Environmental constraints and the limited availability of natural resources are increasingly directing research toward the valorization of waste into construction materials (Merabti et al., 2021; Mezidi et al., 2023; Serikma et al., 2024). In this context, end-of-life tires, which represent a major source of pollution, have been identified as a priority waste stream for reuse in the present study. Literature findings indicate that concrete incorporating rubber can maintain satisfactory durability under both static and dynamic loading, provided that the substitution rates remain limited (Abdelaleem et al., 2024).
Investigations of specific rubberized concrete formulations highlight the decisive role of mix composition in tailoring mechanical performance to the intended application (El-Nemr & Shaaban, 2024). Furthermore, recent advances in self-healing concrete combining bacteria and rubber particles confirm the potential of this approach to enhance durability and control crack propagation (Eisa et al., 2025).
From a mechanical and structural perspective, studies consistently report reductions in compressive and tensile strengths, counterbalanced by improvements in ductility and energy absorption capacity (Elbialy et al., 2024). Experimental investigations, coupled with SEM observations, have refined the understanding of the rubber-cementitious matrix interface (Sofi et al., 2024). Moreover, analyses of the durability and mechanical performance of crumb rubber concretes underscore the need for surface treatments to mitigate strength losses (Liu et al., 2016).
Recent reviews clearly emphasize both the strengths and limitations of rubberized concrete for structural applications (Elshazly et al., 2020). For non-structural uses, the durability of lightweight rubberized concretes, particularly in relation to water absorption and freeze–thaw resistance, has been well documented (Pham et al., 2019). In parallel, reviews of high-strength rubberized concretes describe promising structural potential, contingent on controlled mix design (Li et al., 2016).
Characterization of high-performance rubberized concretes demonstrates that particle size and dosage strongly influence the strength–ductility trade-off (Ge et al., 2024). Reviews dedicated to crumb rubber-based concretes consistently highlight the key properties and the importance of optimized mix design (Azunna et al., 2024). Material characterization and mechanical behavior studies contribute to elucidating the specific deformation and failure mechanisms of these composites (Hernández et al., 2021).
Abrasion resistance remains a critical factor for road and industrial applications (Noor et al., 2016). Dynamic performance and damping capacity, highly desirable for structures subjected to vibration or impact, are among the distinctive benefits of these composites (Eltayeb et al., 2016). The influence of pretreatment and rubber particle size distribution on overall concrete performance has been explored as a means of optimization (Agrawal et al., 2025).
Appropriate surface treatments of crumb rubber can enhance both mechanical and durability properties while maintaining the economic viability of these solutions (Assaggaf et al., 2019). The combination of rubber with glass powder has shown promise for pavement structures, particularly in white-topping systems (Grinys et al., 2021). Nevertheless, abrasion resistance remains a central issue for long-term durability (Noor et al., 2016).
Review papers provide an overview of applications and properties of rubberized concretes (Elshazly et al., 2020). The combined effect of particle size and content on static and dynamic responses confirms the importance of these formulation parameters (Du et al., 2024). Partial replacement of sand with rubber has been examined in detail, revealing improved workability at the expense of progressive reductions in mechanical strength (Siringi et al., 2013; Mezidi et al., 2025).
Microstructural analyses confirm the decisive role of the rubber–cement interface in overall performance (Kevin et al., 2025). Flexural tests on structural elements highlight promising behaviors for targeted applications (Naito et al., 2014). More broadly, cementitious composites incorporating rubber waste exhibit variable responses depending on the selected formulation (Bulut & Kandil, 2024).
Applications in residential slabs have demonstrated both industrial feasibility and economic relevance (Youssf et al., 2021). Enhancing durability through partial substitution with rubber particles aligns with sustainable construction objectives (Singaravel et al., 2024). Additionally, the development of highly workable rubberized mixtures for grouting applications opens new perspectives (Lu et al., 2022). High-temperature performance also reveals specific advantages for specialized applications (Han et al., 2023). Finally, the most recent reviews call for further optimization of mix design, long-term durability assessments, and comprehensive environmental impact analyses to ensure the safety and acceptability of large-scale deployment of rubberized concrete (Assaggaf et al., 2022).
