Wheat (Triticum aestivum L.) is an important staple food crop of Pakistan and covers 8.79 million ha of the country with a total production of 25 million t (Panhwar et al., 2024). The national average yield of wheat is 2,639 kg·ha−1, and this low yield of wheat may be due to biotic and abiotic factors, as well as imbalanced fertilization (Ali et al., 2019). The time of sowing and the planting density are significant and determine the proper establishment of the growing crop through balancing plant-to-plant competition and ultimately affecting the yield (Al-Ameri et al., 2019). Wheat is Pakistan’s primary crop, accounting for 70% of Rabi’s cropping area and 37% of the overall cropping area. Wheat is Pakistan’s most important food grain, occupying the most land under cultivation and contributing 10.0% of value added agriculture and 2.1% of GDP, with rain-fed wheat accounting for 20% of Pakistan’s land area. Balochistan agricultural output is approximately 871,300 t per year with about 382,940 ha under cultivation (Ali et al., 2019). Balochistan is Pakistan’s largest but least populous province, challenged by water scarcity issues, meaning it is ecologically classified as a semi-arid to an arid desert zone (Ameer et al., 2023).
The goal of this research is to evaluate the effect of potassium and boron fertilizers that could improve the biological yield and grain yield of wheat. The goal is also to develop the optimum wheat genotype that can tolerate drought in the dry climate of Lasbela Balochistan.
Crops are often exposed to various types of stresses, including deficiencies during their lifetime due to the various roles of nutrients in plant cells, where their deficiency may lead to metabolic disorders. Micronutrient deficiency is widespread in many Asian countries due to the calcareous nature of the soils, high pH, low organic matter, salt stress, continuous drought, high bicarbonate content in irrigation water, and the imbalanced application of nitrogen-phosphorous--potassium (NPK) fertilizer (Narimani et al., 2010; Liza et al., 2021). Potassium is required for photosynthesis and plant metabolism (Wang et al., 2013; Cui et al., 2022). It is necessary for carbohydrate breakdown, which provides energy for plant development. Potassium also improves plant drought resilience and helps to reduce plant water loss (Hasanuzzaman et al., 2018; Rawat et al., 2022). Potassium assists in the conversion of nitrogen into proteins in plants, while grasses require potassium to counteract excessive nitrogen fertilizer rates. When potassium is deficient, some of the nitrogen remains as non-protein nitrogen. Potassium reacts strongly to any potassium applied to it. Some researchers have also observed the effects of using 40 kg·ha−1 boosted wheat and paddy yields by 21% and 35%, with significant studies having been undertaken in the North-West Frontier Province to record the optimal amount of potash for wheat and rice, while diminutive research studies have been done on the percentage upturn in yield over control due to the direct residual and the reasons that cause potash in wheat (Hussan et al., 2022). Since any applied potassium is imprisoned in the clay lattice, and low potassium application rarely meets the soil, crops often fail to respond to the applied potassium, with production falling as the potash consumption rates drop. It does not become accessible to the plant when it is required or the plant is unable to rapidly absorb it through the soils to fulfill the potassium requirements. The limited reaction to the potassium foliar application to the soil of nitrogen and potassium sources was planned to determine how it affected the wheat crop (Hussan et al., 2022). Azeem et al. (2021) investigated the individual and combined effects of potassium nitrate at 4.5 kg·ha−1 and boron at 0.15 kg·ha−1 on the growth and yield of cotton under a salt stressed condition, where the combined application of potassium nitrate and boron showed the highest plant growth and productivity, even at higher salinities (12 dS·m−1). Ewais et al. (2022) assessed the impact of foliar application of boron and potassium amendments on the yield and quality of potatoes, and as a result the plant growth, yield and quality of potatoes were improved with the foliar application of boron and potassium. Madghash and Ali (2023) examined the potential of potassium humate and spraying with boron on the yield and its components of sesame crops, where the plant growth and yield was increased with the application potassium humate to the soil and spraying boron, under field conditions. Meena et al. (2024) applied potassium and boron at different application rates, related to the yield and economics of mustard greens (Brassica juncea L.), where as a result the plant growth and yield components of mustard crops were improved with the application of potassium at 40 kg·ha−1 and boron at 2 kg·ha−1, under field conditions.
