Psychiatric illnesses are one of the leading causes of non-fatal disability globally, ranking lowest with respect to mortality but highest with respect to morbidity. Such illnesses include schizophrenia, depression, anxiety disorders, and many more. Schizophrenia is a severe, severely disabling, chronic psychiatric illness that affects approximately 1% of the world’s population (Dening et al., 2016). It is characterised by positive (hallucinations, delusions) and negative (apathy, impaired attention, social withdrawal) symptoms (Millan et al., 2014). Its treatment is generally lifelong. Hence, oral drug delivery is preferred over parenteral drug delivery owing to its non-invasiveness, convenience, and cost effectiveness (Gupta et al., 2009). OLZ is an atypical antipsychotic agent, found to reduce positive and negative symptoms of schizophrenia. OLZ belongs to Biopharmaceutics Classification System (BCS) class II. The low bioavailability of OLZ (approximately 31–57%) is due to hepatic first-pass metabolism (approximately 40%) and P glycoprotein efflux in the gastrointestinal tract and brain. This leads to reduced OLZ availability in the brain. Therefore, in spite of having high clinical value as an antipsychotic agent, it cannot show its efficacy (Natarajan et al., 2017; Freitas et al., 2012; Wang et al., 2004; Maheshwarappa & Desai, 2011). Its bioavailability can be increased by increasing the administered dose; however, this may facilitate the side effects associated with the drug (Dening et al., 2016). Moreover, the psychiatric patients do not prefer drugs requiring multiple daily administrations (Liversidge et al., 2005). Hence, a better strategy is required to enhance its bioavailability and effectiveness. Lipid based drug delivery systems such as solid lipid nanoparticles (SLNs) are designed to deal with bioavailability related challenges (Kalepu et al., 2013). SLNs are novel drug carriers that consist of a lipid matrix containing the drug either in dispersed or solubilized form, with the lipid matrix being stabilised by a layer of surfactant in an aqueous dispersion (Dening et al., 2016; Reddy & Shariff, 2013). It can avoid hepatic metabolism by increasing intestinal lymphatic uptake (Makwana et al., 2015). SLNs are also known to inhibit the P glycoproteins (Cavaco et al., 2017). Hence, it has the potential to improve the oral bioavailability of OLZ. Literature showed that OLZ SLNs were developed by using solvent diffusion method (Natarajan et al., 2017), micro emulsion method (Sumeet et al., 2013), homogenization-ultrasonication method (Joseph et al., 2017) and high speed homogenization (Daswadkar & Atole, 2020). Further, in all the studies, the stability of SLN dispersion was improved by the lyophilisation process, which increases the cost of formulations. Hence, there was a need for a simple, economical and robust process for the development of SLN and further solidification of SLNs dispersion to improve stability. The current study aimed to overcome the challenges in OLZ oral bioavailability by incorporating it into SLNs. The optimization of SLNs was performed by evaluating the various formulation and process parameters. An ex-vivo OLZ permeation study was performed with and without a lymphatic blocker. Adsorption onto a suitable adsorbent converted the SLNs dispersion further into DAN.
OLZ was kindly provided as a gift sample by K. C. Laboratories Pvt. Ltd., Gujarat. Precirol ATO 5 (PRE), Compritol ATO 888 (CMPR), Transcutol HP (THP), Labrasol (LBR), Plurol oleique (PLU) and Gelucire 50/13 (G50/13) were procured from Gattefosse, India. Glyceryl monstearate (GMS), stearic acid, palmitic acid and beeswax were obtained from Loba Chemie, India. Dynasan 114 (D114), Dynasan 116 (D116) and Dynasan 118 (D118) were obtained from Cremor, Germany. Tween 80 (T80), Kolliphor ELP (KELP), Kolliphor RH 40 (KRH40), Kolliphor P 188 (P188), Kolliphor P 407 (P407), Solutol HS 15 (SHS) and Kollidon CL SF (KCL) were kindly offered by BASF, India. Tween 20 (T20), Tween 40 (T40), Tween 60 (T60), Span 40 (S40) and Span 60 (S60) were provided by Mohini Organics, Mumbai. Neusilin US2 (NUS2), Neusilin UFL2 (NUFL)and Fujicalin SG (FUJ) were acquired from Gangwal Chemicals, Mumbai. FMC BioPolymer (India) supplied Avicel CL 611 (ACL), and Mammoths SPI Pharma supplied Mannitol (Pearlitol 100SD). Aerosil 200 (A200) and Aerosil R 972 (AR972) were obtained from Evonik (India), Anhydrous Lactose (SuperTab 21AN) was obtained from DFE Pharma (India) and Syloid 244 FP (S44FP) was gifted by Grace Davison chemicals. All other reagents and chemicals used in this study were of analytical grade.
The solubility of OLZ in lipids was determined by a semi-quantitative method. Lipid (200 mg) was heated at 5ºC above its melting point. OLZ (10 mg) was added to the melted lipid and mixed using a vortex mixer (Remi Labs., Mumbai) for uniform mixing and determining the maximum amount of the active that could be dissolved in each lipid. The quantity after which the lipid starts getting saturated with the drug (no further solubilisation of the drug) was taken as the end point of drug solubility (Hirlekar et al., 2021). Surfactants were also screened using a similar approach (heating was applied for only solid components).
In the modified hot melt emulsification, the OLZ (10 mg) was dissolved in lipid by melting at 5–10 °C higher than the lipid’s melting point. To this lipid phase, surfactant was added. The hot aqueous phase was added to the melted lipid phase and mixed uniformly on a vortex mixer (Remi Labs., Mumbai). The prepared pre-emulsion was then subjected to probe sonication (Oscar Ultrasonics Pvt Ltd., India) for particle size reduction using a 3 mm horn, a 30–40% variac, and 90 watts of power. The formulation was optimised by studying the effects of various formulation variables such as lipid, lipid concentration (LC), drug concentration (DC), type of surfactant, surfactant concentration (SC), volume of dispersion medium (VD), and process variables such as sonication time (ST) and sonication temperature (STM) to get minimum particle size and maximum EE.