Although numerous studies have explored rubberized concrete, comparative investigations addressing the combined influence of rubber incorporation and sand type are scarce, especially regarding the replacement of natural sand with locally available dune sand under realistic mix designs. This research gap is particularly relevant in regions where dune sand constitutes a major aggregate source, yet its interaction with rubber particles in both structural and non-structural applications remains insufficiently understood.
The present study aims to conduct a detailed assessment of the effects of incorporating crumb rubber (CR) at replacement ratios between 1% and 5% of the sand mass on the behavior of ordinary concrete (OCCR) and dune sand concrete (SCCR). The research focuses on a comparative evaluation of their physical and mechanical properties. Moreover, it intends to develop practical guidelines for the use of these innovative materials by considering normative standards, technical limitations, and the environmental advantages of rubber waste recycling, thereby supporting the advancement of sustainable and context-adapted construction practices.
A single type of cement was used in this study: CPJ-CEM II 42.5. The compressive strength, determined according to standard NA 442 (Algerian Institute of Standardization [IANOR], 2013), reached 40 MPa after 28 days of curing. The specific surface area, measured using the Blaine apparatus, was 3,700 cm2⸱g−1, while the absolute density of the cement was 3.16 g⸱cm−3. The detailed chemical composition of the cement is presented in Table 1.
Chemical composition of cement
| Constituent | CaO | SiO2 | Al2O3 | Fe2O3 | SO3 | K2O | Na2O | MgO | CaO free |
|---|---|---|---|---|---|---|---|---|---|
| % | 65 | 20.71 | 4 | 7 | 2.72 | 0.41 | 0.13 | 1 | 1.20 |
Source: own work.
Ordinary concrete was produced using natural sand (NS) and gravel, whereas dune sand concrete was prepared exclusively with dune sand (DS). The main physical properties of these three materials – natural sand, dune sand, and gravel – are summarized in Table 2, providing a clear comparison of their essential characteristics for concrete mix design.
Physical characteristics of natural sand (NS) and dune sand (DS)
| Physical characteristics | NS | DS | Gravel (3/8) | Gravel (8/15) |
|---|---|---|---|---|
| Fineness modulus | 3.08 | 1.04 | – | – |
| Visual sand equivalent [%] | 89.49 | 91.52 | – | – |
| Methylene blue value [g⸱l−1] | 0.63 | 0.50 | – | – |
| Friability [%] | 39.20 | 21.00 | – | – |
| Apparent density [g⸱cm−3] | 1,452.00 | 1,870.00 | 1.31 | 1.42 |
| Absolute density [g⸱cm−3] | 2.50 | 2.56 | 2.50 | 2.50 |
| Porosity [%] | 43.37 | 27.07 | 47.60 | 43.36 |
| Compactness [%] | 56.63 | 72.93 | 52.40 | 56.64 |
| Los-Angeles degradation of wear [%] | – | – | 34.89 | 21.73 |
| Micro-Deval coefficient [%] | – | – | 38.40 | 18.20 |
| Flattening coefficient [%] | – | – | 26.00 | 8.58 |
Source: own work.
Both concretes were modified by incorporating blackish crumb rubber into the formulations. The Fourier transform infrared (FTIR) spectrum of the crumb rubber reveals several absorption bands characteristic of the polymer. A pronounced peak observed at 2,237 cm−1 corresponds to the stretching vibration of the nitrile group (C≡N), a typical signature of acrylonitrile-butadiene rubber (NBR). Additional bands located at 2,918 cm−1 and 2,848 cm−1 are attributed to the stretching vibrations of C–H bonds in methylene and methyl groups. The region between 1,450 cm−1 and 1,375 cm−1 exhibits absorptions associated with the deformation modes of CH2 and CH3 groups, while a peak at 966 cm−1 corresponds to the out-of-plane deformation of the C=C–H bond in the butadiene unit (Fig. 1). These results are consistent with the literature, confirming the identification of the analyzed polymer as NBR (Nuzaimah et al., 2017; Kevin et al., 2025). The results of the physical properties of CR are summarized in Table 3.

