The Moroccan coastline, particularly the Salé region, faces significant environmental challenges due to rapid urbanization and insufficient wastewater management (Duncan, 2024). Every day, approximately 200,000 m3 of untreated domestic and industrial wastewater is discharged into the coastline and the Bouregreg River (Snoussi, 2020), leading to pollution and associated health risks. Urban development projects, such as the Bouregreg Valley initiative, have further exacerbated environmental degradation through increased coastal erosion and ecosystem disruption (Conseil, Ingénierie et Développement [CID], 2017; Oualalou, 2019).
This study focuses on assessing the impact of the depollution project in Salé by analyzing the quality of the coastal waters. Through this evaluation, we aim to determine the effectiveness of the project in improving water quality, providing insights into the current environmental state of the coastal ecosystem.
Salé, a coastal Moroccan city, is situated on the right bank of the Bouregreg River, at an altitude of approximately 60 m above sea level. It is geographically bordered to the north by the city of Kénitra, to the south by the city of Rabat, to the east by the province of Khémisset, and to the west by the Atlantic Ocean. The city spans a vast area of 672 km2 and is home to a population nearing one million inhabitants (Ministère de l’intérieur, Royaume du Maroc [MI], 2015). Salé has an extensive coastline along the northern Atlantic Ocean, measuring approximately 15,500 m, as depicted in Figure 1.

Geographical location of the city of Salé
Source: own work.
Part of the Rabat–Salé–Kénitra region, Salé is characterized by a dense urban population, representing 39.5% of the region’s urban population, according to the 2014 census. With 982,163 inhabitants, a population density exceeding 500 inhabitants per square kilometer, and an annual growth rate of 1.78%, the city has undergone rapid urban expansion. This growth includes the construction of approximately 3,700 houses per year (Haut Commissariat au Plan du Maroc [HCP], 2014).
The climate of Salé is Mediterranean, characterized by a dry season from May to October with high temperatures and irregular precipitation during the rainy season. These climatic conditions, combined with regular marine winds, contribute to the environmental challenges facing the city.
This study aims to compare the environmental status of Salé’s coastal area before and after the implementation of the depollution project and the wastewater treatment plant (WWTP). The WWTP, managed by REDAL, became operational in 2020 and has a treatment capacity of 10,000 m3 per day. The plant utilizes the activated sludge process, a biological treatment method effective in removing organic matter and pollutants from wastewater (ATNER, n.d.)
Before the project, the direct discharge of large volumes of untreated liquids into these receiving environments caused significant biological and chemical pollution. This form of pollution, resulting from numerous discharges of untreated effluents, inevitably had a detrimental impact on the quality of aquatic ecosystems (MI, 2015).
The coastline of the city of Salé includes 12 beaches with diverse characteristics, ranging from rocky to sandy shores. However, this natural richness faced environmental challenges, including multiple points of direct or indirect discharge of domestic and/or industrial wastewater into coastal environments. The mouth of the Bouregreg River also significantly influenced the quality of the coastline, particularly at Salé Beach (Établissement public de coopération intercommunale [EPCI], 2015; Fig. 2).

Coastal discharges in Salé before and after the implementation of the depollution project
Source: own work.
Biological pollution from pathogens present in untreated wastewater led to detrimental consequences for local fauna and flora. Pathogenic microorganisms such as bacteria, viruses, and protozoa proliferated, endangering the health of aquatic ecosystems (Smahi, 2021).
Simultaneously, chemical pollution, resulting from the presence of toxic substances in wastewater, altered the chemical composition of receiving environments. Harmful compounds such as heavy metals, industrial chemicals, and excessive nutrients contaminated surrounding waters, impacting water quality and compromising ecological balance (Fisson, 2014).
The influence of this extensive pollution on the quality of aquatic ecosystems was considerable, with potential repercussions on biodiversity, the health of marine organisms, and the natural cycles of the coastal ecosystem (Landos et al., 2021). It was imperative to take appropriate measures to mitigate these undesirable effects, emphasizing more effective wastewater treatment practices and initiatives for the preservation of the marine ecosystem (Intergovernmental Oceanographic Commission of UNESCO [UNESCO-IOC] & United Nations Environment Programme [UNEP], 2016).