To the best of our knowledge, the application of the sulfate of potash (SOP), muriate of potash (MOP), and boron, zarkhez plus (N 8%, P 23%, and K 18%), in the form of a solid and liquid/spray is a common practice in this area, but no attempt has been made to probe the co-application of potassium and boron on soil health, growth and yield under the arid climatic condition of Lasbela Balochistan. However, MOP is not good for the soils in Pakistan due to the presence of chloride--containing salt.
The present study aimed to examine the influence of the co-application of potassium and boron fertilizers at various stages of the growth and yield parameters of wheat under different doses, aiming to enhance plant height, leaf length, spike length, pedicel length, and the biological and grain yield parameters of wheat in the arid region of Lasbela Balochistan.
The present study was conducted at the Lasbela University of Agriculture, Water, and Marine Sciences (LUAWMS) field experimental farm in Uthal (Fig. 1). This university commonly covers a coastal region of the district Lasbela Balochistan, is located 125 km away from Karachi and is widely known for the unique geographical surroundings of mountains and organic cotton cultivation, wheat, with a variety of vegetable cultivations, such as tomato, okra, etc. Winters are short, with dry and hot summers and an average annual rainfall of 169 mm.

The geographical allocation of the field areas of the Lasbela University of Agriculture, Water, and Marine Sciences
Source: own work.
The research study was conducted during 2020–2021 to estimate the effects of the combined applications of potassium and boron fertilizers on wheat growth and yield parameters. This study had the aim of comparing the outcomes of these applications with recommended applications of nitrogen and phosphorous, and to explore the potential for reducing the dependency on traditional nitrogen fertilizers. This is a widespread practice here in Pakistan, particularly in the study sites of Balochistan, where the local community only applies nitrogen and phosphorous fertilizers rather than other fertilizers that may be required.
The randomized complete block design (RCBD) using 6 × 5 m size plots was prepared, with triplicate application of both applications of fertilizers (potassium and boron) along with a control through the recommended doses of 70 kg·ha−1 and 120 kg·ha−1 of nitrogen and phosphorous fertilizers. The treatments were T0 control, T1 (70 kg·ha−1 and 0.6 kg·ha−1, T2 140 kg·ha−1 and 1.2 kg·ha−1), T3 (210 kg·ha−1 and 1.8 kg·ha−1) of both the potassium and boron fertilizer applications respectively. The main purpose of this study was to estimate the effects of various treatments of both potassium and boron applications on wheat growth, yield parameters and co-related parameters of the soil physico-chemical properties which play a major role in the productivity of the crop. Before the sowing of seed, all physical and agronomical practices were carried out. This included the sowing of the TD1 100 kg·ha−1 wheat variety. Potassium was applied in two split doses, i.e. before the sowing of the seed and before the maturity of the plants. Boron was applied in three split doses, i.e. the time of sowing, the maturity of the plants, and the booting stage. All the agronomic observations were carried out in the required periods.
The agronomic observations included plant height, leaf length, pedicel length, spike length, fresh and dry root biomass, thousand-grain weight (TWG), spike weight, and biological yield. Before harvesting at full maturity of the crop, five plants were selected randomly from each replication of the treatment of both fertilizer applications to estimate the effect of both fertilizers on vegetative growth, productivity, and the physiological characteristics of the wheat crop. The uniformly agronomic practices, such as hoeing, plant populations, irrigation, and plant protection measures for each treatment, were kept uniform and normal.
Before cultivation and after harvesting of the crop, separately from each plot, triplicate replication soil samples were collected, from the 0−10 cm and 10−20 cm soil depths, and finally composite samples were organized for the analysis of the soil basic properties. The collected soil samples were packed in well-labelled polyethylene bags and transported to the lab, all plant root material and stones were collected manually. Initially the soil samples were air-dried, and 2 mm sieved for further analysis. Soil extracts at a 1 : 2.5 ratio were prepared for the analysis of soil electrical conductivity (EC) [dS·m−1], pH, and organic matter content (SOM) [%], and were determined using a digital EC meter and pH meter, while the SOM was analyzed by wet oxidation (Walkley & Black, 1934), according to Jackson (2005). The available phosphorous and potassium were extracted by AB-DTPA (Soltanpour & Schwab, 1977) and the data was recorded using a spectrophotometer and flame photometer, according to Jackson (2005).