The drug-loaded NLCs were converted into dry granules (DANs) by the granulation-evaporative drying method using suitable carriers to improve the physical and chemical stability of the NLCs formulation. Briefly, one-unit dose of NLC dispersion was added to the adsorbent and kneaded. After kneading, the granules were dried overnight at room temperature to form a dry powder. The blend was then granulated by passing through an American society for testing and materials (ASTM) #40 sieve to form a uniform dry powder. The DAN formulations were stored at room temperature. Various adsorbents were used to prepare DANs, and the best adsorbent was selected on the basis of the flow properties of DANs, the amount of adsorbent required, the percentage of SLNs desorbed from the adsorbent upon reconstitution, and the particle size and PdI of the reconstituted SLNs. The percentage of SLNs desorbed was determined by taking DANs (equivalent to 10 mg of OLZ) and reconstituting them in 250 mL of water, which was then magnetically stirred (Remi Labs., Mumbai) for about 15 min at 300 rpm to allow the SLNs to desorb. The reconstituted DANs were then filtered through Whatman filter paper. The residue was dried, dissolved and sonicated (Oscar Ultrasonics Pvt Ltd., India) in methanol for 2 h and a further suitable dilution was analysed by UV-visible spectrophotometer (Shimadzu 1800, Shimadzu Japan) against methanol as a blank at 258 nm. This was the amount of drug in the SLNs that was not desorbed from the adsorbent. The percentage of SLN desorbed was calculated using the equation (Hirlekar et al., 2021).
The particle size and extent of size distribution (PdI) and zeta potential were measured using dynamic light scattering on a Malvern Zetasizer ZS90 (Malvern Instruments, UK). For light scattering measurements, the samples were measured at a fixed angle of 90° at 25 °C. The scattering intensity was adjusted between 100–500 kcps by appropriately diluting the sample with double distilled water. In the case of DANs, they were reconstituted in 250 mL of millipore water and stirred for 15 min. After filtering through an 11 μ filter, the filtrate was used for the analysis without any further dilutions.
The EE was determined by an indirect method (aqueous phase dilution by the addition of a saturated solution of sodium chloride), wherein the amount of unincorporated (unentrapped) drug in the aqueous phase of NLCs was determined (Patel et al., 2021; Shah et al., 2022). The free drugs were separated from the system for the measurement of EE. The SLN formulation and saturated sodium chloride solution were mixed in a ratio of 1:3 and centrifuged for about 1 h at 15,000 rpm. The saturated sodium chloride solution helps to flocculate the lipid and effectively separate SLN into two distinct layers of lipid and dispersion medium. Upon centrifugation (Remi Ltd., India), the lipid forms the upper layer while the dispersion medium forms the lower layer, and this medium was diluted with 0.1 N HCl. The absorbance of this diluted solution was obtained using a UV-visible spectrophotometer (Shimadzu 1800, Shimadzu Japan) against 0.1N HCl as a blank at 258 nm, which gives the free drug content. The EE and DL were calculated with the below mentioned equations.
The SLN formulation (equivalent to 1 mg of OLZ) was diluted with methanol and subjected to bath sonication (Oscar Ultrasonics Pvt Ltd., India) for 60 min for complete extraction of OLZ and filtered through a millipore membrane (0.45 μm) (Merck Millipore, Germany). Further, the solution of a suitable dilution analysed UV-visible spectrophotometer (Shimadzu 1800, Shimadzu Japan) against methanol as a blank at 258 nm. The same procedure was followed with the placebo formulation, and its absorbance was subtracted from that of the drug loaded formulation to avoid any interference by the lipid. The percent drug content was calculated using the below mentioned formula.
An in-vitro drug release study was performed using the dialysis bag method (activated by soaking it in purified water for 24 h to hydrate). The OLZ NLCs and suspension were loaded into a cellulose membrane dialysis (molecular cut-off of 12–14 kDa, with a pore size of 2.4 nm, Sigma-Aldrich Co., India), and in the case of DANs, the granules were reconstituted in purified water and added to the dialysis bag. The drug release study was performed in 100 mL of 0.1N HCl, phosphate buffer saline pH 6.8, and phosphate buffer saline pH 7.4 solutions that were magnetically stirred at 100 rpm at 37° C (Natarajan et al., 2017; Maheshwarappa & Desai, 2011; Jawahar et al., 2013). The drug release was also studied in multi-media, with 0.1N HCl for 2 h, pH 6.8 for 3 h, and pH 7.4 for up to 24 h. The multimedia drug release study was performed to know about the kind of release that would take place in the gastrointestinal tract, where the pH changes from the stomach to the intestine. Samples were taken at predetermined intervals from the vessel, replaced with equal volumes of fresh solvent, and UV-visible spectrophotometer (Shimadzu 1800, Shimadzu Japan) determined at a wavelength of 258 nm against the respective medium as a blank. The release studies were performed in triplicate.
In-vitro dissolution is a crucial aspect of drug development and can serve as a surrogate for assessing bioequivalence in specific conditions. Various theories and kinetic models have been developed to describe the dissolution of drugs from both immediate and modified-release dosage forms. These models aim to represent the drug dissolution profiles, where “ft” represents a function of time “t” related to the amount of drug dissolved from the pharmaceutical dosage system (Natarajan et al., 2017). The data obtained from the in-vitro drug release study was fitted into various kinetic models in order to understand the release kinetics. The various kinetic models are: Zero order as the plot of cumulative percent of drug release vs. time; First order as the plot of log of cumulative percentage of drug release vs. Time; Higuchi’s model as the cumulative percent drug release vs. square root of time. The best fit model was determined by calculating the linearity of the plot or the R2 values (coefficient of correlation) from the plots by regression analysis. The mechanism of drug release was determined by fitting the data into Korsmeyer-Peppas model as the plot of log cumulative percentage of drug released vs. log time, and the diffusion exponent ‘n’ was calculated from the slope of the straight line. If ‘n’ is 0.5 then the diffusion mechanism is fickian; if 0.5< n <1.0, the mechanism is non-fickian, n = 1, case II (relaxational) transport, and n > 1, super case II transport.
The densities of the loose (bulk) and tapped samples, the compressibility index (CI), the hausners ratio (HR), and the angle of repose were calculated (Shahhet et al., 2011; Sarraguca et al., 2010). The flow rate of a funnel is the amount of sample that flows through it per unit time.
The DSC analysis was performed using a SII EXSTAR DSC-6220 (RT Instruments, Inc. USA). An accurately weighed amount of drug and SLN formulation, was placed in 40 μl aluminium pans and analysed. DSC scans were performed from 30 °C to 250 °C and back to 25 °C at a heating rate of 5 K/min, with an empty pan serving as a reference (Sumeet et al., 2013; Chiu & Prenner, 2011).