This analysis underscored the urgent need for sustainable management of wastewater discharge to protect the health and viability of the coastal ecosystem. Toxic substances in wastewater, such as heavy metals, industrial chemicals, and excessive nutrients, contaminated surrounding waters, affecting water quality and ecological balance. This pollution significantly impacted aquatic ecosystems, compromising biodiversity, the health of marine organisms, and natural cycles (Cherkaoui et al., 2010).
To preserve the health and viability of the coastal ecosystem, it is crucial to mitigate the impacts of human activities by adopting more effective wastewater treatment practices and adhering to Moroccan discharge standards and coastal protection laws.
As part of the Bouregreg Valley development project, a coastal and Bouregreg River depollution initiative was launched to mitigate the effects of human activities. This project involves redirecting all discharges to a pre-treatment station through nine pumping stations, and extending sewers over more than 20 km, including extending the network more than 2.2 km offshore along the Atlantic coast. With significant environmental mechanisms in place, this project aims to meet environmental standards and enhance the value of the Atlantic coastline and the Bouregreg estuary while improving the quality of bathing water (CID, 2017; Fig. 2).
The positive impacts of this depollution system on the city of Salé are numerous:
- –
Improved living conditions for citizens;
- –
Preservation of public hygiene;
- –
Elimination of unpleasant odors along the coastline and Bouregreg River;
- –
Development of tourism through the revitalization of the coastal front and Bouregreg Valley;
- –
Support for development projects along Salé’s waterfront and Bouregreg Valley;
- –
Preservation of the environment and coastal and riverine ecosystems;
- –
Reuse of treated wastewater for the irrigation of green spaces in the city of Salé.
To evaluate the impact of the Salé depollution project, three sampling sites (S1, S2, S3) were designated based on accessibility, ease of sampling, and proximity to previously identified pollution sources (Fig. 3).

Location of sampling stations (S1, S2, S3)
Source: own work.
Sampling was conducted during four distinct seasons (summer, autumn, winter, and spring), with one sample collected per season at each station. Samples were taken a few meters from the shoreline and at a depth of 10 to 20 cm below the water surface. The selection of stations included sites near wastewater discharge points to capture direct pollution effects, as well as station S3 further away, which served as a reference point for comparison. These criteria ensured a comprehensive assessment of spatial and seasonal variations in water quality.
The physicochemical parameters measured included total material, organic material, inorganic material, suspended solids (SS), pH, chemical oxygen demand (COD), turbidity, conductivity, content of orthophosphates (PO43−), and content of nitrates (NO3−). In certain cases, sample dilution was applied prior to analysis to ensure accurate measurements, following the guidelines in the work by Rodier et al. (2009). Water samples were collected in pre-cleaned mineral water bottles to avoid contamination and were transported to the laboratory under controlled conditions (4°C) to preserve sample integrity.
In situ parameters were measured as follows: pH was determined using a Lutron 206 pH meter equipped with a temperature probe, turbidity was quantified with a HACH 21009 turbidity meter, and conductivity was assessed via a WTW LF90 conductivity meter.
Laboratory parameters were analyzed using standardized methodologies: trace metals (ZN, Pb) were quantified via inductively coupled plasma mass spectrometry (ICP-MS) following acid digestion of the samples in a microwave digestion system. Chemical oxygen demand was determined by oxidizing organic matter in the sample with potassium dichromate (K2Cr2O7) in an acidic medium and measuring the residual unreacted dichromate through titration with a reducing solution. Orthophosphates (PO43−) were measured using the colorimetric phosphomolybdic complex method, while nitrates (NO3−) were analyzed with the sodium salicylate spectrophotometric method.
