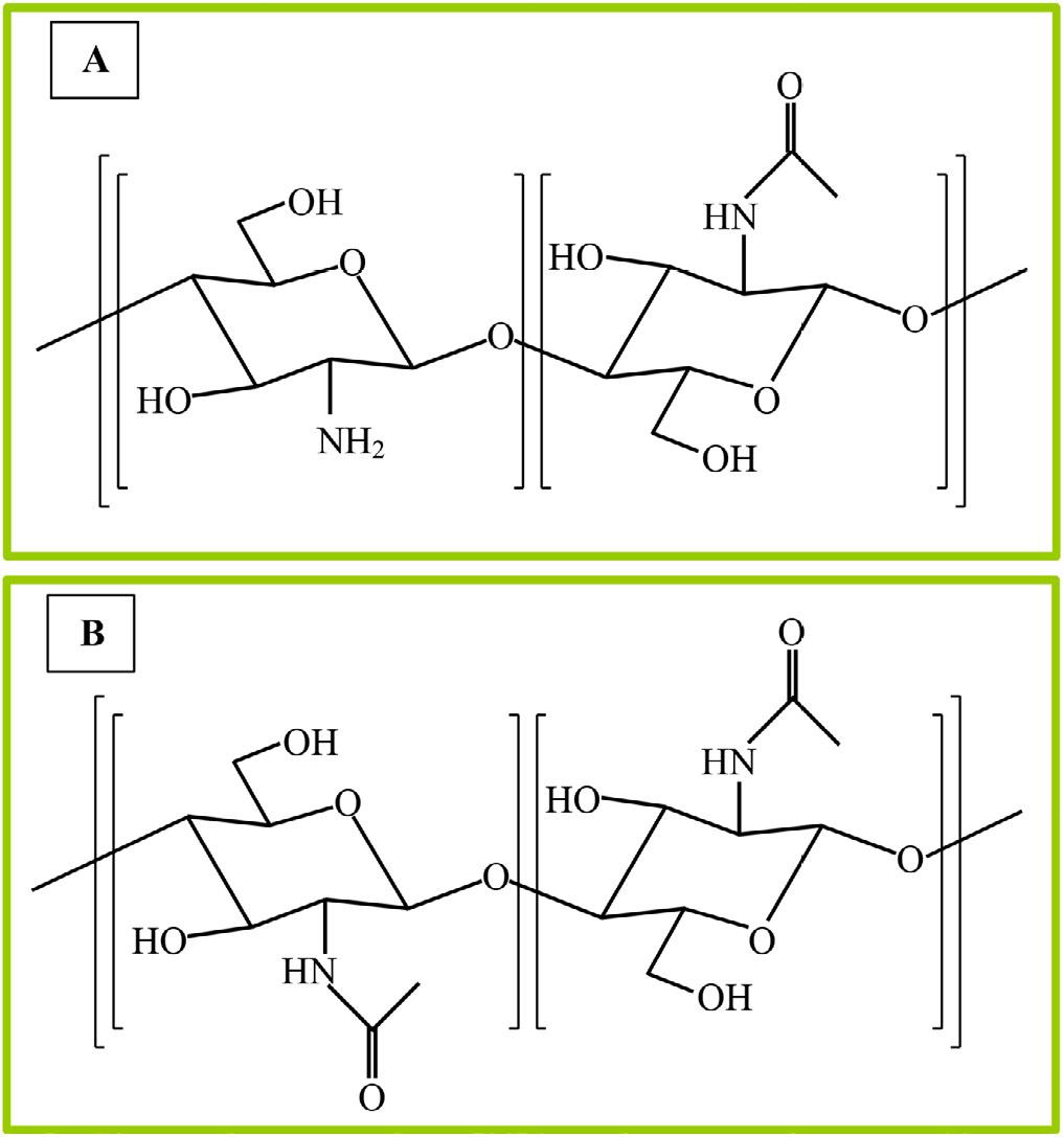
Chitozan jest liniowym, półkrystalicznym polisacharydem złożonym z (1→4)-2-acetamido-2-deoksy-β-D-glukanu (N-acetylo D-glukozaminy) i (1→4)-2-amino-2 jednostki-deoksy-β-D-glukan (D-glukozamina). Nie występuje powszechnie w środowisku, można go jednak łatwo uzyskać w wyniku częściowej deacetylacji naturalnego polimeru – chityny pozyskiwanej głównie z egzoszkieletu skorupiaków [8]. Stopień deacetylacji (DD) chitozanu jest bardzo ważnym parametrem i wskazuje liczbę grup aminowych wzdłużłańcuchów makrocząsteczki, a oblicza się go jako stosunek: D-glukozamina do sumy D-glukozaminy i N-acetylo-D-glukozaminy. Deacetylowana chityna powinna zawierać co najmniej 60% reszt D-glukozaminy, aby mogła być uznana za chitozan [9]; ryc. 1 przedstawia różnicę w budowie cząsteczkowej chityny i chitozanu. Chityna jest słabo rozpuszczalnym związkiem, dlatego też jej praktyczne zastosowania są ograniczone, ale grupy aminowe reszt chitozanu D-glukozaminy mogą być protonowane i są rozpuszczalne w rozcieńczonych kwaśnych roztworach wodnych (pH<6) [10]. Po celulozie chityna jest drugim, najliczniej występującym biopolimerem i powszechnie spotykanym u bezkręgowców – w pancerzach skorupiaków morskich oraz owadów, ale także w niektórych ścianach komórkowych grzybów, komórek zielonych alg i w drożdżach [11].

Chitozan zajmuje wysoką pozycję wśród innych biomateriałów przede wszystkim ze względu na szeroki zakres występowania oraz unikatowe właściwości, m.in. biodegradowalność, biozgodność, nietoksyczność, hydrofilowość oraz właściwości przeciwbakteryjne i przeciwgrzybicze. Obecność wiązańβ-(1,4) glikozydowych między D-glukozaminą i N-acetylo-D-glukozaminą w chitozanie umożliwia jego modyfikacje chemiczne i zmiany właściwości użytkowych. Degradacja chitozanu prowadzi do rozpadu na nieszkodliwe związki, które mogą być całkowicie wchłaniane przez komórki żywe. Dlatego wszystko to sprawia, że chitozan jest bardzo obiecującym związkiem, możliwym do wykorzystania na szeroką skalę w biomedycynie, m.in. jako nośnik leków, nici chirurgiczne, materiały opatrunkowe przyspieszające gojenie się ran oraz tworzące rusztowania komórkowe w inżynierii tkankowej [10].

Rycina 1.

Chemiczna struktura: (A) chitozanu, (B) chityny
Potencjał chitozanu w zastosowaniach nowo-czesnych metod inżynierii tkankowej, w tym zdolność chitozanu do modulacji biologicznej

Polimery naturalne ze względu na biokompatybilność są dobrym materiałem do zastosowań w inżynierii tkankowej. Dzięki biozgodności i nietoksyczności mogą naśladować strukturę tkanki ludzkiej. W ciągu ostatnich dwóch dekad wzrosło zapotrzebowanie na naturalne materiały bioaktywne, gdyż nie wykazują toksyczności i są bezpieczniejsze w użytkowaniu niż polimery syntetyczne. Dużym zainteresowaniem w naprawie i regeneracji uszkodzonej tkanki cieszą się: chitozan, kolagen, żelatyna, alginian, fibroina, hydroksyapatyt czy kwas hialuronowy [12]. Ze względu na unikalne właściwości i dostępność chitozan był szeroko badany jako potencjalny materiał bioaktywny i stał się obiecującym materiałem w inżynierii tkankowej [10].

Najważniejsze dziedziny inżynierii tkankowej wykorzystującej chitozan do wytwarzania biomateriałów to inżynieria tkanki chrzęstnej i kostnej, tkanki naczyń krwionośnych, regeneracja rogówki, tkanki skórnej czy inżynieria tkanek przyzębia [13]. W celu zwiększenia wytrzymałości mechanicznej i rozbudowy struktury wewnętrznej biomateriałów opartych na chitozanie dodawano m.in.: jedwab, alginian, PLA, HA oraz bioaktywne nanomateriały, takie jak hydroksyapatyt, SiO2, TiO2, ZrO2 itp. [14].

Obecność protonowalnej grupy aminowej wzdłuż reszt D-glukozaminy wyjaśnia większość biologicznych właściwości chitozanu. W środowisku kwaśnym chitozanowe grupy aminowe są naładowane dodatnio, więc mogą oddziaływać z ujemnie naładowanymi błonami komórkowymi (działanie hemostatyczne, mukoadhezyjne, przeciwbakteryjne i przeciwgrzybicze). Wraz ze wzrostem stopnia deacetylacji chitozanu zwiększa się liczba ładunków dodatnich [15]. Dzięki polikationowej naturze chitozanu możliwe jest również jego działanie przeciwbólowe. W tkance dotkniętej stanem zapalnym uwalniane są jony protonowe.