FTIR spectrum of crumb rubber
Source: own work.
Physical properties of crumb rubber
| Property | Value |
|---|---|
| Methylene blue value [g⸱l−1] | 0.67 |
| Relative compaction [%] | 68.81 |
| Porosity [%] | 31.19 |
| Absolute density [g⸱cm−3] | 0.533 |
| Apparent density [g⸱cm−3] | 0.367 |
Source: own work.
The crumb rubber size ranges from 0.08 mm to 1.25 mm. These residues exhibit a relative density of 1.22 and an estimated purity of approximately 45%. Figure 2 illustrates the particle size distribution curves of all the materials used: natural sand, dune sand, gravel, and rubber particles.

Grading curves of the materials used in the study
Source: own work.
The mixed formulations are summarized in Tables 4 and 5. Crumb rubber was incorporated by partially replacing sand at levels ranging from 0% to 5%. All concrete mixes contained Medaflow SR20 at 1.5% of the cement mass. The batch volume and admixture dosage were kept constant for both series of concretes; however, dune sand concrete required a higher mixing water content. Consequently, a greater absolute amount of CR was introduced into the dune sand concrete, which included dune sand as the sole fine aggregate. The water-to-cement ratio (W/C) was maintained at 0.52 for the OCCR and 0.69 for the SCCR. These proportions were chosen to achieve similar workability levels and to ensure satisfactory mechanical characteristics in both mixtures. This ratio was maintained constant for each concrete mix throughout the experimental program. Prisms measuring 70 × 70 × 280 mm3 for flexural tensile strength and cubes measuring 100 × 100 × 100 mm3 for compressive strength were prepared, with n = 3 specimens per mix. In total, 42 cubes and 18 prisms were tested for the first series. The tests were carried out at 7 days, 28 days, and 90 days. The mix design was established using Faury’s method. The specimens were stored by immersion until the testing age, in accordance with EN 12390-2 (European Committee for Standardization [CEN], 2019). The compactness and apparent density were measured, and the flexural tensile and compressive strengths were determined in accordance with EN 196-1 (CEN, 2016).
Composition of ordinary concrete with crumb rubber (OCCR) [kg⸱m−3]
| Composition | Concrete variant | |||||
|---|---|---|---|---|---|---|
| OCCR 0% | OCCR 1% | OCCR 2% | OCCR 3% | OCCR 4% | OCCR 5% | |
| Cement | 350.00 | 350.00 | 350.00 | 350.00 | 350.00 | 350.00 |
| Medaflow SR20 | 5.25 | 5.25 | 5.25 | 5.25 | 5.25 | 5.25 |
| Natural sand | 535.04 | 529.69 | 524.34 | 518.98 | 513.64 | 508.29 |
| Crumb rubber | 0 | 5.35 | 10.70 | 16.05 | 21.40 | 26.75 |
| Gravel (3/8) | 164.00 | 164.00 | 164.00 | 164.00 | 164.00 | 164.00 |
| Gravel (8/15) | 1,086.50 | 1,086.50 | 1,086.50 | 1,086.50 | 1,086.50 | 1,086.50 |
| Water | 180.45 | 180.45 | 180.45 | 180.45 | 180.45 | 180.45 |
Source: own work.