Total material was determined by gravimetric analysis after oven-drying samples at 105°C to constant weight. Organic and inorganic fractions were differentiated using loss-on-ignition at 550°C (organic material) and residual ash (inorganic material). For suspended solids, coastal water samples were pre-treated by filtration through 0.45-micron cellulose filters to isolate particulate matter, followed by gravimetric quantification.
The bacteriological analysis focused on the presence of fecal coliforms (FC) and fecal streptococci (FS) in water, as they are widely recognized indicators of fecal contamination and help determine pollution sources. Water samples were subjected to the most probable number (MPN) method. For this, serial dilutions of the samples were prepared, and aliquots were inoculated into a series of tubes containing selective media for FC and FS. Incubation was carried out under conditions optimized for each bacterial group, and enumeration was based on the statistical distribution of positive results (Chahouri et al., 2021).
To assess spatial variations along the coastline, statistical analyses were performed using SPSS (Statistical Package for the Social Sciences). Principal component analysis (PCA) was employed to reduce data dimensionality and identify patterns among variables. One-way analysis of variance (ANOVA) was conducted at a 5% significance level to determine statistically significant differences among sampling sites, followed by Tukey’s HSD post-hoc test for pairwise comparisons of means.
Normality assumptions were evaluated using the Shapiro–Wilk test (α = 0.05) for all 30 datasets (10 parameters × three sites). Three parameters (total materials at S1, conductivity at S1 and S2) exhibited significant deviations from normality (p < 0.05). To assess the severity of non-normality, skewness and kurtosis were calculated for these datasets. Skewness values ranged from −1.587 to +1.88, and kurtosis values fell within −1.727 to +4.236, both within acceptable thresholds for parametric analyses (skewness: ±2; kurtosis: ±7). Given the minor deviations and robustness of ANOVA to moderate non-normality, parametric tests were retained for all parameters. The remaining 27 datasets adhered to normality assumptions (p > 0.05).
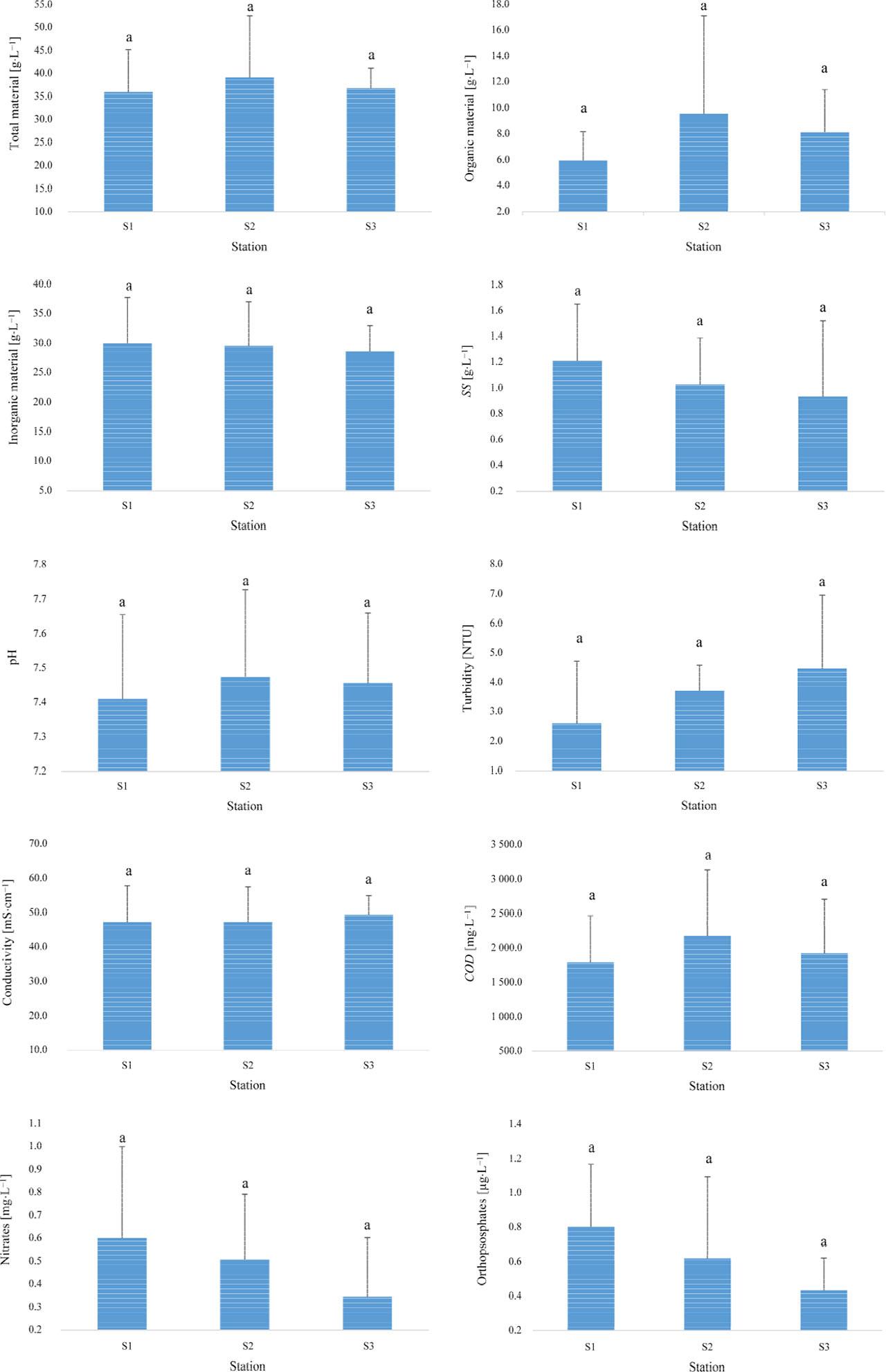