W obecności chitozanu mogą one być wchłaniane przez znajdujące się w cząsteczce tego polimeru grupy aminowe reszt D-glukozaminy, co powoduje zmniejszenie reakcji bólowej [16]. Chitozan jako polisacharyd, który zawiera wiązania glikozydowe, jest rozkładany in vivo przez proteazy, głównie przez lizozym. Ze względu na obecność wiązańβ (1-4) może być z łatwością depolimeryzowany w procesie hydrolizy enzymatycznej, w której pośredniczą różne hydrolazy (m.in. lizozymy, pektynazy, celulazy, hemicelulazy, lipazy i amylazy). Biodegradacja chitozanu prowadzi do otrzymania nietoksycznych oligosacharydów lub monosacharydów, które są zdolne do włączania się w szlaki metaboliczne i ostatecznie mogą być wydalane z organizmu [17]. Ponieważ chitozan wykazuje biokompatybilność, został zatwierdzony przez Agencję Żywności i Leków (Food and Drug Administration; FDA) do zastosowań w opatrunkach na trudno gojące się rany i jest odpowiednim materiałem do konstruowania biorusztowań wykorzystywanych do rekonstrukcji narządów oraz tkanek ludzkich. Polimer ten spełnia najważniejsze kryteria stawiane biomateriałom, jakimi są m.in. kompatybilność, odpowiednie właściwości mechaniczne, morfologia i porowatość, nietoksyczność i biodegradowalność. Biorusztowania wykonane z chitozanu mogą sprzyjać adhezji komórek do powierzchni, ich różnicowaniu i proliferacji [18]. Z chitozanu możliwe jest wytwarzanie różnych form użytkowych, np. hydrożeli, mikrokapsuł, błon, gąbek, rurek, nanowłókien czy też porowatych struktur, które mogą być stosowane przy konstrukcji specyficznych rusztowań tkankowych, przeznaczonych do różnych celów regeneracyjnych [19, 20]. Porowata struktura, jaką można wytworzyć z chitozanu, umożliwia namnażanie komórek, migrację i wymianę składników odżywczych i jest korzystna w procesie angiogenezy, niezbędnej przy wspieraniu przeżycia i funkcji regenerowanej tkanki miękkiej. Chitozan przypomina strukturę glikozaminoglikanów (GAG), dlatego też może naśladować GAG w regulacji i modulowaniu wielu czynników bioaktywnych [21].

Stymulacja komórkowa

Liczne badania wykazały zdolnośćmateriałów chitozanowych do utrzymywania i indukowania fenotypów komórkowych, a chitozan promował różnicowanie hodowanych komórek. Prowadzenie hodowli, m.in.: melanocytów, keratynocytów, komórek nabłonkowych pochodzących z dróg oddechowych czy astrocytów w obecności chitozanu pozwalało uzyskać charakterystyczne cechy fenotypowe dla hodowanych linii komórek. Wykazano, że materiały na bazie chityny były również zdolne do utrzymania macierzystości i indukowania różnicowania wielu komórek progenitorowych, zachowując ich cechy fenotypowe [22]. W przypadku komórek więzadła krzyżowego przedniego (ACL) możliwe jest indukowanie funkcji komórek za pomocą chitozanu. Dotychczas przeprowadzone badania wykazały duży wpływ tego biopolimeru na wzrost chondrocytów. Zastosowanie rusztowań na bazie chitozanu i polikaprolaktonu (PCL) spowodowało zwiększenie ekspresji genu swoistego dla gojenia się ran i syntezy kolagenu (TGF-β1). Stwierdzono, że na takim rusztowaniu skutecznej regulacji podlega morfologia (komórki miały dobrze rozwinięty i zorganizowany cytoszkielet), żywotność (komórki wykazywały zwiększoną zdolność do proliferacji), a także ekspresja genów ludzkich komórek ACL (wykazywały wyższy poziom ekspresji mRNA TGF-β1 i kolagenu typu III już w ciągu trzydniowej hodowli). Podobnie chitozan promował różnicowanie komórek nabłonkowych błony śluzowej pochodzących z dróg oddechowych [23, 24]. Komórki macierzyste hodowane razem z komórkami śródbłonka na rusztowaniach chitozanowych wykazywały aktywność adhezyjną i migrację komórek. Głównymi czynnikami sprzyjającymi temu zjawisku są jonowe interakcje między rusztowaniem chitozanowym a składnikami komórek oraz zdolność chitozanu do regulacji aktywności czynników wzrostu i cytokin wewnątrz rusztowania tkankowego. Migracja i adhezja komórek do podłoża jest możliwa również dzięki dużej porowatości chitozanu. Według dotychczas przeprowadzonych badań chitozan wykazuje potencjał w rozwoju rusztowań tkankowoswoistych do regulacji fenotypu komórkowego [25].

Regulacja cząstek biologicznych

Chitozan może modulować funkcje różnych aktywnych biocząsteczek przez oddziaływanie elektrostatyczne i hydrofobowe. Badania wykazały zwiększoną aktywność m.in. nabłonkowych czynników morfogenetycznych: czynnika wzrostu fibroblastów 7 (FGF7), czynnika wzrostu fibroblastów 10 (FGF10) i czynnika wzrostu hepatocytów (HGF) w obecności chitozanu. Czynniki te promowały swoistą morfogenezę nabłonkową, jak również dużą aktywność proliferacyjną oraz chemotaktyczną. Chitozan może chronić czynniki wzrostu fibroblastów przed inaktywacją, przedłużając ich działanie. Materiały na bazie chityny mogą pobudzać funkcje czynników bioaktywnych, podstawowych w tworzeniu tkanek, dlatego też mogą być z sukcesem wykorzystane w tworzeniu wielofunkcyjnych rusztowań [26, 27, 28].

Wytwarzanie i osadzanie macierzy zewnątrzkomórkowej (ECM)

Do przeżycia komórek oraz organizacji i genezy tkanek wymagane jest jednoczesne wytwarzanie i osadzanie ECM swoistych dla tkanek. Dlatego biomateriały, takie jak chitozan, stosowane do regeneracji tkanek powinny modulować komórki wytwarzające ECM. Materiały na bazie chityny wykorzystywane do procesu gojenia się ran indukowały tworzenie włókien kolagenu, co było zauważone, jako znaczna synteza kolagenu typu I, III i IV w implantach wykonanych z materiałów na bazie chityny. Wynika z tego, że wytwarzanie ECM przez hodowane komórki może być regulowane przez rusztowania chitozanowe [29, 30]. Udowodniono także ich działanie na inne elementy ECM, wymagane do regeneracji tkanek. Przykładem mogą być hodowle ludzkich fibroblastów żylnych na rusztowaniu chitynowym, które przyczyniło się do zwiększonej zawartości glikozaminoglikanów (GAG) po hodowli. GAG służy również jako rezerwuar niezbędnych czynników bioaktywnych i łącząc się z białkami, tworzy proteoglikany. Materiały na bazie chityny pomagają zaszczepionym komórkom w regeneracji tkanek, odgrywając rolę w regulowaniu syntezy głównych elementów ECM, dlatego też mogą być wykorzystane w inżynierii nabłonkowej i tkanek miękkich [21, 31, 32].

Chitozan stosowany w inżynierii tkankowej

Wymagania stawiane rusztowaniom wykorzystywanym w inżynierii tkankowej obejmują przede wszystkim kompatybilność i zgodność z organizmem ludzkim, nietoksyczność i biodegradowalność, a także brak reakcji uczulających i zapalnych. Podczas produkcji wszczepianych rusztowań należy zwrócić również uwagę na odpowiednie właściwości mechaniczne, morfologię i porowatość rusztowań oraz zdolność gojenia i odnowy tkanek. Chitozan spełnia te wymogi i może zastąpić brakujące lub uszkodzone tkanki oraz narządy, a także umożliwić adhezję i proliferację komórek [2, 33, 34]. Aby dostosować właściwości rusztowania do wymagań chorej tkanki, chitozan musi zostać poddany odpowiednim procesom fizycznym i chemicznym. Można wytworzyć z niego różne formy użytkowe w zależności od potrzeb i wymagań, m.in. hydrożele 3D, gąbki 3D, filmy i membrany oraz nanowłókna [9].

Hydrożele 3D

Zwykle mniej niż 10% całkowitej objętości żelu to faza stała, pozostała część to faza ciekła. Fazą ciekłą w hydrożelach jest najczęściej woda (a czasem adiuwanty). Dzięki fazie stałej, która zapewnia konsystencję żelu, mogą wchłonąć znaczne ilości wody, pozostając nierozpuszczalnymi w fazie ciekłej. Z powodu dużej zawartości wody hydrożele są ważnymi biomateriałami kompatybilnymi z większością tkanek. Są miękkie i podatne na zginanie, a ich właściwości mechaniczne są tożsame z właściwościami tkanek miękkich. Dlatego hydrożele są często stosowane jako rusztowania biomedyczne [35]. Chitozan może być albo fizycznie powiązany/skoordynowany z jonami metali, albo nieodwracalnie/chemicznie sieciowany w hydrożele, które wykazują odwracalne lub nieodwracalne żelowanie [36].