Composition of dune sand concrete with crumb rubber (SCCR) [kg⸱m−3]
| Composition | Concrete variant | |||||
|---|---|---|---|---|---|---|
| SCCR 0% | SCCR 1% | SCC 2% | SCCR 3% | SCCR 4% | SCCR 5% | |
| Cement | 350.00 | 350.00 | 350.00 | 350.00 | 350.00 | 350.00 |
| Medaflow SR20 | 5.25 | 5.25 | 5.25 | 5.25 | 5.25 | 5.25 |
| Dune sand | 1,541.70 | 1,526.28 | 1,510.86 | 1,495.44 | 1,480.02 | 1,464.60 |
| Crumb rubber | 0 | 15.42 | 30.84 | 46.26 | 61.68 | 77.01 |
| Water | 241.50 | 241.50 | 241.50 | 241.50 | 241.50 | 241.50 |
Source: own work
The elastic modulus was determined on cubic specimens (15 × 15 × 15 cm3) instrumented with bonded electrical strain gauges oriented in both longitudinal and transverse directions. Each specimen, centered between the press plates, was subjected to incremental loading in steps of 20 kN, applied at an average rate of 15 kN⸱s−1, with simultaneous recording of load and microstrain in both directions at each step. Preparation included surface cleaning, strain gauge bonding, and verification of connection continuity (Fig. 3a), while data acquisition was performed using a system that directly measured strains (Fig. 3b).

Apparatus used for modulus of elasticity testing: a – cleaning reagents, b – a strain-gauge bridge (extensometer)
Source: own work.
The longitudinal stress–strain curve was then plotted up to failure, and the elastic modulus was evaluated within the quasi-linear domain according to Hooke’s law, E = Δσ/Δε (see Eq. 1). The determination of the secant modulus in compression was carried out in accordance with EN 12390-13 (CEN, 2021):
After 28 days of curing, the apparent density of OCCR remained consistent with that of conventional concretes, ranging from 2,453 kg⸱m−3 to 2,419 kg⸱m−3 (−1.4%), which is in line with the limited reductions typically reported for low levels of rubber substitution (Elshazly et al., 2020; Azunna et al., 2024). In contrast, the density of SCCR decreased from 2,190 kg⸱m−3 to 1,180 kg⸱m−3, corresponding to a substantial reduction of −46.2%, indicative of a pronounced lightweighting effect. This is close to the higher values reported for mixes with elevated rubber content and/or the absence of coarse aggregates (Elshazly et al., 2020).
At the same CR content, the relative density gap between SCCR and OCCR increased from 10.7% to 51.22% when the CR content rose from 0% to 5%, highlighting the strong sensitivity of apparent density to CR substitution in matrices without coarse aggregates (Hisbani et al., 2025).
These results are consistent with recent reviews, which report density reductions ranging from a few percent up to approximately 30–45%, depending on the rubber volume fraction, particle size distribution, and possible surface treatments (Azunna et al., 2024). Finally, the relative position of SCCR with respect to OCCR falls within the well-established envelope of concrete formulated with dune sand, where density values may remain close to conventional levels at low replacement rates but decrease markedly as substitution increases (Azunna et al., 2024; Hisbani et al., 2025).
The results presented in Figure 5 show a steady increase in compactness with increasing CR content for both materials. For SCCR, compactness increases from 92.0% to 96.8% between CR = 0% and CR = 5%, corresponding to a relative gain of about 5.2%. Similarly, OCCR increases from 93.13% to 97.02%, i.e., a relative gain of about 4.2%, reflecting a gradual densification of granular packing as the CR content increases (Bulut et al., 2024).

Apparent density versus crumb rubber content for dune sand concrete with crumb rubber (SCCR) and concrete with crumb rubber (OCCR)
Source: own work.

Compactness versus crumb rubber content for dune sand concrete with crumb rubber (SCCR) and concrete with crumb rubber (OCCR)
Source: own work.
At identical CR levels, the compactness gap between SCCR and OCCR decreases markedly, from approximately 1.21% down to 0.23% (relative to OCCR), indicating a convergence of compactness degrees at the higher end of the studied CR range (Bulut et al., 2024; Singaravel et al., 2024). This trend is consistent with the literature, which highlights that optimized particle size distribution and controlled rheology – depending on the size and treatment of the rubber particles – can lead to a filler effect within fine voids and an overall improvement in compactness (Singaravel et al., 2024). Overall, for CR levels between 4% and 5%, the compactness values of SCCR are very close to those of OCCR, suggesting that, within this range, the influence of the matrix type on compactness is secondary compared to the volumetric effect of rubber (Youssf et al., 2021).