The collected data was subjected to a two-way analysis of variance (ANOVA) suggested by Gomes (1984). The mean of the three replicates of the treatments was calculated using MS Excel 2019. The least significant difference (LSD) test, at a 5% probability level, was achieved with the help of an IBM SPSS 20. The figures were organized by using a Sigma Plot 16 and OriginPro 21. The correlation matrix of the studied parameters was created using statistical tools for high-throughput data analysis.
Before cultivation and after harvesting of the crop, a range of site soil samples were collected for the analysis of the basic soil properties, such as soil textural class, pH, EC [dS·m−1], SOM [%], available nitrogen [%], available phosphorous [mg·kg−1], available potassium [mg·kg−1] and boron. Table 1 and Figure 2 list the analysis results of the soil properties. Usually, there is no significant difference (p < 0.05) among the treatments before sowing, while after harvesting the results are significant (p < 0.05) due to the different applications of fertilization (Fig. 2). Maximum NPK and boron content were recorded in T3 (0.068 ±0.0023%, 3.89 ±0.0153 mg·kg−1, 120 ±6.371 mg·kg−1, and 0.22 ±0.0121 mg·kg−1 respectively). In comparison to T0 and T1 (0.041 ±0.0103, 3.42 ±0.0265, 0.051 ±0.00323 and 3.59 ±0.0118), minor, non--significant differences (p < 0.05) were recorded in the nitrogen [%] and available phosphorous [mg·kg−1], while the available potassium (82 ±5.131 mg·kg−1 and 104 ±3.214 mg·kg−1) were significant (p < 0.05) – see Figure 2. Likewise, before sowing the results indicated that the soil was sandy loam in nature (sand 63.6%, silt 25.7%, and clay 10.7%), low to medium in alkaline, low to medium in SOM, adequate in exchangeable potassium, and low in both nitrogen and phosphorus nutrients.
Soil basic characteristics before sowing seed
| Parameter | Mean | CV | LSD | p value |
|---|---|---|---|---|
| Electrical conductivity [dS·m−1] | 0.49 ±0.02 | 5.74 | 0.02 | 0.47 |
| pH | 8.02 ±0.10 | 2.39 | 0.15 | 0.00 |
| Organic matter [%] | 0.29 ±0.04 | 3.18 | 5.10 | 0.02 |
| Nitrogen [%] | 0.07 ±0.01 | 1.14 | 5.95 | 0.00 |
| Phosphorus [mg·kg−1] | 1.62 ±0.39 | 11.5 | 0.24 | 0.00 |
| Potassium [mg·kg−1] | 87.6 ±4.12 | 0.57 | 0.39 | 0.00 |
| Boron [mg·kg−1] | 0.16 ±0.01 | 6.17 | 0.02 | 0.00 |
The data for the soil basic properties before sowing of seed, soil EC, pH, organic matter, content of nitrogen, content of phosphorous, content of potassium and content of boron are presented in triplicate with the standard error (±), and the results do not differ significantly (p < 0.05).
Source: own work.

Triplicate means with the standard of nitrogen phosphorous and potassium in soil under different fertilizer applications and results are significantly different (p ≤ 0.05)
Source: own work.