Fizycznie powiązane hydrożele chitozanowe

Odwracalne oddziaływania, które mogą zachodzić między łańcuchami polimerów, prowadzą do tworzenia ,,fizycznych” hydrożeli. Oddziaływania mają charakter niekowalencyjny, elektrostatyczny, hydrofobowy lub też są wiązaniami wodorowymi i mogą zależeć od takich parametrów jak: pH, stężenie i temperatura. Z tego powodu nie są wystarczająco stabilne i wykazują odwracalne żelowanie. Im mniej interakcji zachodzi, tym żel jest bardziej miękki, a im większa liczba interakcji, tym jest mocniejszy i sztywniejszy. Chitozan może utworzyć żel, a proces ten polega na neutralizacji jego grup aminowych i hamowaniu odpychania między łańcuchami chitozanu. Hydrożel tworzy się przez wiązania wodorowe i oddziaływania hydrofobowe [37]. Hydrożele chitozanu można również tworzyć przez zmieszanie chitozanu z innymi polimerami niejonowymi, rozpuszczalnymi w wodzie, np. poli- (alkohol winylowy) (PVA). Zmieszanie chitozanu z solami poliolowymi, takimi jak sól disodowa fosforanu glicerolu, powoduje powstanie termowrażliwych hydrożeli chitozanu. Szczepiony kopolimer chitozan-PEG może ulegać samoorganizacji w zależności od temperatury, tworząc stabilne hydrożele. Dzięki polikationowemu charakterowi chitozanu w warunkach kwasowych, możliwe jest tworzenie hydrożeli przez oddziaływania elektrostatyczne z udziałem polianionów, ale także polielektrolitów. Dodatnio naładowany chitozan będzie również tworzył żele z ujemnie naładowanymi cząsteczkami (jony fosforanowe, siarczanowe i cytrynianowe) [38, 39].

Przygotowanie jonowych hydrożeli chitozanowych umożliwia pominięcie katalizatora lub toksycznego reagenta, które są substratami niepożądanymi przy tworzeniu biorusztowań. Dzięki łatwości żelowania chitozanu bez konieczności stosowania toksycznych dodatków opracowano roztwory, które wykazują przejście zolu/żelu po wstrzyknięciu do organizmu. Dzięki temu rozwiązaniu można kształtowaćżel w obrębie chorej tkanki jako rusztowanie dla komórek. Niestety wytrzymałość mechaniczna hydrożeli fizycznych jest dość ograniczona i trudno jest dokładnie kontrolować wielkość ich porów. Dlatego opracowane zostały również metody nieodwracalnego chemicznego sieciowania hydrożeli [40].

Chemicznie usieciowane hydrożele chitozanowe

Chemiczne sieciowanie hydrożeli odbywa się przez kowalencyjne wiązanie między łańcuchami polimerowymi i jest nieodwracalne, ale otrzymuje się znacznie stabilniejszą formę. Ta metoda może jednak zmieniać początkowe właściwości chitozanu, szczególnie jeśli w reakcję zaangażowane są grupy aminowe oraz może być źródłem zanieczyszczenia toksycznymi resztkowymi reagentami lub śladowymi ilościami katalizatora. Grupa – aminowa i hydroksylowa chitozanu mogą tworzyć różne wiązania, np. amidowe czy estrowe, a to może powodować tworzenie hydrożeli [41, 42]. Sieciowanie chitozanu następuje w reakcji fotoindukowanej lub w reakcjach katalizowanych enzymatycznie. Zastosowanie dialdehydowych środków sieciujących, takich jak glioksal i aldehyd glutarowy, umożliwia otrzymanie hydrożeli nieodwracalnych, dzięki reakcji z grupami aminowymi jednostek D-glukozaminy i grupami hydroksylowymi chitozanu [43, 44]. Jako środki sieciujące stosowane są także: tripolifosforan, glikol etylenowy, eter diglicydylowy i di-izocyjanian, jednak wszystkie wyżej wymienione środki mogą nadawać toksyczność utworzonym hydrożelom, która wyklucza te materiały do wykorzystania w medycynie. Należy podkreślić również, że chemiczne sieciowanie chitozanu, przez modyfikacje pierwszorzędowej aminy chitozanowej, może zmieniać właściwości i aktywność biologiczną chitozanu [45].

Gąbki 3D

Gąbki to stałe struktury o dużej porowatości, które mogą wchłonąć znaczną ilość płynów (nawet 20-krotność ich suchej masy). Otrzymuje się je głównie przez liofilizację. W inżynierii tkanek wykorzystywane są dzięki dobrej interakcji z komórkami, zachowując miękkość i elastyczność [46]. Dzięki dobrej chłonności gąbki chitozanowe wykorzystywane są jako materiały opatrunkowe mogące wchłaniać wysięk rany, przyspieszając regenerację tkanek. W inżynierii kostnej gąbki chitozanowe znajdują zastosowanie jako materiał wypełniający ubytki kostne. Przykładem mogą być gąbki chitozanowo-kolagenowe wykorzystywane jako rusztowania do regeneracji kości [47, 48]. Gąbki kompozytowe chitozan-ZnO bardzo dobrze pęcznieją, są aktywne przeciwbakteryjnie i hemostatycznie w procesie gojenia i opatrywania ran. W celu polepszenia właściwości przeciwbakteryjnych opatrunków chitozanowych stosowano również dodatki antybiotyków, dzięki którym proces gojenia ran był szybszy, a ryzyko zakażeń zminimalizowane [49].

Filmy 2D

Folie chitozanowe można wytworzyć z roztworów soli chitozanu, które wylewa się na specjalnie przygotowaną gładką powierzchnię odlewniczą, a następnie suszy, zwykle w piecu lub w podczerwieni (IR). Przykładem komercyjnie dostępnego filmu chitozanowego jest bandaż HemCon® – preparat octanu chitozanu, który stosowany jest jako opatrunek hemostatyczny [50]. Aby poprawić właściwości użytkowe filmów chitozanowych, stosuje się różne techniki. Obróbka błon chitozanowych plazmą azotową lub argonową zwiększa szorstkość powierzchni błony i poprawia adhezję oraz proliferację komórek. Ozon lub promieniowanie UV powoduje depolimeryzację chitozanu. Wprowadzenie cząstek krzemionki lub poliglikolu etylenowego do folii chitozanowych umożliwia modyfikowanie ich porowatości na poziomie makro-i mikroporów [51, 52, 53]. W celu polepszenia ciągliwości folii, chitozan polimeryzuje z poliglikolem etylenowym (PEG) [54]. Amidacja filmów chitozanowych prowadzi do ich wzmocnienia przez zmniejszenie rozpuszczalności w środowisku wodnym [55]. Dodatek skrobi dialdehydowej czy glikolu polietylenowego poprawia właściwości mechaniczne i pęcznienie w wodzie [56]. Fosforylowane filmy chitozanowe otrzymane z reakcji kwasu ortofosforowego i mocznika w DMF wykazują lepszą przewodność jonową niż filmy chitozanowe otrzymywane metodami standardowymi. Dodatek chlorowodorku minocykliny poprawia właściwości regeneracyjne folii chitozanowych, wykorzystywanych jako opatrunki przyspieszające gojenie oparzeń [57, 58]. Chemiczna modyfikacja filmu chitozanowego może regulować jego właściwości powierzchniowe, takie jak zwiększona hydrofobowość czy zdolności adsorpcyjne cząsteczek białkowych. Przeprowadzenie reakcji błon chitozanowych z bezwodnikiem bursztynowym lub bezwodnikiem ftalowym zwiększało warstwowość sprzyjającąadsorpcji lizozymu. W celu poprawienia właściwości przeciwbakteryjnych możliwe jest również włączenie cząstek nieorganicznych do folii, np. nanocząsteczek srebra lub ZnO, które są nietoksyczne, działają przeciwbakteryjnie oraz fotokatalitycznie. Tak zmodyfikowane folie są często stosowane w dostępnych na rynku opatrunkach na rany [59, 60].

Porowate membrany 2D z nanowłókien

Włókna chitozanowe po raz pierwszy wytworzono już w 1926 r., powstawały dzięki zastosowaniu metody przędzenia na sucho i na mokro z roztworu kwasu octowego. Stosowano także chlorek litu/-N,N-dimetyloacetamid jako rozpuszczalnik [61, 62]. Aby zmniejszyć koszty produkcji i poprawić właściwości włókien, stosowano także mieszanki chitozanu z innymi polimerami, m.in. z: alginianem sodu, tropokolagenem, celulozą, hialuronianem sodu, heparyną sodową, siarczanem chondroityny sodu czy też z polikwasem akrylowym [63, 64]. Nowszą i bardziej wszechstronną techniką otrzymywania włókien polimerowych stało się w ostatnich latach elektroprzędzenie (ESP), dzięki któremu można otrzymać włókna o średnicy od kilku nanometrów do mikronów, w zależności od warunków przetwarzania. Technika ta wykorzystuje wysokie napięcie do wytworzenia strumienia roztworu lub stopu polimeru o naładowaniu elektrycznym. Otrzymane włókna nadają rusztowaniom dużą porowatość i mogą naśladować naturalną macierz zewnątrzkomórkową. Dlatego też nanowłókna chitozanowe znajdują wiele zastosowań w opracowaniu opatrunków na rany oraz w inżynierii tkankowej jako biorusztowania [9]. Ze względu na to, że w środowisku kwaśnym chitozan jest polielektrolitem, jego elektroprzędzenie staje się problematyczne. W wyniku przyłożenia pola elektrycznego w szkielecie polimerowym powstają siły odpychające, co ogranicza powstawanie ciągłych włókien. Najłatwiejszym sposobem wytwarzania nanowłókien chitozanu jest jego elektroprzędzenie z dodatkiem innego polimeru, co znacząco wpływa również na poprawę właściwości uzyskanych włókien (właściwości mechanicznych, biokompatybilności i działania przeciwbakteryjnego) [65]. Częstym przykładem takiego podejścia jest stosowanie politlenku etylenu, polialkoholu winylowego (PVA), politereftalanu etylenu (PET), poliwinylopirolidonu (PVP) i polikwasu mlekowego (PLA). Uzyskanie struktury włóknistej z chitozanu sprzyja adhezji komórek, przy jednoczesnym zachowaniu ich morfologii i żywotności. Nanowłókna chitozan/PVA są często stosowane w inżynierii tkankowej, ponieważ są biokompatybilne, a nanowłókna chitozan/PET mają dobre właściwości przeciwbakteryjne. Rusztowania z elektroprzędzonych nanowłókien chitozanowych są zatem obiecującym biomateriałem do szerokich zastosowań w medycynie regeneracyjnej i inżynierii tkankowej [66].