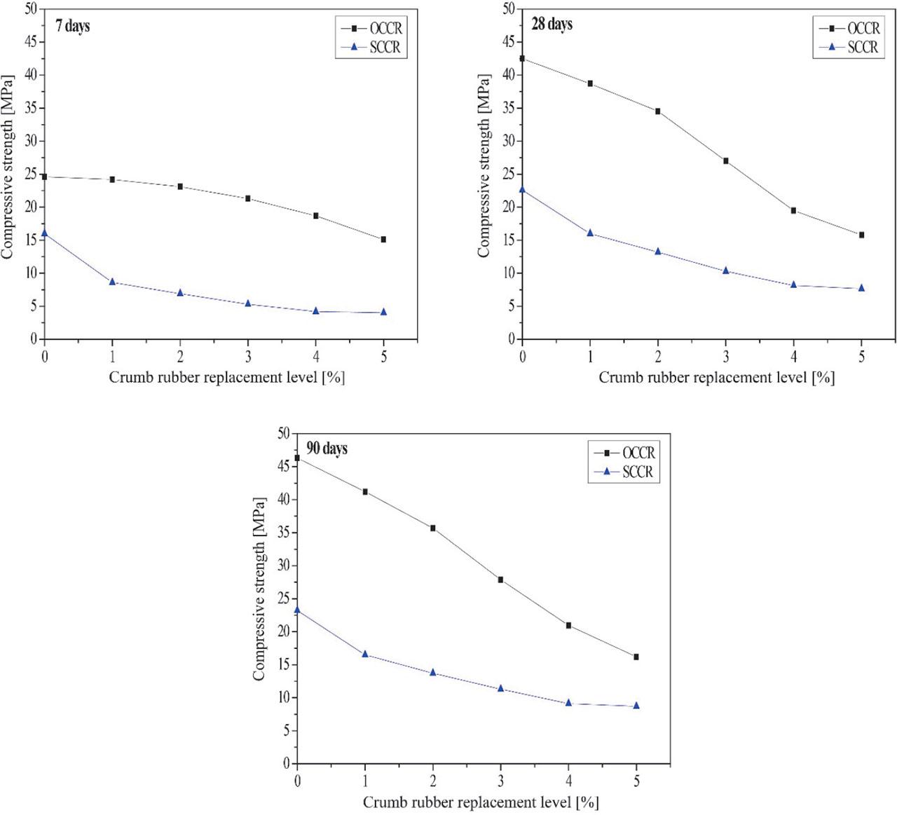
The results show that the incorporation of CR penalizes SCCR more severely than OCCR, mainly due to the fineness of dune sand, the smooth/rounded morphology of its grains, and its poor particle size distribution, which collectively increase water demand, porosity, and the weakness of the interfacial transition zone (ITZ). The reduction in compressive strength becomes more pronounced with the curing time, while the strength gain between 28 days and 90 days remains limited, and intergranular cohesion becomes critical at a CR content of 5%.
At 28 days, the SCCR control (0% CR) exhibited an approximate 46.82% reduction in compressive strength relative to its designated reference. The compressive strength reached 15.8 MPa for OCCR, compared with 7.65 MPa for SCCR containing CR, a decrease of approximately 51.58% for 5% crumb rubber content. In the long term, the relative gap in compressive strength between the two concretes decreases to reach 46.29%, whereas at an early age (7 days), the opposite trend is observed. Compared to the control mix without CR, a 5% content of CR leads to a reduction of about 63% in compressive strength for OCCR and about 66% for SCCR.
These trends are consistent with previous studies highlighting the need for particle size correction to valorize dune sand (Moulay-Ali et al., 2021), the mechanical performance losses and rheological peculiarities associated with dune sand (Al-Harthy et al., 2007; Park et al., 2007), and the additional weakening induced by CR through a more fragile ITZ and higher porosity, despite potential gains in ductility for non-structural applications (Hisbani et al., 2025). Compression tests beyond 90 days of curing will be conducted to quantify late-age strength gains and to identify CR content thresholds beyond which strength loss becomes critical, with particular emphasis on self-compacting mixes.