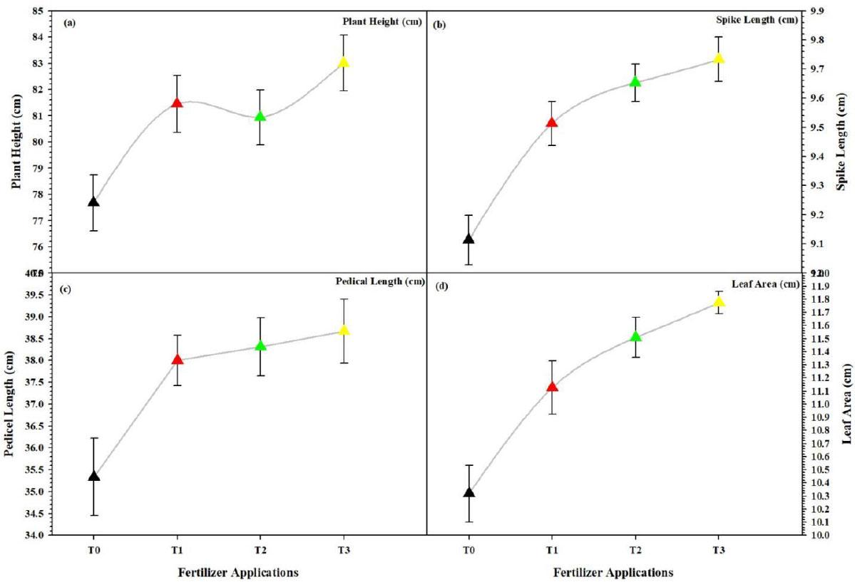
The effect of both fertilization potassium and boron on the plant agronomic observations, i.e. plant height [cm], leaf length [cm], spike length [cm], and pedicel length [cm] were recorded 80−90 after sowing the seed, the analysis results demonstrating that there was significant differences (p < 0.05) among the different applications of both fertilizers (Fig. 2). The mean maximum data results of plant height [cm], leaf length [cm], spike length [cm], and pedicel length (cm] were recorded at T3 (83.00 ±0.65, 11.77 ±0.08, 9.73 ±0.02, and 38.67 ±0.72) followed by T2 (80.94 ±0.48, 11.51 ±0.152302, 9.65 ±0.023334 and 38.32 ±0.664809). Whereas mean minimum was recorded at T0 (77.68 ±0.72, 10.32 ±0.21, 9.11 ±0.014 and 35.33 ±0.88) where no fertilizer was applied in either application of potassium or boron.
Moreover, spike length [cm], leaf length [cm], and pedicel length [cm] were the key factors for the wheat growth and yield, as such growth parameters play an important role in the formation of food through the process of photosynthesis, where wide and dense plant leaves prepare adequate amounts of food for growth of the plant. After 120 days from seed sowing, in a period known as wheat maturity, the effects of the foliar application of potassium and boron fertilizers under different levels were recorded. The analysis results showed that increasing the level of boron foliar application and potassium should improve the growth parameters of wheat (Fig. 3). The mean maximum was recorded for T3 compared to the other treatments: T0, T1, and T2, while the minimum was recorded at T0 (Fig. 3). In the comparison of T0, T1, and T3, significantly different (p < 0.05) amounts of the traits were recorded. However, in comparison to T1 and T2, the non-significant difference (p < 0.05) in the different amounts of treatment were also noted (Fig. 3).

Triplicates mean that with the standard different plant growth characteristics (plant height [cm], spike length [cm], pedicel length [cm], and leaf area [cm]) under different applications of both fertilizers (potassium and boron) were significantly different (p ≤ 0.05)
Source: own work.