Możliwości wykorzystania chitozanu w różnych gałęziach medycyny regeneracyjnej

Chitozan należy do licznej grupy biopolimerów i wciąż zyskuje dużą popularność wśród naukowców na całym świecie. Ze względu na unikatowe cechy stał się w ostatnich latach cennym dla inżynierii tkankowej i medycyny regeneracyjnej biomateriałem do wielu zastosowań. Jest bardzo konkurencyjny dla dotychczas stosowanych rozwiązań, głównie dzięki możliwości jego pozyskiwania na dużą skalę i niskim kosztom, a także cennym właściwościom fizykochemicznym i biologicznym. Jego dodatnio naładowane i reaktywne grupy funkcyjne umożliwiają tworzenie kompleksów z anionowymi polimerami, w tym także z białkami, co wpływa w dużej mierze na zdolność regulacji aktywności komórkowej. Poza tym chitozan jest biokompatybilny, hemokompatybilny i nieimmunogenny. W ustroju ulega rozkładowi do nietoksycznych oligosacharydów w wyniku działania lizozymów i ma silne właściwości przeciwbakteryjne [67]. Liczne badania na biomateriałach chitozanowych potwierdziły brak wywoływania reakcji zapalnych i alergicznych w organizmie ludzkim po wszczepieniu, wstrzyknięciu, zastosowaniu miejscowym lub spożyciu. Chitozan ma właściwości stymulacji procesu gojenia się ran oraz regeneracji tkanek miękkich i twardych. Wadą biomateriałów chitozanowych jest niewielka wytrzymałość mechaniczna. Jednak można to rozwiązać przez wprowadzenie do stosowanych biorusztowań materiałów nieorganicznych, które będą je wzmacniać. Dzięki takiemu podejściu materiał hybrydowy ma również ulepszone właściwości biologiczne. Często stosowane związki nieorganiczne, np.: węglan wapnia, fosforan wapnia i krzemionka, sprawdziły się w roli kompozytu do rusztowań chitozanowych. Rozwiązaniem mogą być także dodatki innych polimerów. Rusztowania chitozanowe znajdują zastosowanie w regeneracji tkanek skóry, wątroby, kości i tkanki chrzęstnej, tkanki serca, tkanki rogówki i tkanki naczyniowej [2]. Możliwości wykorzystania chitozanu w różnych gałęziach medycyny regeneracyjnej przedstawiono schematycznie na ryc. 2.

Inżynieria tkanki chrzęstnej

Stworzenie rusztowania do regeneracji kości oraz chrząstki musi spełniać warunki biokompatybilności i biodegradowalności, jak również wykazywać bardzo ważne właściwości mechaniczne i porowatość struktury. Taka powierzchnia wewnętrzna gwarantuje szybkie tempo namnażania i różnicowania komórek w wyspecjalizowane osteocyty i chondrocyty. Czasami nie jest możliwe przygotowanie biomateriału o takich cechach z użyciem tylko jednego polimeru. Dlatego powstają rusztowania kompozytowe lub hybrydowe [68]. Leczenie i regeneracja uszkodzeń tkanki chrzęstnej jest trudna ze względu na specyfikę komórek. Ten typ tkanek jest pozbawiony naczyń, ma złożoną strukturę i cechuje się dużą niejednorodnością [10]. Chitozan był stosowany w inżynierii tkankowej chrząstki dzięki szerokiemu zakresowi możliwości modyfikacji jego struktury i formy. Był używany, m.in. w postaci włókna, gąbki i hydrożelu. Ważnym aspektem kwalifikującym ten polimer do wykorzystania w ubytkach tkanki chrzestnej jest jego powinowactwo do GAG [69]. Chitozan jako naturalny materiał o podobieństwie strukturalnym do siarczanowanych glikozoaminoglikanów zapewnia stabilne mikrośrodowisko do proliferacji chondrocytów i syntezy ECM, powodując chondrogenną i swoistą ekspresję białka chrząstki. Biorusztowania na bazie chitozanu są często stosowane w uszkodzeniach tkanki chrzęstnej, ponieważ ich trójwymiarowa struktura spełnia ważne wymagania stawiane prawidłowej proliferacji chondrocytów [68]. Dla poprawy właściwości mechanicznych i funkcji biologicznych tworzy się biorusztowania kompozytowe/hybrydowe. W tym celu chitozan może zostać połączony z innymi naturalnymi polimerami (kolagen, kwas hialuronowy, fibroina, jedwab), polimerami syntetycznymi (polikaprolakton, kwas polimlekowy i poli (tlenek etylenu)), a także z bioceramikami (fosforan wapnia, polifosforan wapnia lub hydroksyapatyt). Takie materiały kompozytowe lub hybrydowe wspomagają utrzymanie niezbędnych właściwości mechanicznych, odpowiednie środowisko do odkładania macierzy pozakomórkowej, żywotność komórek i ich różnicowanie oraz odpowiednią biokompatybilność w celu indukowania regeneracji kości i tkanki chrzęstnej [70].

Rycina 2.

Możliwości wykorzystania chitozanu w różnych gałęziach medycyny regeneracyjnej
Inżynieria tkanki kostnej

Osteogeneza to proces, w którym komórki osteoblastów namnażają się z komórek mezenchymalnych i osadzają swoją macierz zewnątrzkomórkową, aby w końcowym etapie uformować się w dojrzałe osteocyty. Proces osteogenezy jest regulowany przez skomplikowany, współzależny system ekspresji wielu markerów kostnych i enzymów, które są zaangażowane w dojrzewanie nowo powstałych komórek i zwapnienie kości. Kompozyty chitozanu stosowane w uszkodzonych tkankach kostnych, z powodzeniem zostały przetestowane w wielu modelach doświadczalnych. Właściwości mechaniczne rusztowań chitozanowych są zwykle zwiększane przez dodanie hydroksyapatytu, który wykazuje biologiczne podobieństwo do nieorganicznego składnika kości. Oprócz hydroksyapatytu powstały także takie połączenia jak: chitozan-nanotlenek cyrkonu, chitozan-cyrkonian nanowapnia, a także połączenia zmodyfikowane strontem chitozan-montmorylonit, które miały dużą stabilność i wytrzymałość mechaniczną. W hodowli tkanki kostnej takie połączenie ma na celu uzyskanie organicznych i nieorganicznych kompozytów, które symulują strukturę kości [71]. Zaobserwowano, że komórki preosteoblastyczne, które hodowano na testowanych podłożach chitozanowych z dodatkiem polikaprolaktonu, mają znacznie większą aktywność fosfatazy alkalicznej, osadzanie się wapnia i syntezę ECM. Dane literaturowe wskazują także na dużą aktywność biologiczną liofilizowanych rusztowań chitozan-żelatyna usieciowanych aldehydem glutarowym lub genipiną. Taki kompozyt wspierał regenerację kości in vivo u myszy, indukując wytwarzanie ECM przy minimalnych reakcjach zapalnych [72]. Kompozyty na bazie chitozanu mogą regulować proces osteogenezy, wpływając na aktywność jej czynników indukujących, m.in. zwiększając uwalnianie morfogenicznego białka kości typu 2, a dzięki porowatej strukturze takich rusztowań możliwe jest prawidłowe namnażanie i kształtowanie struktury tkanki kostnej [73].