The evaluation of flexural tensile strength at 28 days for concretes modified with crumb rubber highlights differentiated behaviors depending on both the concrete type and the incorporated rubber content (Elbialy et al., 2024; Sofi et al., 2024; Fig. 7). At a 1% crumb rubber dosage, OCCR exhibits relatively higher strength retention, reaching 84.91%, compared to 71.15% for SCCR (Azunna et al., 2024). However, between 2% and 3% rubber, this trend reverses: dune sand concrete maintains a higher strength ratio, with values ranging from 64.10% to 58.97%, whereas ordinary concrete drops to levels between 68.01% and 59.97%.

Compressive strength versus curing time for concrete with crumb rubber (OCCR) and dune sand concrete with crumb rubber (SCCR)
Source: own work.

Flexural tensile strength ratio relative to the control versus crumb rubber content for dune sand concrete with crumb rubber (SCCR) and concrete with crumb rubber (OCCR)
Source: own work.
At higher dosages – 4% and 5% – the gap becomes more pronounced, as SCCR sustains strengths of 54.48% and 51.28% of the control, while OCCR drops sharply to 35.61% and 31.39%, respectively. Thus, in the 3–5% range, dune sand concrete demonstrates greater stability in terms of flexural strength, whereas ordinary concrete performs better at lower dosages (Grinys et al., 2021; Sofi et al., 2024). Nevertheless, in terms of absolute flexural tensile strength, modified ordinary concrete maintains a clear superiority. For instance, at 5% crumb rubber, ordinary concrete records a flexural tensile strength of 1.56 MPa, compared to only 0.8 MPa for dune sand concrete, underscoring a more favorable mechanical performance for OCCR despite the relative strength losses observed. Overall, these findings indicate that OCCR retains adequate flexural capacity for applications subjected to bending.
Flexural testing will be expanded to delineate the 3–5% CR stability window and the crossover in relative retention between SCCR and OCCR. Microstructural verification and tightly controlled rheology will map how particle size, surface modification, and packing govern both flexural strengths.
The stress–strain curves of the reference concrete and a dune-sand concrete containing 3% crumb rubber were analyzed only within the elastic regime, with three points selected for OCCR concrete and five points for SCCR concrete. Non-proportional segments were excluded to avoid bias in the stiffness estimation (Mohammed & Azmi, 2011; Haridharan et al., 2017; Fig. 8). Young’s modulus E was determined as the slope of the proportional region by linear regression of the model σ = Eε + b, and, when no offset was observed, by a constrained fit through the origin (σ = Eε, Eq. 1), in accordance with Hooke’s law and standard practices in mechanics of materials (Aghamohammadi et al., 2023).

Concrete stress–strain curve: a – ordinary concrete with crumb rubber (OCCR), b – dune sand concrete with crumb rubber (SCCR)
Source: own work.
For OCCR concrete, the estimates gave E = 24.7 GPa with the regression constrained to the origin (R2 = 0.987), and E = 25.7 GPa with a free intercept (R2 = 0.964). For SCCR concrete, the values were E = 13.60 GPa with a free intercept (R2 = 0.994) and E = 14.23 GPa with a regression constrained to the origin (R2 = 0.991), confirming the strong linearity over the analyzed range.
In comparison, the Young’s modulus of OCCR concrete, close to 25 GPa, exceeds that of SCCR concrete (13.6–14.2 GPa) by approximately 75–85%, indicating the higher stiffness of OCCR concrete relative to SCCR concrete, consistent with findings reported in the literature on the influence of recycled rubber in concrete (Haridharan et al., 2017; Aghamohammadi et al., 2023).
To situate these results within the complete mechanical response, the proportional-limit strain and stress are additionally reported for each mix, together with initial tangent and mid-range secant moduli for comparison. Where partial unload–reload segments were recorded, unloading–reloading slopes and residual strains are indicated to reveal hysteresis, and the applied strain-rate and confinement conditions are specified to ensure reproducibility.