The average differences between the various stations were not statistically significant, with p-values significantly greater than 0.05 and F-factors ranging between 0.82 and 1.048, indicating homogeneity in the concentrations of physicochemical parameters along the city’s coastline. Despite this, the data reveal some noticeable tendencies. For example, turbidity and COD exhibit slight increases from S1 to S3, which may reflect the cumulative impacts of diffuse pollution sources. Conversely, parameters like nitrates and orthophosphates show decreasing trends, potentially indicating the self-purification capacity of the coastal environment or dilution effects due to mixing with seawater. These patterns, though not statistically validated, suggest localized influences that may require further investigation (Fig. 4).

Spatial evolution (across stations) of physicochemical parameters. Bars represent averages, and vertical lines show standard deviation
Source: own work.
The observed homogeneity across stations can be attributed to the effective operation of the WWTP, which likely ensures consistent treatment and discharge quality. Additionally, hydrodynamic processes, such as tidal mixing and ocean currents, play a significant role in dispersing pollutants, further minimizing spatial variability. Other pollution sources, such as agricultural runoff or untreated sewage from smaller settlements, may also contribute to masking the WWTP’s influence, creating a baseline level of contamination.
Due to the wide range of bacterial counts observed, values were log-transformed and expressed as log10(MPN·mL−1) to facilitate statistical analysis and interpretation. It is observed that the evolution of concentrations of fecal coliforms and fecal streptococci, indicators of fecal pollution, shows statistical significance depending on the seasons (Fig. 5). However, this difference is not statistically significant across sites (Fig. 5). Measurements of fecal pollution indicators at the examined stations reveal a trend that lacks statistical significance. For fecal coliforms, the maximum average concentration is recorded at S3 with 7.03 log10(MPN·mL−1), while the minimum average concentration is at S2 with 5.55 log10(MPN·mL−1). For fecal streptococci, the maximum average concentration is at S3 with 4.39 log10(MPN·mL−1), and the minimum average concentration is at S1 with 2.80 log10(MPN·mL−1). According to the CF/SF ratio, which is greater than 4, the source of fecal pollution is strictly human (Cherkaoui et al., 2013).

Seasonal averages of fecal pollution indicators from stations S1–S3: pre- and post-WWTP installation
Source: own work.