Inżynieria tkanki przyzębia, stomatologia

Wśród wielu problemów stomatologicznych choroba przyzębia jest jedną z najczęstszych i może doprowadzić do nieodwracalnego zaniku tkanek przyzębia aż do utraty zębów. Dolegliwościom tym często towarzyszy przewlekły i bolesny stan zapalny. Dlatego naukowcy szukali odpowiedniego rozwiązania, które byłoby skuteczną i nieinwazyjną metodą leczenia schorzeń stomatologicznych. Kompozyty chitozanowe sprawdziły się w procesie leczenia stanów zapalnych jamy ustnej oraz stanów chorobowych zębów i dziąseł. Stosuje się je w remineralizacji szkliwa, we wspomaganiu wzrostu i odbudowy zębiny, w materiałach do odbudowy zębów, a także jako ochronną aktywną powłokę implantów dentystycznych [74]. W ciągu ostatnich 10 lat badano i analizowano różne postaci chitozanu, jak również jego zdolność do łączenia się z innymi materiałami organicznymi i nieorganicznymi, które byłyby skuteczne w różnych schorzeniach stomatologicznych. Usieciowane tripolifosforanem gąbki chitozanowe zawierające związek aktywny – tetracyklinę – działały silnie przeciwbakteryjnie po aplikacji w zainfekowanym rdzeniu zębowym. Dużą aktywność biologiczną wykazywały również żele chitozanowe z dodatkiem hydroksyapatytu, które po aplikacji w rdzeniu zębowym stymulowały proliferację komórek oraz mineralizację, aktywnie regenerując tkankę przyzębia objętą stanem zapalnym [75, 76]. Korzystne wyniki w regeneracji uszkodzonej tkanki przyzębia otrzymano również w matrycach o porowatej strukturze chitozan-kolagen z dodatkiem plazmidu DNA kodującego czynnik wzrostu pochodzący z płytek krwi. Stałe, kontrolowane uwalnianie czynnika z matrycy polimerowej przez prawie 6 tygodni spowodowało pobudzenie wzrostu i regenerację tkanek przyzębia, zmniejszając ubytek i stan zapalny. Membrany chitozanowe z bioaktywnymi nanocząstkami szklanymi mogą aktywnie regenerować uszkodzone tkanki przyzębia, indukując regenerację kości. Zatem rusztowania chitozanowe również w stomatologii są obiecującym materiałem wspomagającym regenerację tkanek oraz leczenie stanów zapalnych w jamie ustnej. Materiały na bazie chityny mogą zapewnić środowisko sprzyjające odnowie tkanek przyzębia, działając przeciwbakteryjnie [77, 78].

Inżynieria naczyń krwionośnych i trudno gojących się ran

Układ naczyniowy jest niezbędny do prawidłowego ukrwienia, dotlenienia i odżywienia wszystkich tkanek. Zainicjowanie procesu angiogenezy i neowaskularyzacji jest konieczne do podtrzymania funkcji tkanek. Często występujące choroby naczyń krwionośnych, które mogą powodować nieodwracalne uszkodzenia, stały się przedmiotem zainteresowania inżynierii tkankowej. Poszukuje się nowoczesnych biomateriałów, które służyłyby jako substytuty przeszczepów naczyniowych i mogłyby również indukować proces angiogenezy w ustroju. Jednak powinny one spełniać pewne warunki. Ze względu na kontakt z krwią materiały te muszą być biokompatybilne, w przeciwnym razie mogą wywołać stan zapalny i zwapnienia aż do lokalnej martwicy tkanek. Degradacja takich biomateriałów musi być kontrolowana, nie może być zbyt szybka, gdyż spowoduje zmiany morfologiczne protezy. Nie może też być zbyt wolna, ponieważ utrudni to proliferację i integrację komórek [22].

Rusztowania na bazie chityny były dokładnie badane pod kątem zastosowania ich jako substytutów naczyniowych. Rusztowania z kolagenu i chitozanu, heparynowo-chitozanowe, chitozan-PVA czy też PLLA-chitozan-kolagen prawdopodobnie mogą być wykorzystane w inżynierii tkanek naczyniowych. Badania in vitro potwierdzają ich zdolność do wspierania adhezji, wzrostu oraz proliferacji komórek. Mają właściwości mechaniczne zbliżone do właściwości naczyń krwionośnych, wykazują bardzo dobrą biokompatybilność po wszczepieniu i mogą przyspieszać wzrost komórek tkanek łącznych, co jest korzystne w procesie neowaskularyzacji. Rusztowania heparynowo-chitozanowe można stosować w inżynierii tkanek naczyniowych również ze względu na zdolność biologiczną heparyny do skutecznego zmniejszania zakrzepic i aktywności jej czynników wzrostu. Materiały na bazie chityny mogą dostarczać bioaktywne cząsteczki pomocne w regeneracji naczyń [79, 80]. Chitozan w postaci hydrożelu z wbudowanymi czynnikami angiogennymi (np. z FGF2), stopniowo go uwalniania i degraduje do nietoksycznych związków. Aktywność biomolekuł zamkniętych w rusztowaniach chitozanowych pozostaje stabilna. Testy in vivo na modelach zwierzęcych wykazują, że po wstrzyknięciu hydrożelu następuje znaczny wzrost nowo powstałych naczyń krwionośnych i tkanki włóknistej, a kontrolowane uwalnianie czynników angiogennych skutecznie przywraca zaburzone krążenie. Opracowano również zmodyfikowaną genetycznie tkankę na bazie chityny, do której wprowadzono materiał kodujący czynnik wzrostu śródbłonka naczyniowego (VEGF), który w testach in vitro był pozytywny, powodując powstanie wielu dojrzałych naczyń krwionośnych [81]. Uwaga badaczy skupiła się także na sposobie wytwarzania naczyń krwionośnych o wysokim stosunku powierzchni do objętości przy zastosowaniu technik elektroprzędzenia. Opracowano naczynie krwionośne w postaci rurki z mieszanym elektroprzędzonym włóknem PLLA-chitozan-kolagen. Wytworzona rurka spowodowała duż ążywotność komórek oraz hemokompatybilność, miała bardzo dobrą wytrzymałość na rozciąganie oraz na ciśnienie rozprężające. Ponadto spełniała standardy dobrej hemokompatybilności i niewielkiej cytotoksyczności [82].

Regeneracja skóry jest złożonym i dynamicznym procesem, który obejmuje fazę hemostazy, stanu zapalnego, proliferacji oraz przebudowy tkanek. Dlatego też do ran potrzebny jest opatrunek spełniający wiele funkcji: fizyczną ochronę rany, przyspieszenie procesu gojenia, ochronę przeciwbakteryjną oraz minimalizowanie ryzyka powstania blizn. Chitozan w postaci proszku, roztworu czy też hydrożelu może być stosowany w tamowaniu dużych krwawień i gojeniu głębokich ran, bezpośrednio nakładany na krwawiące powierzchnie. Działanie lecznicze zależy od zastosowanej techniki aplikacji, a także rodzaju rany, na którą zostanie nałożony preparat [83]. Chitozan może wywołać adhezję płytek krwi, aktywując kaskadę sygnalizacji wewnątrzkomórkowej, pobudzającej glikoproteiny IIb/IIa oraz tromboksan A2/ADP. Dzięki temu zwiększa się liczba płytek krwi, które wzmacniają stabilność adhezji. Zdolności hemostatyczne chitozanu podlegają bezpośredniej interakcji z płytkami krwi, głównie w ziarnistościach alfa. Sygnalizacja wewnątrzkomórkowa indukuje uwalnianie płytkowego czynnika wzrostu PDGF-AB i TGF-β1. W badaniach in vitro po zastosowaniu chitozanu stwierdzono wzrost aż o 130% wskaźnika PDGF-AB w porównaniu z grupą kontrolną [84]. Liczba grup aminowych w chitozanie, którego stopień deacetylacji jest na poziomie umiarkowanym (około 68%), ma bezpośredni wpływ na krzepnięcie krwi, sprzyjając tworzeniu struktur porowatych, dzięki czemu chitozan dużo łatwiej integruje ze składnikami krwi. Wyższy stopień deacetylacji powoduje silniejsze wiązania wodorowe w chitozanie, powodując tworzenie krystalicznej struktury, która ogranicza zdolność interakcji polimeru ze składnikami morfologicznymi krwi. Natomiast większa masa cząsteczkowa chitozanu zwiększa działanie prokoagulacyjne. Chitozan wpływa również na etapy gojenia poprzez indukcję migracji neutrofili, immunomodulację i zmniejszanie stanów zapalnych, stymulację wzrostu fibroblastów skórnych oraz działanie silnie przeciwdrobnoustrojowe, chroniące przed zakażeniem rany w czasie jej gojenia [85, 83, 87]. Biomateriały stosowane na rany często są wzbogacane o dodatkowe składniki w celu poprawy ich właściwości terapeutycznych. Dodawanie nanocząstek srebra do hydrożeli powoduje dużą aktywność przeciwdrobnoustrojową wobec szczepów Staphylococcus aureus opornych na metycylinę (MRSA). Aby przyspieszyć proces gojenia, biomateriały chitozanowe wzbogaca się również o dodatkowe cząstki bioaktywne, takie jak czynniki wzrostu i cytokiny [88].