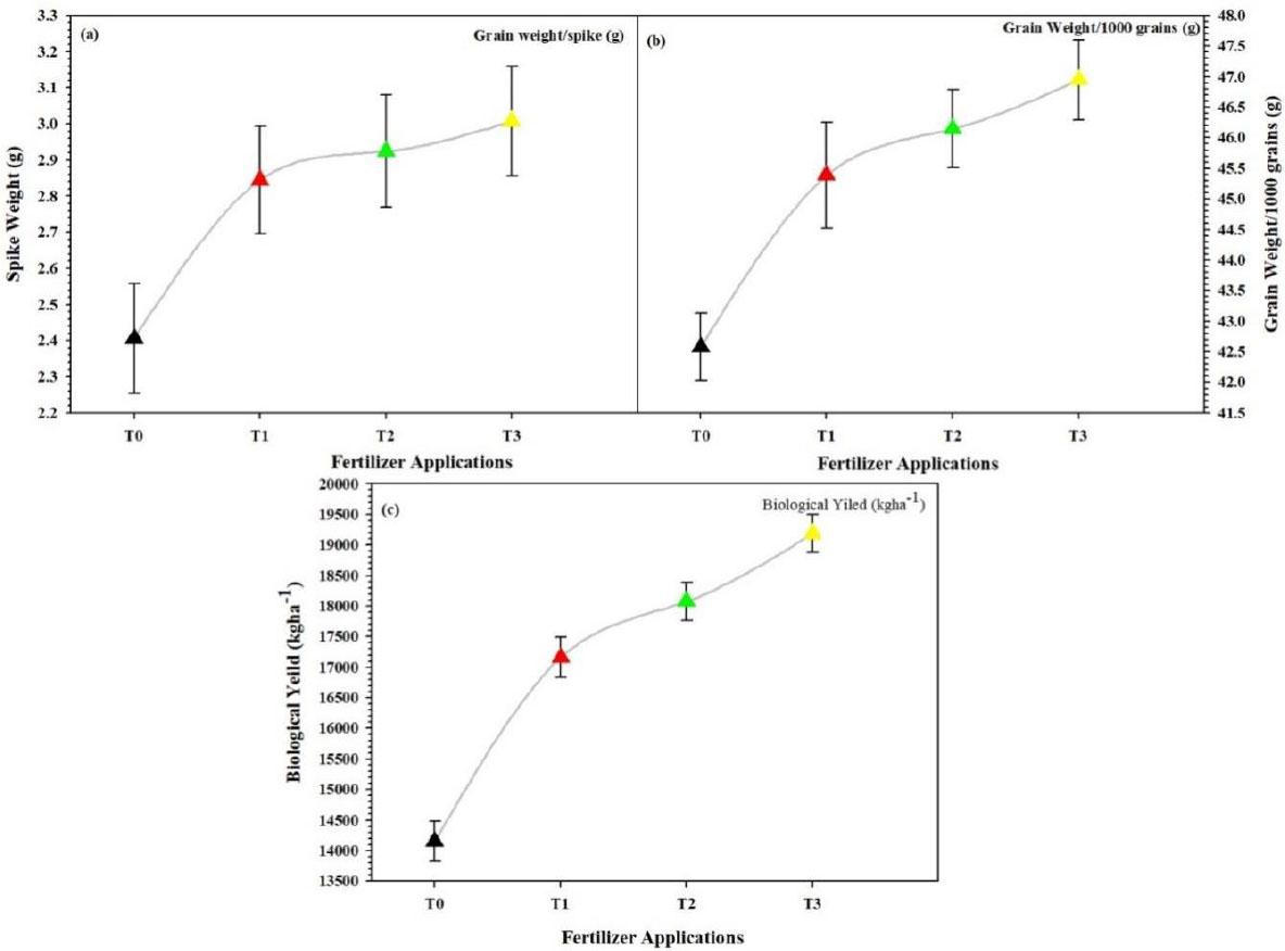
Figure 4 shows that the application of potassium and boron effects the biological yield [kg·ha−1] and grain yield [kg·ha−1] of wheat. The mean maximum biological yield was observed in T3 (19.186.7 ±10.9) compared to the other treatments: T0, T1, and T2 (14.150 ±28.9, 17.161.7 ±31.13, 18.075 ±14.43) respectively, where 0 kg·ha−1, 210 kg·ha−1 and 1.8 kg·ha−1 of potassium and boron fertilization were applied (Fig. 4). The mean minimum was recorded at T1 (14.150 ±28.9). Overall the results are significant (p < 0.05) under the different applications of both fertilizers. Furthermore, the analysis results of the grain weight per spike and grain weight per TGW [kg·ha−1] are presented in Figure 4, which show that the mean maximum was recorded for T3 (3.00761 ±0.15); where the maximum application of both potassium and boron fertilizers were applied (210 kg·ha−1 and 1.8 kg·ha−1 respectively). The mean minimum was recorded for the control, T0 (2.405 ±0.15), compared to the other treatments, T0, T1, and T2 (2.84518 ±0.14, 2.92408 ±0.15 and 3.00761 ±0.15) respectively (Fig. 4). In comparison to T2 and T3, non-significant (p < 0.05) results were also recorded, although overall the results of grain weight per spike are significant under different applications of both fertilizers. Additionally, the analysis results of TGW showed that the mean maximum was recorded in T3 (46.9487 ±0.65) compared to T0, T1, and T2 (42.5787 ±0.55, 45.382 ±0.86 and 46.147 ±0.64) while the mean minimum was recorded in T1 (42.5787 ±0.55). In a comparison between T2 and T3 (45.3892 ±0.86 and 46.1472 ±0.64), a non--significant (p < 0.05) difference was recorded; overall the results of biological yield [kg·ha−1], grain weight per spike [g], and TGW are significant (p < 0.05) under different applications of both potassium and boron fertilizers (Fig. 4).