The lipid molecules tend to align themselves in different patterns and hence show polymorphism. This rearrangement of the lipid molecule affects drug loading and may cause drug expulsion. XRD helps to understand the lipid molecule rearrangement (Bunaciu et at., 2015; Bunjes & Unruh, 2007). OLZ, lipids, SLN formulation (air dried), adsorbents, and DANs were analysed. The experiment was carried out on a PANalytical X’Pert PRO MPD (Panalytical B.V. Netherlands) and scanned at different angles ranging from 4° to 50° at two different values using the X’Celerator.
SEM helps to investigate the morphological and topographical information of a solid surface and also helps to estimate the particle size (Heera & Shanmugam, 2015). SEM (Philips XL30 FEG, Netherlands) was used to record the external surface morphology of SLN at 20 kV as an accelerating voltage. A sample (SLN dispersion, adsorbent, and DANs) was mounted and scattered on an aluminium stub. A thin layer of gold was sputter coated on the stub with the sample to make the sample conductive. The sample was then subjected to analysis at different magnification levels.
An ex-vivo intestinal permeability study through chicken intestinal (jejunum) segments with and without lymphatic blocker was carried out (Casteleyn et al., 2010). The chicken intestine was maintained with the tyrode solution. Around 10 cm long segments of jejunum (non-everted tissue) were cut and filled with OLZ suspension, and SLN. The tissue was suspended in 50 mL of PB pH 7.4 (which represents the pH of blood and also mimics the pH of lymphatic fluid) with agitation of 50 rpm maintained at 37°C. Proper aeration was supplied to the tissue, and the study was performed for a period of 3 h. Suitable aliquots were withdrawn after every interval and replaced with a pH 7.4 buffer. The aliquots were filtered through the whatman filter, diluted with methanol and analysed on UV-Visible spectrophotometer (Shimadzu 1800, Shimadzu Japan) against pH 7.4 as a blank at 258 nm.
For the estimation of lymphatic uptake of SLN, the cleaned tissue segment was soaked in a 20 μg/mL solution of pluronic F 68 (a lymphatic uptake blocker) with proper aeration. After 1 h the SLN formulation was added to the tissue, and the same procedure was followed as mentioned earlier. The permeability of the drug in the suspension and the formulation was compared. Also, the permeability of formulations from untreated tissue and pluronic F 68 treated tissue was compared to get a general idea about lymphatic uptake of OLZ SLNs (Bhalekar et al., 2016).
Lipids are the principle component of SLN since it entraps the drug, thereby protecting it and altering its pattern of release. Drugs should have high solubility in lipids to obtain high drug loading and avoid drug separation, especially during the preparation of SLN. The solubility of OLZ in different lipids is given in Fig. 1a. It was observed that OLZ had the highest solubility in PRE, followed by CMPR and GMS. GMS is a monoglyceride, whereas PRE and CMPR are diglycerides (a fatty acid ester mixture); they have a lower proclivity to form a perfect crystal lattice structure (Hirlekar et al., 2021). As a result, they have the highest drug solubility. Fatty acids such as stearic acid and palmitic acid have less solubility and thus cannot accommodate much drug because their structures contain fewer imperfections than mono-, di-, or tri-glycerides (Sumeet et al., 2013). Dynasan 114, 116, and 118, which are pure lipids of monoacid triglyceride, and beeswax, being highly crystalline in nature, have highly ordered crystal packing, so they cannot incorporate more drug (Hirlekar et al., 2021; Jenning & Gohla, 2000). Hence, the solubility of OLZ is low in these lipids.

Solubility of OLZ in (a) solid lipids; (b) surfactants [values expressed as mean ± SD (n=3)].
The solubility of drugs in different surfactants is depicted in Fig. 1b. It was observed that the drug had the highest solubility in THP, followed by T20, T40, T80, KELP, KRH40, G50/13, and LBR. Surfactants with the least drug solubility were found to be S40, P188, P407, SHS, and PLU. Ideally, surfactants with the least solubility should be used so as to avoid drug leakage from the solid lipid.
Various formulation and process variables were varied one at a time, keeping the other parameters constant. The optimum level of the variables that gave the best particle size, PdI and EE, was selected for further trials in optimising the formula.
PRE, GMS, and CMPR were the solid lipids with the highest drug solubility. Hence, these lipids and their combinations were taken as the components for further evaluation. The formulation with PRE (F1) had a 253.7 nm size with the least PdI. Formulation with GMS (F2) had the highest EE amongst all the lipids but had higher particle size and distribution. The combination of GMS and PRE (F4) was causing the drug leakage. Formulation PRE+CMPR (F5) gave the best particle size but the least entrapment of drug. As the melting point of CMPR is high, during preparation the drug gets exposed to high temperatures. It was observed that the drug gets discoloured in this preparation, suggesting degradation. Therefore, CMPR containing formulations (F3, F5, and F6) were discontinued for further studies (Table 1). Hence, PRE was selected as a solid lipid candidate for further trials.
Effect of SL on particle size, PDI and EE.
| Batch No. | SL (0.5%w/v) | OLZ (mg) | Surfactant (0.2%w/v) | VD (mL) | ST (min) | Particle size (nm) | PdI | EE (%) |
|---|---|---|---|---|---|---|---|---|
| F1 | PRE | 10 | KELP | 10 | 10 | 253.7 | 0.076 | 49 |
| F2 | GMS | 10 | KELP | 10 | 10 | 527.0 | 0.709 | 54 |
| F3 | CMPR | 10 | KELP | 10 | 10 | 630.0 | 1.000 | 47 |
| F4 | PRE + GMS | 10 | KELP | 10 | 10 | 328.2 | 0.312 | 50 |
| F5 | PRE+CMPR | 10 | KELP | 10 | 10 | 164.0 | 0.482 | 40 |
| F6 | GMS+CMPR | 10 | KELP | 10 | 10 | 719.3 | 0.203 | 45 |
Values expressed as mean of triplicates. Explanatory notes: SL-Solid lipid, OLZ-Olanzapine, VD-Volume of dispersion medium, ST-Sonication time, PdI-Polydispersity index, EE-Entrapment efficiency, PRE-Precirol ATO 5, GMS-Glyceryl monostearate, CMPR-Compritol ATO 888, KELP-Kolliphor ELP.