Istnieje wiele opatrunków hemostatycznych na bazie chitozanu, które zostały zatwierdzone przez FDA, m.in.: Celox®, HemCon®, Axiostat®, Chitoflex®i Chitoseal®. Pierwszym komercyjnym opatrunkiem na bazie chityny był Beschitin®, który wprowadzono w 1982 r. na rynek japoński. Opatrunek miał postać włókniny, która przez pobudzanie ziarninowania przyspieszała proces gojenia. Dużo badań przeprowadza się również w Polsce, gdzie wyprodukowano pierwszy polski opatrunek hemostatyczny pierwszej pomocy na bazie chitozanu o nazwie Tromboguard®, który został nagrodzony złotym medalem na Międzynarodowych Targach Poznańskich w 2011 r. Wyrób składa się z trzech warstw – pierwsza warstwa kontaktowa to kompleks chitozanu i alginianu, które skracają czas krwawienia przez reakcję ze składnikami morfologicznymi krwi na powierzchni rany. Druga warstwa chłonna z pianki poliuretanowej pochłania oraz magazynuje w swoich strukturach krew, nawet w warunkach ucisku. Natomiast trzecia warstwa zabezpieczająca jest wykonana z poliuretanowej membrany wodoodpornej, która chroni przed czynnikami zewnętrznymi [89].

Wyniki wskazują, że nowoczesne biomateriały mogą być wykorzystane jako substytuty przeszczepów naczyniowych i są zdolne do indukcji procesu angiogenezy w ustroju. Stosowanie biomateriałów z chitozanem wpływa także na wzrost fibroblastów i tworzenie tkanki ziarninowej, przyspieszając proces naprawy naskórka i skóry właściwej, dlatego chitozan w różnej postaci może spełniać funkcje opatrunku hemostatycznego.

Inżynieria tkankowa skóry

Substytuty skóry i rusztowania oparte na biomateriałach mogą wspomagać gojenie i regenerację skóry. Wspomaganie procesu regeneracji nabłonka ma duże znaczenie przy prawidłowym odtwarzaniu struktury tkanki. Przeszczepy skóry od obcego dawcy często kończą się niepowodzeniem i odrzuceniem, gdyż mogąindukować drażliwośći stanyzapalne, pobudzając odpowiedź immunologiczną organizmu [90]. Najbardziej zewnętrzna warstwa, czyli tkanka nabłonkowa, zapewnia ochronę przed czynnikami środowiskowymi, jak również pełni ważne funkcje wydzielnicze. Choroby oraz urazy spowodowane utratą skóry, np. rozległe oparzenia lub trudno gojące i przewlekłe rany do niedawna były dużym wyzwaniem. Biomateriały biokompatybilne, niealergenne, działające przeciwdrobnoustrojowo i przyspieszające gojenie są obecnie przedmiotem zainteresowania inżynierii tkankowej skóry. Materiały na bazie chityny są szeroko stosowane do naprawy ubytku tkanki skórnej, przede wszystkim ze względu na zdolność pobudzania proliferacji komórek, wytwarzania ECM, silne właściwości przeciwdrobnoustrojowe oraz hemostatyczne. Wykazano, że obecność chitozanu w środowisku hodowli komórek nabłonkowych wpływa na wzrost stężenia nabłonkowych czynników morfogenetycznych, głównie czynnika wzrostu fibroblastów 7 (FGF7), wzrostu fibroblastów 10 (FGF10) oraz wzrostu hepatocytów (HGF) [23, 91]. Ponadto biomateriały chitozanowe mają lepsze właściwości adhezyjne i przepuszczalność gazów, a obecne czwartorzędowe grupy aminowe skutecznie oddziałują z komórkami. Rusztowania na bazie chitozanu można łatwo połączyć z innymi polimerami poprzez sieciowanie, co pozwala uzyskać nowe, lepsze właściwości użytkowe, m.in. większą wytrzymałość mechaniczną. Chitozan usieciowany cząstkami krzemionki (SiO2), został wykorzystany do stworzenia mikroporowatych błon do hodowli fibroblastów skórnych, które w testach in vitro nie wykazywały cytotoksyczności oraz sprzyjały adhezji i proliferacji komórek. Opracowane materiały na bazie chityny miały duży potencjał w indukowaniu różnych fenotypów komórkowych, m.in.: w hodowli melanocytów, keratynocytów skóry czy rogówki.

Bielactwo jest jedną z chorób skóry, którą można zwalczyć dzięki inżynierii tkankowej. Rozległe zmiany skórne wymagają przeszczepu melanocytów, który jest możliwy dzięki hodowli melanocytów na odpowiednich biomateriałach i uzyskaniu tzw. plastra komórkowego, gotowego do wszczepienia. Wykorzystanie chitozanu przyspiesza wzrost i fenotypowe utrzymanie melanocytów, zachowując ich żywotność i funkcje [10, 21]. Na porowatym rusztowaniu kolagen-glikozaminoglikan-chitozan możliwe jest również wyhodowanie tkanki błony śluzowej jamy ustnej przez współhodowanie ludzkich komórek nabłonka jamy ustnej i fibroblastów. Skonstruowaną tkankę błony śluzowej można zastosować do zamknięcia ran jamy ustnej spowodowanych chorobami o różnym podłożu lub zabiegami medycznymi. Większość powierzchni w drogach oddechowych jest pokryta nabłonkiem rzęskowym. Bez tej wyściółki nabłonkowej mogłyby wystąpić zapalenia i krwawienia, uszkadzające delikatną strukturę tkanki. Rusztowania kolagenowo-chitozanowe sprawdziły się w inżynierii tkankowej nabłonka oddechowego. Mogły regulować wzrost, adhezję i różnicowanie śluzówkowo-rzęskowe komórek nabłonka oddechowego [92, 93, 94]. Zdolność chitozanu do wiązania z kolagenem wykorzystano również do projektowania klejów tkankowych [14, 70].

Dane literaturowe potwierdzają skuteczność hydrożeli i siatek chitozanowych w zapobieganiu bliznowaceniu pooperacyjnym. Termowrażliwy hydroksybutylochitozan (HBC) to nowa pochodna chitozanu, która reaguje na zmiany temperatury i może być stosowana w profilaktyce pooperacyjnej, jako skuteczny środek antyadhezyjny. Badania przeprowadzone na przepuklinowych siatkach polipropylenowo-chitozanowych wykazały dużą biokompa-tybilność i brak działań drażniących, o czym świadczy niski wskaźnik reakcji zapalnej [95, 96]. Ponadto zastosowanie rusztowania z mieszanki fibroiny jedwabiu i chitozanu w badanych modelach zwierzęcych było skuteczne w przepuklinach brzusznych. Udowodniono przebudowę tkanek we wszystkich trzech wymiarach, z zachowaniem odpowiedniej wytrzymałości mechanicznej, a rusztowanie to sprzyjało odkładaniu się nowej macierzy zewnątrzkomórkowej i prawidłowemu unaczynieniu. Korzystne było zastosowanie filmu chitozanowego, modyfikowanego dodatkowym filmem z mieszanką chitozanowo-żelatynową, w zapobieganiu zrostom otrzewnej wywołanym przez ranę, niedokrwienie i infekcję [97, 98]. Zbadano też możliwości wykorzystania chitozanu w trwałych uszkodzeniach, często mających podłoże nowotworowe. Hodowla in vitro mięśni gładkich okrężnicy królika na rusztowaniach chitozanowo-kolagenowych w kształcie rurek dała pozytywne wyniki. Nowo powstałe komórki wykazywały prawidłową morfologię, zachowując markery fenotypowe mięśni gładkich, a późniejsze pełne rusztowania mięśniowe kurczyły się w odpowiedzi na acetylocholinę (Ach) oraz chlorek potasu (KCl) i rozluźniały w odpowiedzi na wazoaktywny peptyd jelitowy (VIP). Wyniki te potwierdzają możliwość wykorzystania chitozanu w scaffoldach jelitowych, dzięki którym możliwe będzie ich wykorzystanie w wielu nieodwracalnych dotąd uszkodzeniach tkanki lub całego narządu [99].

Regeneracja rogówki, okulistyka

Rogówka jest tkanką nieunaczynioną, która ma zapewnić gałce ocznej przejrzystość optyczną warunkującą prawidłowe i ostre widzenie. Zręb rogówki, który tworzą keratynocyty, odpowiada za grubość rogówki i składa się z włókien kolagenu. Komórki nabłonkowe rogówki nie mogą się regenerować, dlatego też ich utrata lub uszkodzenie zaburzają widzenie i wywołują choroby układu narządu wzroku, grożąc całkowitąślepotą. Wszelkie głębokie urazy rogówki leczone są często przeszczepem błony owodniowej, co nierzadko kończy się niepowodzeniem ze względu na infekcje i odrzucenie wszczepionej tkanki [100]. Przy wyborze odpowiedniego materiału do tworzenia implantów rogówkowych ważnym kryterium jest zachowanie odpowiedniej przezroczystości optycznej. Rusztowania tkanek rogówki, poza tą istotną cechą, powinny także mieć podobne właściwości mechaniczne i optyczne oraz zdolność do podtrzymywania komórek i dużą przyczepność. Rusztowania muszą mieć również dużą elastyczność i sprężystość. Potwierdzoną skuteczność przy odtwarzaniu tkanek rogówki wykazywały, m.in. błony chitozanowe, a przygotowane sieciowane rusztowania hydroksypropylochitozanu (HPCTS), żelatyny i siarczanu chondroityny zachowały duże biologiczne podobieństwo do zrębu rogówki oraz potencjał wzrostu keratocytów [101]. Takie rusztowanie miało dużą przepuszczalnośćświatła widzialnego, znaczną zawartość wody oraz przenikalność dla NaCl i glukozy. Ważne stało się również stworzenie ultracienkiej błony hydrożelowej chitozan-PEG, którą charakteryzowała lepsza wytrzymałość mechaniczna i moduły rozciągania zbliżone do ludzkiej tkanki rogówki. Przepuszczalnośćświatła w widmie widzialnym była wyższa (>95%) niż w ludzkiej rogówce (gdzie maksymalnie wynosi około 90%). Hodowane błony chitozan-polikaprolakton (PCL) skutecznie zastępowały komórki śródbłonka rogówki (CEC), zapewniając korzystne warunki pod względem składu ECM, wpływając na zwiększony wzrost i różnicowanie [102, 103].