The triplicates mean that with the standard of different yield parameters: grain weight per spike weight [g], grain weight per thousand-grain weight [g], and biological yield [kg·ha−1], the results are significant (p ≤ 0.05) under different application of both fertilizers (potassium and boron)
Source: own work.
Figure 5 presents the analysis results of nitrogen [%], available phosphorous [mg·kg−1], available potassium [mg·kg−1], and extractable boron [mg·kg−1]. The results showed that the mean maximum of NPK content and extractable boron content were recorded for T3 (1.642 ±0.0534, 0.5483 ±0.0164, 2.72 ±0.015 and 1.14 ±0.01) compared to other treatments, T0, T1, and T2 respectively (Fig. 5), where the maximum application (210 kg·ha−1 and 1.8 kg·ha−1) of potassium and boron fertilizers were applied (Fig. 5), with the mean minimum being recorded for control T0 (1.173 ±0.044, 0.332 ±0.0029, 2.32 ±0.041 and 1.12 ±0.05).

The triplicates mean that with the potassium and boron taken up by the plant under different applications of both fertilizers, the results are significantly different (p ≤ 0.05) for the different applications of both fertilizers
Source: own work.
The treatments T2 and T3 (1.65 ±0.071, 1.64 ±0.053, 0.517 ±0.014, 0.548 ±0.016, 2.68 ±0.021, 2.72 ±0.015, 1.13 ±0.08, and 1.14 ±0.01) were non-significant (p < 0.05) under different applications of both fertilizers; whereas T0 and T3 (1.173 ±0.0442, 1.642 ±0.0534, 0.332 ±0.0029, 0.548 ±0.0164, 2.32 ±0.041, 2.72 ±0.015, 1.12 ±0.05 and 1.14 ±0.01) were significant (p < 0.05) under different applications of both fertilizers. Overall the results were significant (p < 0.05) under different applications of both fertilizers.
The analysis results of the fresh and dry root biomass and soil organic matter results (Fig. 6) indicated that the mean maximum and significant (p < 0.05) results were recorded for both fresh and dry root biomass T3 (6.932 g ±0.283) compared to all other treatments, T0, T1, T2 and T3 (4.616 g ±1.018, 5.357 g ±0.593, 5.0987 g ±0.7219 and 6.932 g ±0.283), whereas a minimum was recorded for the control, T0 (4.616 g ±1.018).

The triplicates mean that with the standard plant root biomass (fresh and dry) and under different applications of fertilizers, the results differ significantly (p ≤ 0.05) under different applications of both fertilizers
Source: own work.
Moreover, in comparison to T2 and T3, a minor difference was also recorded although the results were non-significant (p < 0.05). The organic matter content in the soil increased 0.33–0.88% with T4, in comparison to the control treatment.
As shown in Figure 7, the correlation matrix was performed for the soil properties, growth and yield parameters. The data revealed that the in-soil boron, grain weight, biological yield, leaf area and spike length were highly significant and correlated with the in-plant boron.