Table 6 presents the main results obtained from the experimental program, enabling a direct comparison. At equal crumb rubber levels, OCCR is denser and stronger than SCCR. OCCR’s density drops slightly from 2,453 kg⸱m−3 to 2,419 kg⸱m−3, and SCCR’s density drops sharply from 2,190 kg⸱m−3 to 1,180 kg⸱m−3. In compression, OCCR decreases from 42.5 MPa to 15.8 MPa, and SCCR decreases from 22.60 MPa to 7.65 MPa. At comparable contents, SCCR is about half of OCCR. In flexure, OCCR decreases from 4.97 MPa to 1.56 MPa, and SCCR decreases from 1.56 MPa to 0.80 MPa. The gap narrows at higher rubber, but OCCR remains higher. Overall, OCCR handles rubber addition better, suggesting a stronger paste–rubber interface and lower porosity penalties.
Comparison between the different parameters studied
| CR | Apparent density [kg⸱m−3] | Compressive strength [MPa] | Flexural strength [MPa] | |||
|---|---|---|---|---|---|---|
| OCCR | SCCR | OCCR | SCCR | OCCR | SCCR | |
| 0 | 2,453 | 2,190 | 42.50 | 22.60 | 4.97 | 1.56 |
| 1 | 2,443 | 1,415 | 38.70 | 16.00 | 4.22 | 1.11 |
| 2 | 2,438 | 1,340 | 34.54 | 13.20 | 3.38 | 1.00 |
| 3 | 2,432 | 1,280 | 27.00 | 10.00 | 2.98 | 0.92 |
| 4 | 2,425 | 1,205 | 19.50 | 8.15 | 1.77 | 0.85 |
| 5 | 2,419 | 1,180 | 15.80 | 7.65 | 1.56 | 0.80 |
CR – crumb rubber, OCCR – ordinary concrete with crumb rubber, SCCR – dune sand concrete with crumb rubber.
Source: own work.
This research aimed to analyze the influence of incorporating recycled rubber aggregates on the physical and mechanical properties of two types of concrete: ordinary concrete and dune sand concrete. The results highlight significant differences between these two formulations, particularly in terms of density, stiffness, and mechanical strength.
- –
Ordinary concrete maintains a density comparable to that of standard mixtures; at 5% crumb rubber content, an apparent density of 2,419 kg⸱m−3 is obtained for OCCR, while the relative difference with SCCR reaches 51.22%.
- –
The incorporation of 5% crumb rubber resulted in marked compressive strength losses of about 63% for OCCR and 66% for SCCR, while OCCR retained a clear advantage over time despite partial convergence.
- –
These outcomes indicate that a 5% CR dosage is close to a practical upper bound for strength-critical uses, with SCCR showing greater sensitivity than OCCR due to its matrix characteristics.
- –
The flexural behavior of crumb rubber-modified concretes is governed by both mix design and rubber dosage. OCCR shows higher absolute flexural strengths, declining from 4.97 MPa to 1.56 MPa as CR increases from 0% to 5%, whereas SCCR decreases from 4.22 MPa to 0.80 MPa over the same range. Despite a slightly better relative retention in SCCR with higher CR content, OCCR remains superior overall.
- –
The stress–strain response demonstrates a clear stiffness hierarchy between mixes: OCCR shows an elastic modulus near 25 GPa, whereas SCCR remains around 13.6–14.2 GPa. This 75–85% differential points to a more rigid elastic skeleton in OCCR, while the softer SCCR response is consistent with higher porosity and a more compliant interfacial zone introduced by dune sand and crumb rubber.
The most promising applications concern road infrastructure, safety devices, and constructions designed to reduce noise and vibrations, where the energy absorption capacity represents a key advantage. The study recommends further research on the particle size distribution and surface treatments of rubber to enhance the durability and overall performance of rubber-modified concretes.