The LC was varied at 3 levels; high (550 mg), medium (500 mg), and low (450 mg). Table 2 shows the effect of LC on the responses (particle size, PdI, and EE). It was discovered that as the LC increased, so did the particle size and the EE. This may be due to the increase in the solid content of the formulation while the amount of surfactant, being the same, was unable to effectively emulsify the lipid. The energy and time of size reduction by ultrasonication were also kept the same. The EE increases due to the availability of more lipid matrix for the OLZ to get freely solubilized. However, the increase in particle size was not very significant. In the case of 450 mg of SL (F7), the particle size was found to be the least, but the entrapment was too low compared to the other two formulations. 550 mg of SL (F8) had a larger particle size and a higher PdI compared to the other two formulations. The difference in entrapment was also not very significant when compared with the entrapment with 500 mg SL (F1). Hence, 500 mg of PRE was selected for the formulation since it gave the optimum particle sizes PdI and EE.
Effect of LC on particle size, PDI and EE.
| Batch No. | SL: PRE (%w/v) | OLZ (mg) | Surfactant (0.2%w/v) | VD (mL) | ST (min) | Particle size (nm) | PdI | EE(%) |
|---|---|---|---|---|---|---|---|---|
| F7 | 0.45 | 10 | KELP | 10 | 10 | 247.1 | 0.325 | 26 |
| F1 | 0.50 | 10 | KELP | 10 | 10 | 253.7 | 0.076 | 49 |
| F8 | 0.55 | 10 | KELP | 10 | 10 | 267.3 | 0.494 | 52 |
Values expressed as mean of triplicates. Explanatory notes: SL-Solid lipid, OLZ-Olanzapine, VD-Volume of dispersion medium, ST-Sonication time, PdI-Polydispersity index, EE-Entrapment efficiency, PRE-Precirol ATO 5, KELP-Kolliphor ELP.
As reported, a change in the drug:lipid ratio affects the EE (Sumeet et al., 2013). Table 3 displays the effect of DC on the various responses to the formulation. Two levels of DC were selected; low (F1) and high (F9), keeping the LC constant. The drug:lipid ratio then becomes low (1:50) or high (1:40). 12.5 mg was taken as the higher DC since it was the maximum amount that could be solubilized in 500 mg of lipid and also because it is one of the available doses on the market. A DC lower than 10 mg was not used, since 10 mg is the effective dose and the drug:lipid ratio was already low, so it was not advisable to further decrease the ratio. It was observed that an increase in the DC increased the particle size to a greater extent, whereas the increase in entrapment was not very significant. The increase in entrapment was not significant, probably due to the saturation of lipids with the drug at 10 mg. The particle size increase may be due to an increase in the amount of free drug in the formulation. Similar results were obtained (Shah et al., 2022).
Effect of DC on particle size, PDI and EE.
| Batch No. | SL (0.5%w/v) | OLZ (mg) | Surfactant (0.2%w/v) | VD (mL) | ST (min) | Particle size (nm) | PdI | EE(%) |
|---|---|---|---|---|---|---|---|---|
| F1 | PRE | 10 | KELP | 10 | 10 | 253.7 | 0.076 | 49 |
| F9 | PRE | 12.5 | KELP | 10 | 10 | 299.0 | 0.217 | 53 |
Values expressed as mean of triplicates. Explanatory notes: SL-Solid lipid, OLZ-Olanzapine, VD-Volume of dispersion medium, ST-Sonication time, PdI-Polydispersity index, EE-Entrapment efficiency, PRE-Precirol ATO 5, KELP-Kolliphor ELP.
Physical stability was observed in formulations containing surfactants such as S20, S40, P188, P407, SHS, and PLU (gelling and phase separation). The THP was found to be incompatible with the OLZ. Formulation with G50/13 resulted in drug leakage, while that prepared with T20, T40, and T60 led to lipid aggregation and drug leakage. Formulations with the surfactants KELP, KRH40, and T80 were stable. Table 4 shows the responses obtained by these surfactants. It was found that KELP (F1) gave the least particle size, while T80 (F11) gave the highest entrapment. Hence, a combination of KELP and T80 (F12) was tried in a 1:1 ratio. Since this combination gave an entrapment better than T80 and a particle size that was a little higher than KELP but within the desired range, this combination of surfactant was selected. The use of combinations of surfactants always has the advantage of reducing the toxicity of each individual surfactant. Moreover, T80 is known to enhance blood brain barrier penetration, and both the surfactants used are P glycoprotein inhibitors.
Effect of surfactant on particle size, PDI and EE.
| Batch No. | SL (0.5%w/v) | OLZ (mg) | Surfactant (0.2%w/v) | VD (mL) | ST (min) | Particle size (nm) | PdI | EE(%) |
|---|---|---|---|---|---|---|---|---|
| F1 | PRE | 10 | KELP | 10 | 10 | 253.7 | 0.076 | 49 |
| F10 | PRE | 10 | KRH40 | 10 | 10 | 298.0 | 0.416 | 26 |
| F11 | PRE | 10 | T80 | 10 | 10 | 647.1 | 0.303 | 58 |
| F12 | PRE | 10 | KELP+T80 | 10 | 10 | 288.5 | 0.413 | 61 |
Values expressed as mean of triplicates. Explanatory notes: SL-Solid lipid, OLZ-Olanzapine, VD-Volume of dispersion medium, ST-Sonication time, PdI-Polydispersity index, EE-Entrapment efficiency, PRE-Precirol ATO 5, KELP-Kolliphor ELP, KRH40-Kolliphor RH 40, T80-Tween 80.
Different ratios of surfactant combinations were tried (Table 5), since the formulation prepared with a 1:1 ratio of KELP and T80 had a slightly larger particle size and a milky appearance. KELP was kept at a higher concentration for all the ratios because a higher concentration of T80 was found to comparatively increase the particle size. A ratio of 70:30 (F14) was found optimum among the various ratios screened as it had a lesser particle size compared to 50:50 (F12) and 60:40 (F13), while the difference in entrapment between 50:50 and 70:30 was not very significant. Although the 80:20 (F15) ratio gave a smaller particle size than 70:30, the difference in their entrapments was greater than the difference between 50:50 and 70:30. The PdI obtained with 70:30 ratios was within acceptable limits.
