Figure 1.

Figure 2.

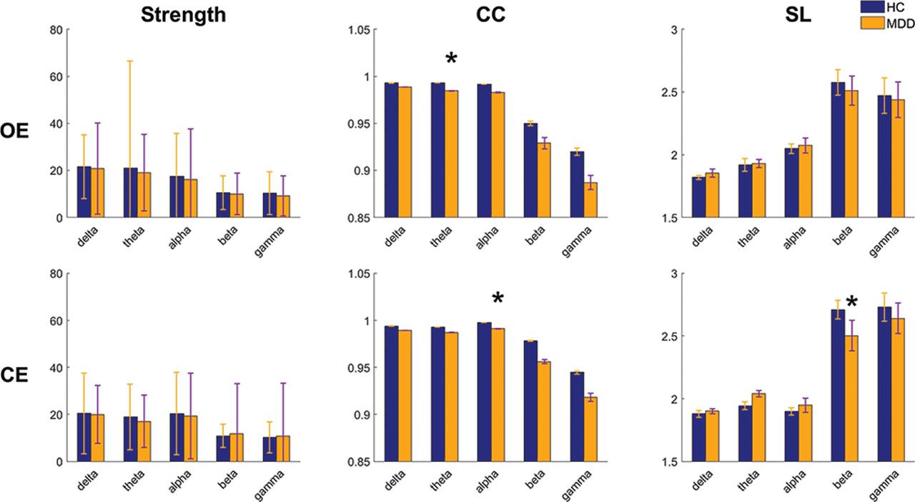
Figure 3.

Figure 4.

Figure 5.

Figure 6.

Figure 7.

Average accuracy, sensitivity, and specificity of the SVM models for the selected features
| Number of features | Accuracy (%) | Sensitivity (%) | Specificity (%) | ||
|---|---|---|---|---|---|
| Training | Testing | ||||
| Eye-open | 181 | 95.26 ± 3.30 | 96.66 ± 5.80 | 95.93 ± 8.54 | 97.55 ± 8.86 |
| 17 | 84.99 ± 3.73 | 85.55 ± 10.99 | 87.76 ± 15.287 | 84.07 ± 18.83 | |
| Eye-closed | 293 | 91.00 ± 3.97 | 90.77 ± 8.51 | 91.38 ± 13.06 | 89.11 ± 15.52 |
| 9 | 87.65 ± 4.04 | 86.88 ± 10.03 | 87.73 ± 14.43 | 86.76 ± 17.44 | |