Inżynieria tkanek nerwowych

Obecne standardowe leczenie uszkodzeń tkanki nerwowej polega na zastosowaniu autologicznego przeszczepu nerwu, dzięki temu ubytek zostaje uzupełniony, a to sprzyja regeneracji, powodując ponowne połączenie nerwów. Dostępne źródła literaturowe dostarczają dowodów na duży potencjał terapeutyczny materiałów na bazie chityny, które mogą pobudzać wzrost neuronów. Badania in vivo wskazują, że membrany chitozanowe sprawdzają się w inżynierii nerwów obwodowych, dzięki porowatej strukturze oraz dużym pod względem chemicznym możliwościom modyfikacyjnym [104]. Dodatek różnych substratów i bioaktywnych cząsteczek zwiększa ich powinowactwo do komórek nerwowych. Wykorzystanie nanowłókien chitozanowych wspierało adhezję, migrację i proliferację komórek Schwanna, dzięki czemu następowała szybka regeneracja aksonów w obwodowym układzie nerwowym [105, 106]. Chitozanowe rusztowania komórkowe powodowały wzrost neurytów, uwalniając czynniki neurotroficzne i swoiste ligandy neuronów. Połączenia hybrydowe chitozanowo-hialuronowe w postaci przeszczepionych błon miały dobrą cytokompatybilność, odpowiednie środowisko do adhezji komórkowej, proliferacji i wytwarzania błony zewnątrzkomórkowej (ECM), wspierając tym samym prawidłowe biologiczne działanie zaszczepionych komórek [107].

Rekombinowane białka terapeutyczne otrzymywane metodą prokariotycznych systemów ekspresyjnych

Biosynteza białek i peptydów o znaczeniu terapeutycznym należy obecnie do ciągle rozwijających się terapii będących alternatywą wobec pozyskiwania ich w procesie proteolizy. Niewielki procent białek organizmów żywych zawarty jest w dostatecznej liczbie w komórkach, dlatego aby otrzymać większe ilości białka do celów poznawczych (analizy funkcjonalne i strukturalne) lub aplikacyjnych (terapia i profilaktyka chorób), istnieje potrzeba jego nadprodukcji. Aby było to możliwe, niezbędny jest odpowiednio dobrany gospodarz, właściwy wektor i prawidłowo namnożony gen lub jego fragment, który koduje oczyszczane białko [108]. Wykorzystane do tego celu żywe układy biologiczne wytwarzają określone białko w wyniku heterologicznej ekspresji określonego genu bądź fragmentu genu za pomocą technik rekombinacji DNA. Transformacja genetyczna umożliwia wprowadzenie obcego genu do komórek biorcy, dzięki czemu transformowane komórki są zdolne do wytwarzania obcego białka [109]. Producentem rekombinowanych białek i peptydów może zostać żywa komórka najprostszych organizmów prokariotycznych, jak również jednokomórkowe drożdże i grzyby oraz komórki owadzie, ssacze czy linie komórkowe. Jednak do otrzymywania rekombinowanych białek najczęściej są stosowane systemy bakteryjne pochodzące głównie z hodowli Escherichia coli, która jest modelem często stosowanym w wielu eksperymentach inżynierii genetycznej. Ta Gram-ujemna pałeczka jest pierwszym organizmem, który wykorzystano do komercyjnej produkcji biofarmaceutyku, jakim jest rekombinowana ludzka insulina [110, 111]. Zaletą stosowania bakteryjnych systemów ekspresyjnych wykorzystujących E. coli jest stosunkowo szybki wzrost hodowli na tanich substratach, wysoki stopień scharakteryzowania genomu oraz duży wybór wektorów i szczepów. Dlatego też metody hodowli na dużą skalę są obecnie bardzo dobrze opracowane. Produkcja rekombinowanych białek z wykorzystaniem systemów bakteryjnych ma również pewne wady. Niektórych białek, zwłaszcza błonowych, nie udaje się otrzymać, natomiast ich nadmierne wytwarzanie może spowodować ich agregację w postaci nierozpuszczalnych ciał inkluzyjnych. Wytwarzanie białka do celów terapeutycznych, coraz częściej stosowanych również w medycynie regeneracyjnej, jest utrudnione z powodu obecności składnika błony zewnętrznej bakterii Gram-ujemnych: lipopolisacharydu (LPS), który ma bardzo silne działanie pirogenne [112].

Lipopolisacharyd (LPS) jest cząsteczką termostabilną, która jest zakotwiczona w zewnętrznej błonie komórkowej bakterii Gram-ujemnych. Na LPS składają się trzy elementy, zróżnicowane pod względem struktury: lipid A, oligocukier rdzenia oraz antygen O. Z medycznego punktu widzenia jest to endotoksyna, która w organizmie ludzkim daje bardzo silną odpowiedź immunologiczną, ze wstrząsem septycznym włącznie [113, 114]. Zastosowanie bakteryjnych systemów ekspresji (np. E. coli) w celu wytwarzania białek rekombinowanych do celów medycznych wymaga ich oczyszczania, jako jednego z głównych etapów. W zależności od przeznaczenia produktu finalnego, wyróżnia się trzy stopnie jego czystości: bardzo wysoki >99%, wysoki 95-99% oraz umiarkowany <95%. W przypadku wykorzystania produktu białkowego do celów medycznych jego stopień czystości musi wynosić powyżej 99%. Aby otrzymane białko zachowało aktywność biologiczną oraz strukturę, istotne jest precyzyjne dobranie warunków oczyszczania. Obecnie stosowane procedury oczyszczania nierzadko mogą doprowadzić do zmian warunków środowiskowych, zmniejszając stabilność oczyszczanych białek. Dlatego istotna jest znajomość specyfiki i wymagań danej techniki separacji. W przypadku sączenia molekularnego znaczenie ma masa cząsteczkowa preparatu. Ładunek powierzchniowy białka jest istotny do ustalenia warunków chromatografii jonowymiennej, powinowactwo białka decyduje o wyborze odpowiedniego ligandu wykorzystanego do chromatografii powinowactwa, a hydrofobowość determinuje wybór medium do chromatografii hydrofobowej [115]. Ważne jest zatem wybranie takiej techniki oczyszczania białka, która zminimalizuje straty ilościowe produktu, skróci proces oczyszczania i ograniczy jego koszty. Ma to duże znaczenie zwłaszcza przy produkcji białka na dużą skalę do celów medycznych i farmaceutycznych. Jednocześnie należy pamiętać, aby metoda oczyszczania zapewniła otrzymanie produktu o wymaganym stopniu czystości, zachowanej aktywności biologicznej i niezmienionej strukturze cząsteczkowej. Wyizolowanie białka z zacho-waniem wszystkich wymagań jest trudnym zadaniem, a wynika z konieczności zapewnienia warunków zbliżonych do naturalnych podczas zarówno procesu oczyszczania, jak i późniejszego przechowywania. Dlatego wciąż poszukuje się nowych ulepszonych metod, które będą miały wysoki stopień oczyszczania, a przy tym ryzyko degradacji i zmiany struktury oraz aktywności białka będzie zminimalizowane do zera. Wykorzystanie takiej metody miałoby przełomowe znaczenie przede wszystkim w produkcji na dużą skalę, przydatne lekarzom, farmaceutom, jak również w przemyśle spożywczym [116].