Effect of surfactant ratio on particle size, PDI and EE.
| Batch No. | SL (0.5%w/v) | OLZ (mg) | Surfactant: KELP+T80 (0.2%w/v) | VD (mL) | ST (min) | Particle size (nm) | PdI | EE(%) |
|---|---|---|---|---|---|---|---|---|
| F12 | PRE | 10 | 50:50 | 10 | 10 | 288.5 | 0.413 | 61 |
| F13 | PRE | 10 | 60:40 | 10 | 10 | 266.9 | 0.596 | 59 |
| F14 | PRE | 10 | 70:30 | 10 | 10 | 256.3 | 0.563 | 59 |
| F15 | PRE | 10 | 80:20 | 10 | 10 | 241.6 | 0.283 | 51 |
Values expressed as mean of triplicates. Explanatory notes: SL-Solid lipid, OLZ-Olanzapine, VD-Volume of dispersion medium, ST-Sonication time, PdI-Polydispersity index, EE-Entrapment efficiency, PRE-Precirol ATO 5, KELP-Kolliphor ELP, T80-Tween 80.
SC was varied at three levels: low (150 mg), medium (200 mg), and high (250 mg). Table 6 shows that while (F16) 150 mg of surfactant had better drug entrapment, the particle size was larger and the PdI was not within the acceptable range, whereas (F17) 250 mg of surfactant had a smaller particle size and PdI but also provided the least entrapment. Hence, (F14) 200 mg of surfactant was found to be optimal. The increased availability of surfactant to stabilise and prevent particle growth may explain the decrease in particle size with increased SC (Jawahar et al., 2013). The EE was found to decrease with an increase in the surfactant because with a higher SC, the water solubility of the OLZ increases, resulting in more free drug.
Effect of SC on particle size, PDI and EE.
| Batch No. | SL (0.5%w/v) | OLZ (mg) | Surfactant: KELP+T80 (70:30) | VD (mL) | ST (min) | Particle size (nm) | PdI | EE(%) |
|---|---|---|---|---|---|---|---|---|
| F16 | PRE | 10 | 0.15 | 10 | 10 | 309.7 | 1.000 | 63 |
| F14 | PRE | 10 | 0.20 | 10 | 10 | 256.3 | 0.563 | 59 |
| F17 | PRE | 10 | 0.25 | 10 | 10 | 215.8 | 0.026 | 48 |
Values expressed as mean of triplicates. Explanatory notes: SL-Solid lipid, OLZ-Olanzapine, VD-Volume of dispersion medium, ST-Sonication time, PdI-Polydispersity index, EE-Entrapment efficiency, PRE-Precirol ATO 5, KELP-Kolliphor ELP, T80-Tween 80.
ST was varied at three levels: low (5 min) (F18), medium (10 min) (F14), and high (15 min) (F19). It was found as shown in Table 7. that as the sonication time was increased, the particle size and PdI decreased, whereas EE increased. As a result, a ST of 15 min was deemed optimal. The particle size and PdI decreased with increasing ST as the ultrasonic waves could cause more particle breakdown. The exact reason for an increase in EE with increasing sonication time was unclear.
Effect of ST on particle size, PDI and EE.
| Batch No. | SL (0.5%w/v) | OLZ (mg) | Surfactant (0.2%w/v) 70:30 | VD (mL) | ST (min) | Particle size (nm) | PdI | EE(%) |
|---|---|---|---|---|---|---|---|---|
| F18 | PRE | 10 | KELP+T80 | 10 | 5 | 303.3 | 0.629 | 54 |
| F14 | PRE | 10 | KELP+T80 | 10 | 10 | 256.3 | 0.563 | 59 |
| F19 | PRE | 10 | KELP+T80 | 10 | 15 | 238.0 | 0.274 | 67 |
Values expressed as mean of triplicates. Explanatory notes: SL-Solid lipid, OLZ-Olanzapine, VD-Volume of dispersion medium, ST-Sonication time, PdI-Polydispersity index, EE-Entrapment efficiency, PRE-Precirol ATO 5, KELP-Kolliphor ELP, T80-Tween 80.
Formulations sonicated at 2–8 °C (F20) led to an increase in particle size and PdI and a decrease in EE compared to the formulation sonicated at RT (F19). An increase in the particle size could be due to the rapid cooling and solidification of the lipid at low temperature, which makes size reduction difficult compared to RT, where the lipid remains in a molten state for some time and solidifies gradually, allowing better size reduction. A decrease in the entrapment could also be because of the rapid solidification of the lipid, which does not give much time for the partitioned drug in the aqueous phase (during the mixing of the lipid and aqueous phases) to repartition in the lipid, resulting in more free drug (Muller et al., 2000). Hence, sonication at RT was considered better (Table 8).
Effect of STM on particle size, PDI and EE.
| Batch No. | SL (0.5%w/v) | OLZ (mg) | Surfactant (0.2%w/v) 70:30 | VD (mL) | ST (min) | STM | Particle size (nm) | PdI | EE(%) |
|---|---|---|---|---|---|---|---|---|---|
| F20 | PRE | 10 | KELP+T80 | 10 | 10 | 2-8 | 285.8 | 0.425 | 38 |
| F19 | PRE | 10 | KELP+T80 | 10 | 10 | RT | 238.0 | 0.274 | 67 |
Values expressed as mean of triplicates. Explanatory notes: SL-Solid lipid, OLZ-Olanzapine, VD-Volume of dispersion medium, ST-Sonication time, STM-Sonication temperature, PdI-Polydispersity index, EE-Entrapment efficiency, PRE-Precirol ATO 5, KELP-Kolliphor ELP, T80-Tween 80.
To understand the effect of VD, SLN was formulated with 5 mL of VD, keeping the rest of the parameters constant. As given in Table 9, it was observed that decreasing the VD decreased the particle size, PdI, as well as the EE of the drug. The formulation (F21) was found to be less stable and less opaque compared to the one with 10 mL of VD (F19). The decrease in particle size may be due to the same amount of surfactant being available to emulsify the lipids with less VD. The exact reason for the decrease in the EE is not understood. However, it may be because of a higher SC that causes drug leakage. Because there was a significant decrease in entrapment, 10 mL of dispersion medium was deemed optimal. Thus, formulation F10 was considered for further development.