Correlation matrix among plant height (PH), pedicel length (PL), leaf area (LA), spike length (SL), biological yield (BY), spike weight (SW), grain weight (GW), in-plant potassium (KP), in-plant boron (BP), in-soil nitrogen (NS), in-soil phosphorus (PS), in-soil potassium (KS), in-soil boron (BS), and soil organic matter (SOM)
Source: own work.
Furthermore, the in-plant potassium, pedicel length and spike weight significantly correlated with the in-plant boron. It has been noted that in-soil phosphorus significantly correlated with the in-soil boron. Moreover, the in-plant potassium, pedicel length, spike weight, grain weight, biological yield, leaf area, and spike length were found to correlate highly significantly with the in-soil boron. The spike weight, grain weight and spike length positively correlated with the in-soil phosphorus. The grain weight, biological yield, leaf area and spike length were found to correlate highly significantly with the in-plant potassium and pedicel length. The biological yield, leaf area and spike length were found to be highly significantly associated with spike weight. The in-soil potassium positively correlated with the in-soil nitrogen.
The present study was conducted to estimate the effect of the combined application of both potassium and boron fertilization on plant growth and the yield parameters of wheat. Our findings showed that increasing the levels of potassium fertilizer applications also increased the plant height, leaf length, spike length and pedicel length significantly (p < 0.05). Adequate amounts of potassium were also uptaken by the plant in comparison to the control, T0 and T1 (Fig. 5). Throughout the study, potassium and boron presented a noticeable impact on the different traits of wheat and increased the biological yield of wheat (Fig. 4), with similar findings also being recorded by Abbas et al. (2021), Mustafa et al., (2021) and Santos et al. (2021). The inadequate supply of nutrients and a dry environment commonly affect the growth of the plant at different stages, including the vegetative and grain and yield parameters, causing a 50% reduction in the production of the cultivated crops (Moghaddam et al., 2021; Wasaya et al., 2021; Pamungkas et al., 2022). The analysis results also showed that increasing the levels of potassium fertilizer applications should significantly increase plant height, leaf length, spike length and pedicel length (p < 0.05). Adequate amounts of potassium were also uptaken by the plant, as compared to the control, T0 and T1 (Fig. 5). Throughout this study, potassium and boron had a noticeable impact on the different traits of wheat and increased the biological yield of wheat (Fig. 4), with similar findings also recorded by Abbas et al. (2021), Mustafa et al. (2021) and Santos et al. (2021). Potassium enhances the fertility of soil, seed and fruit quality according to Brhane et al. (2017), and decreases the adverse effect of salinity in many fields of crop, including wheat (Rasool et al., 2008; Khan & Aziz, 2013; Al-Taher & Al-Naser, 2021). The observation of this research study concurred with Hossain et al. (2015), Rady and Mohamed (2018), and Hussan et al. (2022), through research on potassium in various wheat cultivars, where it was observed that increasing the level of potassium applications in wheat could enhance the growth and yield parameters.
Few studies (Ali et al., 2021; Akhtar et al., 2022) have reported that the combined application of both potassium and boron fertilizers enhanced the number of spikes per plant, TGW, and the biological yield and grain yield of wheat. Such findings may be due to an adequate supply of both of these mineral fertilizers. Likewise, the observation of this study also indicates that increased levels of potassium and boron fertilizers improve the number of spikes per plant, TGW, and the biological and grain yield of wheat. In comparison to the control, the findings of this study are significant in the TWG, biological yield, and grain yield (Fig. 4b and c). On the other hand, an adequate amount of boron fertilizer significantly affected grain weight per spike since boron decreases infertility and helps the settlement of the grain seed of wheat (Akhtar et al., 2022). Ali et al. (2021) also recorded such a finding, indicating that different doses of boron fertilizer significantly increases the grain of rice and its yield attributes. The enhancement of the TWG of wheat may be due to the elevation of photosynthesis while the number of grains per spike was increased due to the nutrient-improved formation in the wheat plant.