Możliwości wykorzystania chitozanu w oczyszczaniu białek terapeutycznych stosowanych w medycynie oraz inżynierii tkankowej

Lipid A warunkuje biologiczną aktywność lipopolisacharydu i jest jego konserwatywnym fragmentem, zbudowany głównie z nasyconych kwasów tłuszczowych. W tej części lipidu pojawia się również element polarny, jakim jest cukier D-glukozaminylo-D-glukozamina [117]. Obecność ujemnie naładowanych reszt w części lipidu A oraz oligocukru rdzenia wewnętrznego ma duży wpływ na oddziaływanie z dwuwartościowymi kationami obecnymi w środowisku zewnętrznym oraz determinację interakcji wewnętrznych występujących między sąsiadującymi częściami lipidowymi. Wiązania wodorowe utrzymują lipid A i całą cząsteczkę LPS w odpowiednim ułożeniu w warstwie zewnętrznej błony komórkowej bakterii [113]. Chitozan zawiera dużą liczbę grup hydroksylowych i aminowych, jest polimerem kationowym, który w środowisku kwaśnym tworzy polikationy i zdolny jest do reakcji z ujemnie naładowanymi cząsteczkami lub makrocząsteczkami [60, 118]. Miejsca reaktywne chemicznie w cząsteczce chitozanu przedstawiono na ryc. 3. Ładunek dodatni determinują grupy aminowe, które mogą wchodzić w interakcje z substancjami anionowymi (ryc. 4) [119]. Proces produkcji chitozanu ma duży wpływ na jego właściwości. Kontrola procesu deacetylacji chityny jest istotna dla późniejszych właściwości biologicznych chitozanu, gdyż liczba powstałych w tym etapie wolnych grup aminowych decyduje o reaktywności całego polimeru. Biokompatybilność chitozanu wzrasta wraz z liczbą ładunków dodatnich [120]. Grupy funkcyjne oraz naturalne właściwości chelatujące chitozanu umożliwiają mu wiązanie i usuwanie jonów metali, takich jak miedź, ołów, rtęć i uran. Jest to wykorzystane, m.in. w procesie oczyszczania ścieków, gdzie chitozan odgrywa ważną rolę. Jest również zastosowany do usuwania barwników, tłuszczów i innych ujemnie naładowanych cząstek stałych, dzięki czemu jest cenny również w przemyśle spożywczym. Dzięki protonowaniu grup aminowych może się wiązać z ujemnymi cząstkami wchodzącymi w skład mucyny, poprawiając właściwości śluzotwórcze nabłonka oddechowego. Udowodniono również jego działanie hemostatyczne, dzięki wiązaniu z ujemnymi ładunkami na krwinkach czerwonych (RBC), jak również z ujemnymi ładunkami na powierzchni komórek bakteryjnych, co wywołuje jego dużą aktywność antybakteryjną [121, 122].

Potwierdzono również jego zdolność do wiązania tłuszczu, która wzrasta wraz ze stopniem deacetylacji i masą cząsteczkową. Jego reaktywność jest tym większa im wyższy jest stopień deacetylacji oraz jego masa cząsteczkowa. Aktywność hipocholesterolemiczną chitozanu udowodniono w badaniach na modelach szczurzych, gdzie określany był wpływ chitozanu na regulację poziomu lipidów w osoczu i wątrobie oraz łagodzenie objawów hipercholesterolemii u tych zwierząt. Wyniki wykazały, że chitozan o stopniu deacetylacji powyżej 90% powodował wiązanie kwasów tłuszczowych oraz żółciowych, spowodowane prawdopodobnie przyciąganiem elektrostatycznym między chitozanem a nasyconymi grupami alkilowymi i karbonylowymi w cząsteczce kwasu tłuszczowego. Ponadto zastosowanie sproszkowanego chitozanu o porowatej strukturze zwiększyło jego zdolności chłonne [123]. Proces adsorpcji kwasów tłuszczowych przez chitozan można schematycznie przedstawić za pomocą ogólnego wzoru (ryc. 4).

Rycina 3.

Miejsca w łańcuchu chitozanu reaktywne chemicznie

Rycina 4.

Schemat procesu adsorpcji kwasów tłuszczowych przez chitozan

Dzięki dużej aktywności biologicznej oraz zdolności do wiązania mikro-i makrocząstek chitozan może być wykorzystany w procesie oczyszczania produktów białkowych z niebezpiecznej dla zdrowia endotoksyny. Ze względu na rozbudowaną i bogatą w grupy funkcyjne o ujemnych ładunkach cząstkę LPS możliwe mogłoby być jej związanie z dodatnio naładowanymi grupami w cząsteczce chitozanu. Ważnym atutem, mającym znaczenie w procesie oczyszczania białek terapeutycznych jest to, iż chitozan to polimer naturalny o dużej biozgodności. Jest nietoksyczny i biodegradowalny, dlatego też istnieje duże bezpieczeństwo jego użycia do celów medycznych, farmaceutycznych oraz spożywczych. Dzięki wielu modyfikacjom chemicznym oraz fizycznym tego polimeru możliwe jest wytworzenie z niego różnych form użytkowych w zależności od potrzeb i wymagań. Przykładem może być forma kulek na bazie mleczanu chitozanu modyfikowanego środkiem sieciującym – trifosoranem pentasodu (TPP, ryc. 5), jako złoże biopolimerowe o dużym potencjale wykorzystania w procesie oczyszczania białek biotechnologicznych z LPS-u. Dobrze opracowane systemy heterologicznej ekspresji białek i peptydów są obecnie dużą konkurencją dla syntezy chemicznej. Pozwalają też na wprowadzenie zmian poprawiających biodostępność, okres półtrwania czy aktywność biologiczną produktu. Jako metoda szybka i wydajna umożliwia produkcję na większą skalę, pozwalając na uzyskanie znacznych ilości polipeptydów. Dlatego też tak ważny jest współistniejący, dobrze opracowany system oczyszczania produktu białkowego, który nie zmieni jego istotnych właściwości. Obecnie na szeroką skalę produkuje się terapeutyki o charakterze białek rekombinowanych, m.in. leki z grupy cytokin, hormonów, czynników krzepliwości i inhibitorów, enzymów, szczepionek oraz białek fuzyjnych, a wciąż poszukiwane są nowe o dużym potencjale wykorzystania w terapiach celowanych, inżynierii tkankowej i szeroko pojętej medycynie regeneracyjnej [112, 124].

Wyzwania i perspektywy zastosowania chitozanu w inżynierii tkankowej

Rozwój i postęp nauk biologicznych oraz medycznych, jak również dokładniejsze zrozumienie złożonych mechanizmów kierujących ludzkim ciałem, stwarza możliwości w terapii wielu chorób dotąd trudnych do wyleczenia. Mogą je wykorzystać przedstawiciele różnych kierunków badawczych, m.in. chemicy, naukowcy zajmujący się polimerami, biolodzy, lekarze i inżynierowie. Dzięki ich nowatorskiemu i interdyscyplinarnemu podejściu do istniejących problemów zdrowotnych możliwa jest nieinwazyjna ingerencja w reakcje biologiczne z zastosowaniem materiałów bioaktywnych, a także precyzyjne badanie składu narządów ludzkich, funkcji, biomechaniki, możliwych uszkodzeń i etiologii chorób. Wszystkie te wysiłki stwarzają realne szanse opracowania kolejnych różnorodnych polimerów do zastosowań biomedycznych. Obecnie chitozan jest jednym z bardzo obiecujących biopolimerów do wykorzystania w inżynierii tkankowej, co zawdzięcza niezwykłym właściwościom biologicznym. Jednym z wyzwań jest obecnie dostosowanie biorusztowań do konkretnych i bardzo precyzyjnych wymagań tkankowych (ryc. 5). Liczne wyniki badań dotyczące opracowania nowych rusztowań 3D, wskazują na ogromny postęp i zbliżanie się do tego założonego celu. Jednym z istotnych problemów przy tworzeniu biorusztowań jest ich niewielka żywotność i stabilność, a uwalnianie zamkniętych w nich substancji aktywnych nie zawsze prowadzi do osiągnięcia pożądanych skutków. Większość opublikowanych badań ogranicza się jedynie do oceny in vitro wytworzonych biomateriałów. Niewiele jest doniesień o jednoczesnych testach in vivo, co byłoby zdecydowanie bardziej precyzyjne i stwarzało dużo większe perspektywy przyszłych zastosowań. Wiele nowo opracowanych materiałów wykazuje dobre wyniki w badaniach in vitro, ale napotyka trudności w osiągnięciu dobrych wyników testów in vivo. Dlatego też istnieje duża potrzeba opracowania bardziej zaawansowanych strategii rozwoju nowych biomateriałów, od produkcji po implantację do ludzkiego ciała [10, 73].

Podsumowanie

Chitozan, jako biopolimer, wykazuje doskonałe właściwości fizykochemiczne i specyficzne interakcje z białkami, komórkami i organizmami żywymi. Jego dużą zaletą jest również zdolność do łączenia się z wieloma anionowymi polimerami oraz możliwość kształtowania w różne formy użytkowe, wykazujące znaczną porowatość struktury (m.in.: hydrożele, gąbki, fibrydy, nanowłókna). Zastosowanie bioaktywnych materiałów na bazie chitozanu w różnych tkankach i narządach (tkanka chrzęstna, kostna, skóra czy naczynia krwionośne) ma duży potencjał do wykorzystania w medycynie regeneracyjnej. Matryce chitozanowe, jak również kompozytowe z jego dodatkiem wykazują pozytywne wyniki badań in vitro, jednak nadal istnieje potrzeba dokładniejszych testów, niezbędnych do doskonalenia zdolności interakcji swoistych dla komórek, tworzenia bardziej złożonych struktur tkankowych i biokompatybilności stosowanych materiałów w ludzkim ciele [9, 2, 10].

Rycina 5.

Główne wyzwania stawiane nowym biorusztowaniom
Language: English
Page range: 1020 - 1037
Submitted on: Oct 27, 2020
|
Accepted on: May 7, 2021
|
Published on: Feb 3, 2022
In partnership with: Paradigm Publishing Services
Publication frequency: 1 issue per year

© 2022 Monika Sikora, Maria Wiśniewska-Wrona, Michał Arabski, published by Hirszfeld Institute of Immunology and Experimental Therapy
This work is licensed under the Creative Commons Attribution-NonCommercial-NoDerivatives 4.0 License.