Effect of VD on particle size, PDI and EE.
| Batch No. | SL (0.5%w/v) | OLZ (mg) | Surfactants (0.2%w/v) 70:30 | VD (mL) | ST (min) | Particle size (nm) | PdI | EE(%) |
|---|---|---|---|---|---|---|---|---|
| F21 | PRE | 10 | KELP+T80 | 5 | 10 | 222.2 | 0.031 | 31 |
| F19 | PRE | 10 | KELP+T80 | 10 | 10 | 238.0 | 0.274 | 67 |
Values expressed as mean of triplicates. Explanatory notes: SL-Solid lipid, OLZ-Olanzapine, VD-Volume of dispersion medium, ST-Sonication time, PdI-Polydispersity index, EE-Entrapment efficiency, PRE-Precirol ATO 5, KELP-Kolliphor ELP, T80-Tween 80.
In order to prevent particle aggregation and maintain the stability of SLN dispersion, it was important to convert the SLN dispersion into a dry form. Due to the expense and requirement of special equipment for spray drying and freeze drying, in the present study, an adsorption technique was used to convert SLNs into a dry form called DAN. Adsorption is a simple method that involves simply mixing adsorbent with SLN and air drying without the use of any special equipment (Hirlekar et al., 2021). Further, it was important that the SLNs desorb completely upon reconstitution in the water so that they can be absorbed in the body as nanoparticles. If the adsorbent was such that the SLNs were not able to desorb it, it would remain as a microparticle, and the purpose of preparing nanoparticles would have no meaning. Fig. 2. depicts the percentage of SLN desorbed from the adsorbent in DANs following reconstitution in water.

Percentage desorption of SLNs from DANs prepared with different adsorbents [Values expressed as mean ± SD (N=3)].
All adsorbed materials with a percent desorption in the 90–100% range were carried forward for screening. Desorption of less than 90% was discontinued. Because the DANs formed were extremely sticky, ACL was also discontinued despite excellent% desorption. But since ACL had the highest percentage of desorption, it was used in combination with NUS2, which resulted in a product with good flow. While screening, it was found that lactose and mannitol had good % desorption but were required in large quantities; hence, even these were combined with NUS2 to reduce the quantity required for preparation and also to further improve the % desorption from NUS2.
Based on the results obtained, a combination of NUS2 and ACL was selected (Table 10). The DANs obtained with this mixture were slightly yellowish, free flowing granules. These adsorbents were used in a ratio of 5:1 between NUS2 and ACL. The addition of ACL rendered the mixture thicker, thus decreasing the amount of NUS2 required to adsorb SLN. Since ACL contains a small percentage of sodium carboxymethylcellulose, which acts as a suspending agent, the DANs, when reconstituted in water, remained suspended compared to the DANs prepared with other adsorbents. The prepared DANs can be used as granules for oral reconstitution, or they can be filled into capsules or compressed into tablets.
Screening of adsorbents.
| Adsorbent | Mannitol | Lactose | KCL | NUS2 | NUS2 + Mannitol | NUS2 + Lactose | NUS2 + ACL |
|---|---|---|---|---|---|---|---|
| Particle size (nm) | 401.2 | 308.4 | 382.9 | 364.8 | 361.9 | 463.3 | 302.4 |
| PdI | 0.400 | 0.298 | 0.455 | 0.410 | 0.599 | 0.852 | 0.494 |
| HR | Poor | Fair | Passable | Passable | Good | Good | Good |
| CI | Poor | Fair | Fair | Fair | Good | Good | Good |
| Angle of repose | Excellent | Excellent | good | Excellent | Excellent | Excellent | Excellent |
| Remarks | Fungal growth | Particles in the range of 5000 nm also present | Rat Holing | - | Fungal growth | Particles in the range of 5000 nm also present | - |
Values expressed as mean of triplicates. Explanatory notes: KCL-Kollidon CL SF, NUS2-Neusilin US2, ACL-Avicel CL 611, PdI-Polydispersity index, HR-Hausners ratio, CI-Compressibility index.
The optimised SLNs showed a unimodal distribution with a mean particle size of 238.0 nm and a PdI of 0.274. The optimised DANs had a mean particle size of 302.4 nm and a PdI of 0.494. These results are very much comparable with the published literature, where particle size was reported in the range of 147–635 nm achieved by various sophisticated instruments for size reduction (Joseph et al., 2017; Daswadkar & Atole, 2020). It has been suggested that particle sizes of 20–500 nm are best for uptake via intestinal lymphatics (Khan et al., 2013). A PdI between 0.01 and 0.25 indicates a narrow size distribution, and one above 0.5 indicates a broad size distribution (Koteshwara et al., 2011). Although the particle size and size distribution seem to have increased to some extent while converting SLN into DAN, they are still within the desired range for lymphatic uptake. Moreover, DAN is more stable than SLN in terms of particle size in storage. The zeta potentials of optimised SLN and DAN were found to be −29.3 mV and −26.3 mV, respectively. One of the factors contributing to the negative value of zeta potential may be the presence of free fatty acids in the lipids and surfactants used. A higher positive or negative zeta potential indicates a stable system. Since the values are close to −30 mV, it can be assumed that the system has moderate stability. Negatively charged SLN may preferably undergo more lymphatic uptake, as it has been demonstrated that, the negatively charged zidovudine liposomes showed improved lymphatic uptake compared to positively charged liposomes (Kaur et al., 2008).
The EE and DL of the optimised SLN were found to be 67% and 1.34%, respectively.
The results are in agreement with the published literature on OLZ SLNs by different components and processes, and the reported EE is 67% (Natarajan et al., 2017), 59% (Sumeet et al., 2013), 74% (Joseph et al., 2017) and 76% (Daswadkar & Atole, 2020). This shows that there is a requirement for high concentrations of lipids and surfactants for improved EE and DL. Both are affected by the solubility of drug in lipid, surfactants, partitioning of drug between lipid and water during preparation, and lipid polymorphism (Muller at al., 2000). The drug may be simply adsorbed or bound on the outer surface of the lipid, which, during the process of centrifugation, might get detached from the lipid.
The drug content in SLN and DAN was found to be 100.8% and 98.5%, respectively. The drug content is a combination of entrapped and unentrapped drug, which will help to understand the accuracy and precision of the drug dose being formulated or any degradation of drug taking place.