The seasonal evolution of fecal pollution indicators in our study shows a highly significant difference. Fecal coliforms exhibit a maximum concentration in spring with 7.16 log10(MPN·mL−1) and a minimum concentration in summer with 3.76 log10(MPN·mL−1). For fecal streptococci, the maximum concentration is 4.49 log10(MPN·mL−1), while the minimum concentration is 0.98 log10(MPN·mL−1).
According to standard NM 03.7.199 (Institut Marocain de Normalisation [IMANOR], 2014) concerning the management of bathing water quality, it has been established that beaches located in the city of Salé are categorized as having insufficient quality. Therefore, they do not meet the required standards for bathing (Ministere de la transition energetique et du developpement durable, Royaume du Maroc [MTEDD], 2023).
The coastal waters exhibit relatively modest concentrations of certain heavy metal elements, with values ranging from 0.1 µg·L−1 to 83 µg·L−1 for Zinc (Zn) and 0.1 µg·L−1 for lead (Pb). These concentrations indicate a low presence of heavy metals in the studied coastal aquatic environment (Table 1).
Heavy metal concentrations [µg·L−1] in the city of Salé
| Metal | Mean | Min | Max |
|---|---|---|---|
| Zinc (Zn) | 42.0 | 0.1 | 83.9 |
| Lead (Pb) | 0.1 | 0.1 | 0.1 |
Source: own work.
Moreover, statistical analysis revealed no significant differences in heavy metal concentrations between the sampling sites (p > 0.05), suggesting a relatively uniform distribution along the coastline.
To assess the impact of the WWTP, we chose to compare the averages with studies conducted before the WWTP’s operation (2020) by the Civil Engineering and Environment Laboratory (LGCE), which utilized the same sampling stations (S1, S2, and S3) and employed the same methods. These methods included identical seasonal sampling (four measurements per year) and analytical techniques to ensure consistency and comparability between the pre- and post-WWTP data (Table 2, Fig. 6).

Log-transformed average fecal coliform concentrations from stations S1–S3 (seasonal data, pre- and post-WWTP)
Source: own work.
Seasonal average of selected physicochemical parameters from stations S1–S3: pre- and post-WWTP installation
| Water quality parameter | Unit | Without WWTP | With WWTP | Percentage reduction |
|---|---|---|---|---|
| Turbidity | NTU | 7.99 | 3.81 | 52.25 |
| Solid material | mg·L−1 | 52.34 | 37.82 | 27.74 |
| Inorganic material | mg·L−1 | 34.12 | 28.84 | 15.48 |
| Organic material | mg·L−1 | 18.22 | 8.98 | 50.68 |
Source: own work.
The average concentration of fecal coliforms shows a decrease after the installation of the WWTP, with an efficiency of approximately 24% in the city of Salé (Fig. 6). Similarly, in the city of Rabat, the WWTP led to a reduction in fecal coliform concentrations, achieving an efficiency rate of about 5.16% (Idrissi et al., 2023).
Similarly, a decrease was observed in certain physicochemical parameters, with efficiency ranging from 7% for pH to 50% for organic matter (Table 2).
This study evaluated the effectiveness of the coastal depollution project in Salé to improve water quality and offers insights into the current environmental state of its coastal waters. Prior to the project’s implementation, untreated wastewater discharges severely degraded water quality, posing risks to marine biodiversity and limiting recreational use of the beaches. The installation of the WWTP, as part of the Bouregreg Valley development project, has led to notable improvements in the physicochemical quality of the coastal waters.
However, persistent bacterial contamination, evidenced by high levels of fecal coliforms and fecal streptococci, indicates ongoing pollution linked to human activities. While the WWTP has promoted spatial consistency in physicochemical parameters across sampling sites, seasonal variations remain significant, driven by climatic factors. Salé’s beaches, currently classified as insufficient quality under NM 03.7.199 standards, require continuous monitoring and targeted interventions to improve water quality further, protect marine ecosystems, and ensure safe recreational conditions. This research provides a crucial foundation for shaping future environmental management strategies in the region.