Boron is an essential trace element for a variety of field, fruit, and vegetable crops, as it plays an important role in plant growth, including stability and the formation of the cell wall, the transformation of sugar and energy molecules to the different parts of the plant, and pollination seed settlement. A sufficient supply of boron is also important for nitrogen fixation in legume crops (Lima Filho & Malavolta, 1998). An adequate amount of boron application increases the boron concentration in the plant leaves and helps grain development (Rehman et al., 2018); an adequate supply of boron during entire growth stages could enhance the biological and grain yield of wheat grain (Günes & Alpaslan, 2000; Abou Seeda et al., 2021; Long & Peng, 2023). In-contrast, a boron deficiency results in low or empty pollen grains and a decreased number of flowers per plant (Vera-Maldonado et al., 2024). Likewise, the findings of this study indicated that an adequate supply of boron application could enhance the morphological characteristics of the wheat plant (Fig. 3). Furthermore, the uptake of phosphorous is also related to the up-take of boron, and, if boron is deficient, then the phosphate uptake may decrease with an untimely and significant effect on the biological and grain yield of wheat (Rasool et al., 2008; Zhao et al., 2020). Such results were also recorded in this study (Fig. 3), through the control with boron fertilization a significant difference was recorded. Enhancements in exchangeable potassium and available phosphorous and nitrogen in plants were also observed in the application of boron fertilization compared to the control (Fig. 5). These observations were also reported by Vera-Maldonado et al. (2024), who researched boron improvement in wheat bread and observed that an adequate supply of boron enhanced the NPK nutrients, and was also related to the up-take of phosphorous and potassium mineral nutrients in the soil rhizosphere (Al-Taher & Al-Naser, 2021; Vera-Maldonado et al., 2024). However, boron also assisted and adjusted the accessibility of other required nutrients from soil (Tariq & Mott, 2007). The hypothesis that boron and potassium in different fertilizer applications could improve the plant height, leaf length, number of spikes per plant, TGW, biological yield and grain yield of wheat (Fig. 3), with results being significantly different depending on the different applications of boron and potassium fertilization. The soil physical properties EC, pH, and SOM did not have any significant effect on fertilization. However, total nitrogen, available phosphorous, and the available potassium were highly significant, with increased availability of the nitrogen, phosphorous, and potassium nutrients (Fig. 2) with increased applications of boron (Rawat et al., 2022). Root biomass and SOM increases in boron applications compared to the control since boric is a highly mobile nutrient in the soil (Robertson et al., 1981), and is easily up-taken by plant roots. Vera-Maldonado et al. (2024) reported that an adequate supply of boron improved the in-grain nitrogen content, co-related with protein, which may be due to the participation of boron in protein synthesis and nucleic acid metabolism (Robertson et al., 1981; Debnath & Ghosh, 2011; Ferdoush & Rahman, 2013; Ganie et al., 2014). Additionally, the positive and highly significant Pearson’s co-relation (p < 0.01) among the different soil properties, growth, and yield parameters, such as plant height [cm], leaf length [cm], spike length [cm], pedicel length [cm], biological yield [kg·ha−1], grain yield [kg·ha−1], fresh root biomass, dry root biomass, and soil organic matter is indicated, in that the different application of both fertilizers, potassium and boron could, within split doses, improve the growth and yield of arid and semi-arid regions of the world and particularly the calcareous nature of Pakistan’s soil. Likewise, findings were also recorded by Kalhoro et al. (2017), Kalhoro et al. (2018) and Kalhoro et al. (2019), that SOM and root biomass increased the activity of the micro-organisms directly affecting the soil properties and ultimately affecting the growth and yield parameters of the crop.
Based on the present study observations, a research study showed that both potassium and boron fertilizer applications have a significant effect on growth (plant height, pedicel length, leaf area, spike length, grain per spike, spike weight, grain weight, and biological yield) and the yield parameters of wheat. Potassium at a rate of 1.6 kg·ha−1 and boron at a rate of 220 kg·ha−1 of both fertilizations could enhance the growth and grain yield of wheat usually cultivated in hot and dry climatic conditions. However, studies are also required on diverse soil types and different land use systems with variable climatic conditions. Future studies should focus on the application of potassium and boron co-applied with biochar/modified biochar, nano-material, press mud compost, etc., to improve low fertile soil for sustainable agriculture.