In-vitro drug release studies help determine the release characteristics of the drug from the SLN and DAN compared to the OLZ suspension. In 0.1N HCl, it was observed that 100% of OLZ was released from the OLZ suspension within 4 h whereas only 60% and 63% of OLZ were released from the SLN and DAN, respectively. The drug release was about 72% and 75% within 24 h from the SLN and DAN, respectively, as demonstrated in Fig. 3a. PBS pH 6.8 represents the pH of the small intestine. The OLZ absorption window is within the small intestine. As a result, it was critical to investigate the drug’s release characteristics from SLN at this pH, where drug absorption is possible but solubility is quite low. As depicted in Fig. 3b., the OLZ suspension showed 97% drug release, whereas SLN and DAN showed 75% and 53% drug release within 6 h respectively. At the end of 24 h, approximately 98% of the OLZ was released from SLN and 82% from DAN. OLZ shows a slower release rate from the OLZ suspension, probably due to its low solubility in pH 6.8 compared to the release rate in 0.1N HCl. At this pH, DAN showed a more sustained release than SLN. PBS pH 7.4 somewhat mimics the pH of the distal part of the small intestine, which consists of the payer’s patches where most of the SLN absorption is expected, as well as the pH of the blood and the lymphatic fluid (> pH 7). Hence, a drug release study at this pH would give an idea of the release behaviour in the ileum, blood, and lymphatic fluid. The OLZ solubility at pH 7.4 is the lowest. It has been represented in Fig. 3c. that the drug release shown by OLZ suspension, SLN, and DAN was 100%, 79%, and 74%, respectively, within 24 h. The slow drug release from the OLZ suspension can be attributed to its low solubility at this pH.

In-vitro drug release study of OLZ Suspension, SLNs, DANs in (a) 0.1N HCL; (b) PBS pH 6.8; (c) PBS pH 7.4; and (d) three stage multimedia [Values expressed as mean ± SD (N=3)].
The three-stage multimedia drug release study helps to understand the kind of release a drug would have throughout the gastrointestinal tract. In this case, the acid stage contained 0.1N HCl for approximately 2 h, representing drug release in the stomach. Then the medium was replaced with PBS (pH 6.8) for about 3 h. This represents the pH of the small intestine, where maximum absorption takes place. Later, the medium was changed to PBS pH 7.4, which represents the pH of the ileum. If it is assumed that the absorption of all nanoparticles takes place, then pH 7.4 would give an understanding of the release of drug in the blood and also in the lymphatic fluid. Fig. 3d. depicts the drug release in multimedia from OLZ suspension, SLN, and DAN. The OLZ suspension showed 100% release in 3 h while the formulations showed 100% drug release in 24 h. From all the release studies performed, it was observed that the formulations showed an initial burst release of OLZ, which could be due to the release of free OLZ or the OLZ adsorbed onto the lipid surface. Later, a sustained release was observed in every case when compared to the OLZ suspension, owing to the slow diffusion of the entrapped drug from the lipid matrix. It could also be concluded that there was no significant difference between the release pattern of OLZ from SLN and DAN.
The in-vitro drug release data obtained for DANs was fitted into various kinetic models viz., zero order, first order and Higuchi to know the pattern of drug release. Table 11 shows the linearity and diffusion exponent from the kinetic plot for all the mediums studied for in-vitro drug release. It was observed that the in-vitro release profiles of drug from the DANs could be best expressed by Higuchi model as the plots showed the highest linearity than the other plots in all the media. Hence, it confers that drug was released by diffusion from the lipid matrix. Thus, the formulation complied very well with the assumptions of the Higuchi model that are, the drug concentration in the matrix is initially much higher than the solubility of the drug; the thickness of the dosage form is much larger than the size of the drug molecules.
Linearity and diffusion exponent from kinetic plots for different mediums used for in-vitro drug release study for OLZ SLNs DANs
| Media | Model | ||||
|---|---|---|---|---|---|
| Zero order (R2) | First order (R2) | Higuchi (R2) | Korsemeyer–Peppas | ||
| R2 | Diffusion exponent (n) | ||||
| 0.1 N HCL | 0.487 | 0.585 | 0.689 | 0.986 | 0.415 |
| PBS pH 6.8 | 0.866 | 0.940 | 0.970 | 0.984 | 0.434 |
| PBS pH 7.4 | 0.870 | 0.959 | 0.971 | 0.985 | 0.481 |
| Three stage multimedia | 0.416 | 0.640 | 0.961 | 0.837 | 0.264 |
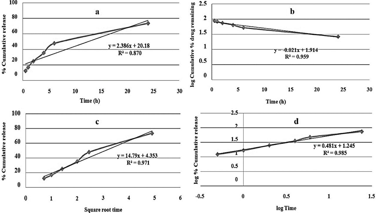
The in-vitro drug release data obtained were fitted into Korsmeyer-Peppas model to determine the mechanism of drug release from the OLZ DANs. It was found that the DANs exhibited good linearity with slope i.e. the diffusion exponent (n) values up to 0.5, indicating that the Fickian diffusion was the predominant mechanism of drug release from the DANs in all the media. Fig. 4. shows the various kinetic models viz., zero order, first order, Higuchi and Korsemeyer-Peppas for drug release in PBS pH 7.4 as amongst all the media it showed the highest linearity for all the kinetic models.

In-vitro drug release of OLZ SLNs DANs in PBS pH 7.4: (a) Zero order; (b) First order; (c) Higuchi and (d) Korsemeyer–Peppas model.
The flow behaviour of granules is of utmost importance for processes such as blending, compression, filling, transportation, and scale-up operations. It was found that the DANs had a bulk density of about 0.25 g/mL and a tap density of about 0.30 g/mL. The closer the bulk and tap density values are, the more freely flowing the granules are. The OLZ DANs had a HR of 1.17. This value indicates good flow properties, while its CI was found to be 14.6%, also indicating good flow properties. The angle of repose of DANs was found to be 25.01°, which is an indication of excellent flow. It took 0.9 sec for 5 g of DAN granules to pass through the orifice of a funnel. Flow rate helps quantify the mass per unit time flown through an orifice of a hopper. This can be useful in some filling operations.
The DSC curve of OLZ showed a sharp melting endotherm at 197.5 °C, while that of OLZ SLN showed a broader melting endotherm at 130.6 °C, as shown in Fig. 5a. OLZ SLN did not show the melting peak of OLZ. It can be interpreted that OLZ was not in crystalline form in SLN and was converted to an amorphous state. This could be due to the solubilisation of OLZ in the lipid and also the presence of surfactants, which prevent the drug from crystallising (Summet et al., 2013). A broader endotherm of OLZ loaded SLN may suggest that the overall lipid system has decreased crystallinity to some extent when compared to the pure lipid PRE, which is known to show a sharp melting point at around 60 °C (Jawahar et al., 2013). A decrease in crystallinity may be attributed to the incorporation of OLZ in the lipid matrix, which increases lipid defects, as well as the presence of surfactants in the system.

(a) DSC thermogram of OLZ and OLZ SLNs; (b) XRD spectra of the OLZ, PRE, SLNs, adsorbents and DANs. Scanning electron microscopy (SEM)
The XRD of OLZ shows a principle peak at an angle of around 8° 2θ while the principle peaks of lipid (PRE) were shown at an angle of around 19° and 23° 2θ. It was clear from Fig. 5b., which displays the XRD pattern of OLZ, lipid, adsorbents, and formulations (SLN and DAN), that the peaks of OLZ and PRE were very sharp and intense, indicating their pure crystalline nature. The principle peaks of OLZ were absent in the XRD pattern of the SLN, indicating that the drug might have converted to an amorphous form or been solubilized in the lipid matrix. Also, the XRD of SLN showed the peaks of lipid, which did not shift but rather merged and decreased in intensity and sharpness. These changes might be because of the encapsulation of the drug in the crystal lattice structure of the lipid matrix, leading to a change in its crystallinity (Shah et al., 2022). This result complements the DSC data and precisely suggests a possible alteration in the lipid crystallinity due to the incorporation of OLZ and formulation as nanoparticles. There were no sharp peaks observed in the case of adsorbents, probably because NUS2 is amorphous in nature. In the instance of DANs, the XRD pattern was similar to adsorbents, but the intensity of a peak at 12° 2θ seemed to reduce. This might be because of the adsorption of SLN onto the adsorbent. DAN did not show the peaks of OLZ but did show the peaks of lipid. The lipid peaks were even more merged and reduced in intensity and sharpness compared to those of SLN, which may be attributed to the adsorbent, which further reduced the crystallinity to some extent. It can be concluded that adsorbing SLN to form DAN resulted in a system with reduced crystallinity.
It was observed that the OLZ SLNs were spherical in shape with smooth surface morphology (Fig. 6a). Some of the agglomerated particles present still maintained their spherical structure. SEM of the adsorbent (Fig. 6b) and the DAN (Fig. 6c and 6d) were performed to determine the changes that took place upon adsorbing the SLNs onto the adsorbent. The adsorbent was found to have irregularly shaped aggregated structures with a rough surface. In the case of DANs, it could be seen that spherically shaped SLNs were adsorbed onto the adsorbent.

SEM of (a) OLZ SLNs; (b) adsorbents; (c) and (d) DANs of OLZ SLNs.
There are two pathways by which the lymphatic uptake could be predicted. First, absorption by the M cells in the payer’s patches, through which it enters the mesenteric lymph node; and second, absorption in the enterocyte and production of chylomicron, which then transports the lipophilic molecules into the lymphatic vessels (Khan et al., 2013). The ex-vivo intestinal permeability study with and without a lymphatic uptake blocker (Pluronic F 68) was based on the second pathway, where the lymphatic uptake blocker was an inhibitor of chylomicron production. The chylomicrons are lipoproteins, which are assemblies of fats (absorbed from the intestine) and other substances. Enterocytes produce it and secrete it into the lymph (Gershkovich & Hoffman, 2005). Hence, an inhibition of the chylomicron secretion would affect the lymphatic uptake of molecules. It is possible that SLNs permeate through the tissue intact, or that only the drug permeates from the SLN due to lipid breakdown by enzymes found in the gastrointestinal fluid and enterocyte. From the study, it was observed, as shown in Fig. 7., that the permeation of drug through untreated jejunum from SLNs was 100% and that from OLZ suspension was about 86% within 3 h, while the permeation through treated (with pluronic F 68) jejunum from SLNs was found to be around 83%. The increased permeability of the drug from SLN (through untreated jejunum) compared to the OLZ suspension might involve a number of factors apart from permeation by the chylomicron production, such as the nanosize of SLNs, the presence of surfactants in SLNs that act as p glycoprotein inhibitors (T80 and KELP), and absorption and permeation through the peyer’s patch (if present in the tissue). These factors are probably not involved in permeating only the OLZ suspension. It has been reported that T80 acts as a lymphotropic agent and stimulates chylomicron production. The decreased permeability of the SLNs when tissue was treated with pluronic F 68 indicated that chylomicron was an important mediator for the transport of SLNs across the cell into the lymphatic vessels and also proved that OLZ SLNs can undergo lymphatic uptake since chylomicrons end up entering the lymphatic vessels. The difference in OLZ suspension permeation through treated jejunum compared to SLNs was not statistically significant, most likely due to the drug itself belonging to the BCS class II category and thus having good permeability. In fact, SLNs through treated jejunum showed slightly less permeation than OLZ suspension, most likely due to inhibition of the chylomicron pathway, and no permeation through the Peyer’s patch due to the absence of the tissue.

Ex-vivo intestinal permeability of OLZ suspension and SLNs [through treated and untreated jejunum] [values expressed as mean ± SD (N=3)].
In the present study, a highly first pass metabolised drug, OLZ, was incorporated into SLN by hot melt emulsification and ultrasonication techniques. The optimization carried out by varying formulation and process variables gave spherical shaped SLNs in the 238 nm particle size range with 67% EE and a sustained release in-vitro profile. The surfactants used in SLN preparation had additional advantages, such as KELP, which is known as a P glycoprotein inhibitor, and T80, which is a lymphotropic agent along with a P glycoprotein inhibitor. Moreover, the negative charge on the SLNs was known to enhance lymphatic targeting. The lymphatic uptake of SLNs was demonstrated in the ex-vivo intestinal permeability study. Thus, preparing SLNs may serve the purpose of avoiding OLZ’s first-pass hepatic metabolism while also increasing brain uptake due to P glycoprotein inhibition at the blood-brain barrier. All this may result in enhanced bioavailability and increased patient compliance owing to the sustained release of the drug. More SLNs were converted into DANs to improve its stability. The DANs could be compressed into tablets, filled into capsules, or simply claimed as granules for reconstitution. The bioavailability enhancing effect of SLN could be confirmed by further in-vivo studies.